Multi-Modal, Remote Breathing Monitor
Abstract
1. Introduction
2. Radar Measurement Setup
3. Algorithm Outline
4. Method
4.1. Model
4.2. Acquiring Time Domain Signals from Rgbd
4.3. Estimating the Trend
4.4. Estimating the Fundamental Frequency,
4.5. Generalized Likelihood Ratio Test (Glrt)
4.6. Radar Based Breathing Extraction
4.7. Fusing the Estimated Breathing Frequencies from the Rgbd Sensor and the Radar
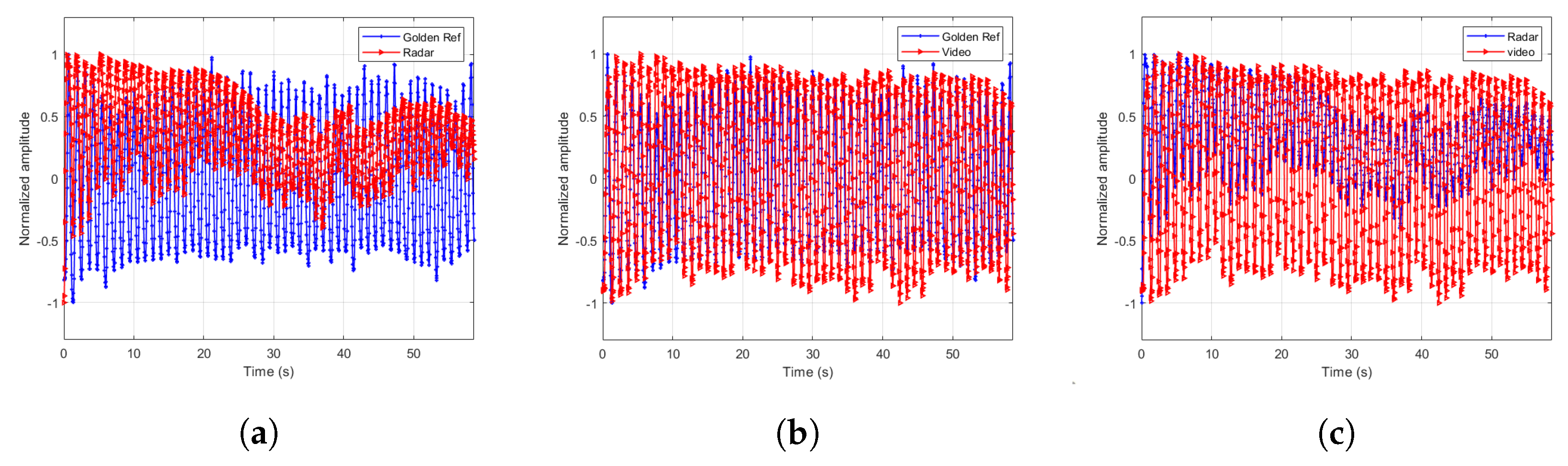
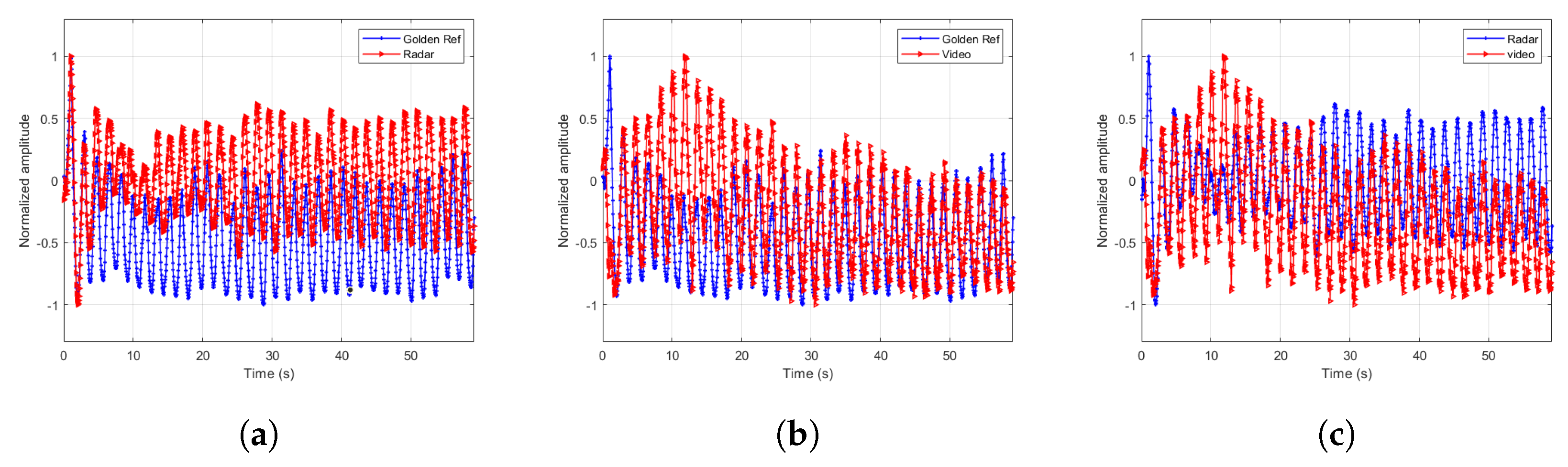
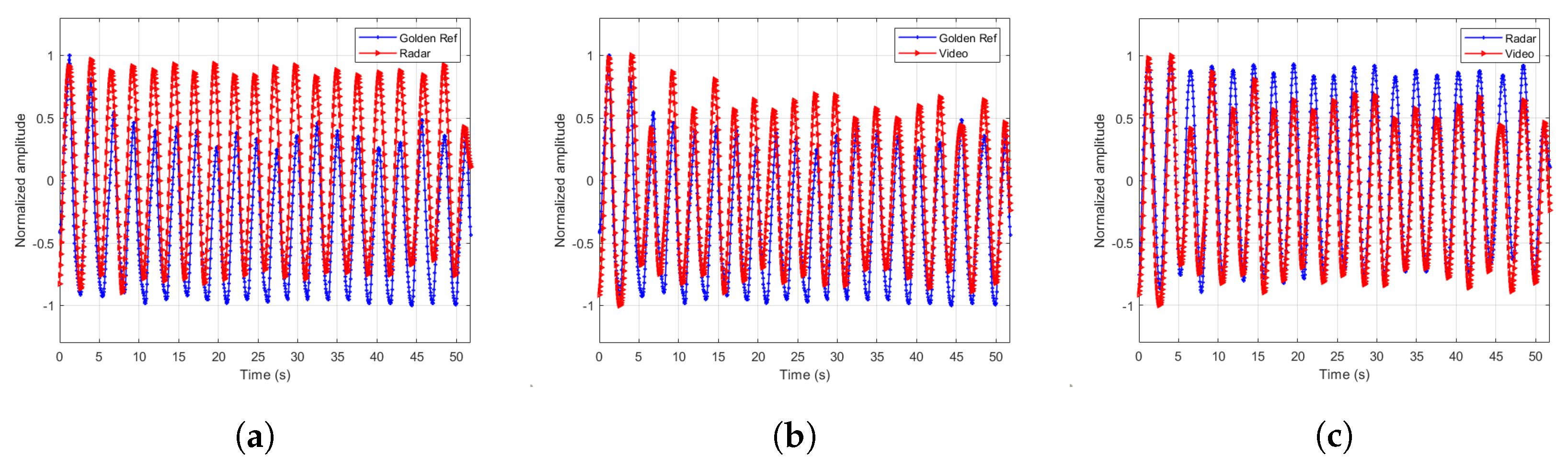
5. Experiments
5.1. Comparing Obtained Results to Our Previous Work
5.2. More Experiments
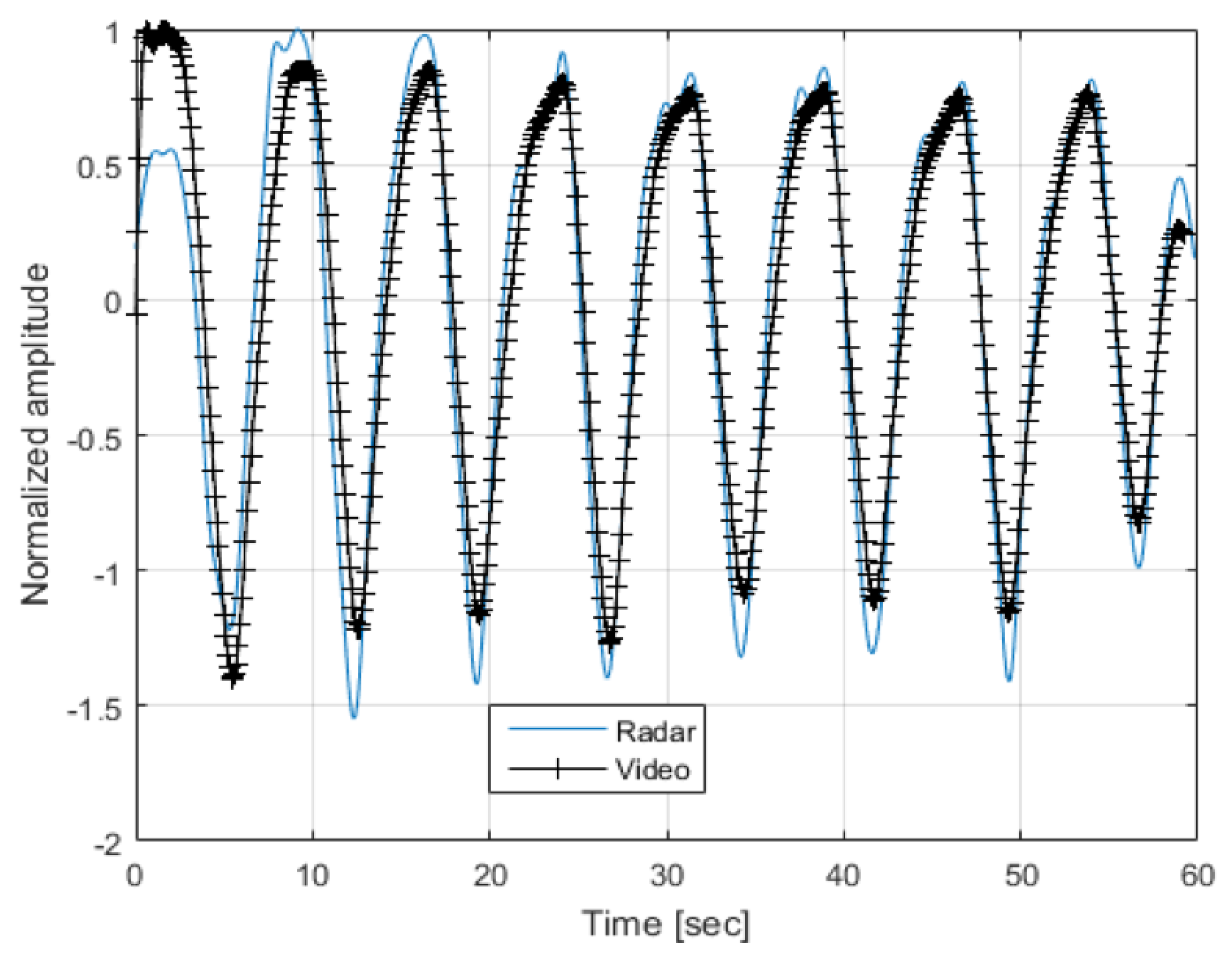
5.3. Extracted Signal Fidelity
6. Conclusions
Author Contributions
Funding
Conflicts of Interest
References
- Kwon, S.; Kim, H.; Park, K.S. Validation of heart rate extraction using video imaging on a built-in camera system of a smartphone. In Proceedings of the 2012 Annual International Conference of the IEEE Engineering in Medicine and Biology Society, San Diego, CA, USA, 28 August–1 September 2012; pp. 2174–2177. [Google Scholar] [CrossRef]
- Li, X.; Chen, J.; Zhao, G.; Pietikäinen, M. Remote Heart Rate Measurement from Face Videos under Realistic Situations. In Proceedings of the 2014 IEEE Conference on Computer Vision and Pattern Recognition, Columbus, OH, USA, 23–28 June 2014; pp. 4264–4271. [Google Scholar] [CrossRef]
- Poh, M.Z.; McDuff, D.J.; Picard, R.W. Non-contact, automated cardiac pulse measurements using video imaging and blind source separation. Opt. Express 2010, 18, 10762–10774. [Google Scholar] [CrossRef]
- Poh, M.Z.; McDuff, D.J.; Picard, R.W. Advancements in Noncontact, Multiparameter Physiological Measurements Using a Webcam. IEEE Trans. Biomed. Eng. 2011, 58, 7–11. [Google Scholar] [CrossRef]
- Balakrishnan, G.; Durand, F.; Guttag, J. Detecting Pulse from Head Motions in Video. In Proceedings of the 2013 IEEE Conference on Computer Vision and Pattern Recognition, CVPR ’13, Portland, OR, USA, 23–28 June 2013; IEEE Computer Society: Washington, DC, USA, 2013; pp. 3430–3437. [Google Scholar] [CrossRef]
- Wu, H.Y.; Rubinstein, M.; Shih, E.; Guttag, J.; Durand, F.; Freeman, W.T. Eulerian Video Magnification for Revealing Subtle Changes in the World. ACM Trans. Graph. 2012, 31, 1–8. [Google Scholar] [CrossRef]
- Chen, J.; Chang, Z.; Qiu, Q.; Li, X.; Sapiro, G.; Bronstein, A.; Pietikäinen, M. RealSense= Real Heart Rate: Illumination Invariant Heart Rate Estimation from Videos. In Proceedings of the 2016 Sixth International Conference on Image Processing Theory, Tools and Applications (IPTA), Oulu, Finland, 12–15 December 2016. [Google Scholar]
- Nakajima, K.; Matsumoto, Y.; Tamura, T. Development of real-time image sequence analysis for evaluating posture change and respiratory rate of a subject in bed. Physiol. Meas. 2001, 22, N21. [Google Scholar] [CrossRef] [PubMed]
- Regev, N.; Wulich, D. A simple, remote, video based breathing monitor. In Proceedings of the 2017 39th Annual International Conference of the IEEE Engineering in Medicine and Biology Society (EMBC), Seogwipo, Korea, 11–15 July 2017; pp. 1788–1791. [Google Scholar] [CrossRef]
- Koo, Y.S.; Ren, L.; Wang, Y.; Fathy, A.E. UWB MicroDoppler Radar for human Gait analysis, tracking more than one person, and vital sign detection of moving persons. In Proceedings of the 2013 IEEE MTT-S International Microwave Symposium Digest (IMS), Seattle, WA, USA, 2–7 June 2013; pp. 1–4. [Google Scholar] [CrossRef]
- Tariq, A.; Shiraz, H.G. Doppler radar vital signs monitoring using wavelet transform. In Proceedings of the 2010 Loughborough, Antennas and Propagation Conference (LAPC), Loughborough, UK, 8–9 November 2010; pp. 293–296. [Google Scholar] [CrossRef]
- Hsieh, C.H.; Shen, Y.H.; Chiu, Y.F.; Chu, T.S.; Huang, Y.H. Human respiratory feature extraction on an UWB radar signal processing platform. In Proceedings of the 2013 IEEE International Symposium on Circuits and Systems (ISCAS), Beijing, China, 19–23 May 2013; pp. 1079–1082. [Google Scholar] [CrossRef]
- Lazaro, A.; Girbau, D.; Villarino, R. Analysis of vital signs monitoring using an IR-UWB radar. Prog. Electromagn. Res. 2010, 100, 265–284. [Google Scholar] [CrossRef]
- Shi, J.; Tomasi, C. Good Features to Track. In Proceedings of the 1994 IEEE Conference on Computer Vision and Pattern Recognition (CVPR), Seattle, WA, USA, 21–23 June 1994; pp. 593–600. [Google Scholar] [CrossRef]
- Lucas, B.D.; Kanade, T. An Iterative Image Registration Technique with an Application to Stereo Vision. In Proceedings of the 7th International Joint Conference on Artificial Intelligence-Volume 2; Morgan Kaufmann Publishers Inc.: San Francisco, CA, USA, 1981; IJCAI’81; pp. 674–679. [Google Scholar]
- So, H.C.; Chan, K.W. Reformulation of Pisarenko harmonic decomposition method for single-tone frequency estimation. IEEE Trans. Signal Process. 2004, 52, 1128–1135. [Google Scholar] [CrossRef]
- Haykin, S. Adaptive Filter Theory, 3rd ed.; Prentice-Hall, Inc.: Upper Saddle River, NJ, USA, 1996. [Google Scholar]
- Kay, S.M. Fundamentals of Statistical Signal Processing, Volume 2: Detection Theory; Prentice-Hall Inc: Upper Saddle River, NJ, USA, 1993. [Google Scholar]
- Kay, S.M. Fundamentals of Statistical Signal Processing: Estimation Theory; Prentice-Hall, Inc.: Upper Saddle River, NJ, USA, 1993. [Google Scholar]
- Neulog’s Respiration Monitor Belt logger NUL-236. Available online: https://neulog.com/respiration-monitor-belt/ (accessed on 13 December 2019).










| Value | Units | Comment | |
|---|---|---|---|
| Pulse Repetition Frequency | 40.5 | MHz | |
| Center frequency | 7.29 | GHz | |
| Bandwidth | 1.5 | GHz | |
| Peak pulse power | –0.7 | dBm | |
| Frame rate | ∼10 | Hz | ∼70 dB processing gain |
| Subject Gender [m/f] | Subject Age [years] | Maximum Error- Proposed Algorithm [BPM] | Maximum Error- Optimal Algorithm [BPM] |
|---|---|---|---|
| m | 40 | 0.26 | 0.1 |
| m | 50 | 0.3 | 0.12 |
| m | 30 | 0.4 | 0.15 |
| m | 2 | 0.4 | 0.2 |
| f | 0.5 | 0.5 | 0.12 |
| Subject Gender [f/m] | Subject Age [years] | Mean Breathing Rate [BPM] | Mean Error [BPM] | Mean Error [% of Breathing Rate] |
|---|---|---|---|---|
| f | 25 | 14 | 0.27 | 1.92 |
| f | 28 | 13 | 0.33 | 2.53 |
| f | 31 | 16 | 0.29 | 1.81 |
| m | 35 | 16 | 0.29 | 1.81 |
| f | 38 | 14 | 0.39 | 2.78 |
| f | 39 | 14 | 0.31 | 2.21 |
| m | 41 | 15 | 0.40 | 2.66 |
| m | 43 | 13 | 0.39 | 2.92 |
| m | 43 | 17 | 0.41 | 2.41 |
| Breathing Rate (BPM) | Mean Radar Error (BPM) | Mean RGB Error (BPM) | Mean Depth Error (BPM) |
|---|---|---|---|
| 9.37 | 0 | 0 | 0.0020 |
| 23.43 | 0 | 0 | 0.0019 |
| 33.98 | 0.0191 | 0.0191 | 0.0193 |
| 56.25 | 0.1254 | 0.1688 | 0.1731 |
© 2020 by the authors. Licensee MDPI, Basel, Switzerland. This article is an open access article distributed under the terms and conditions of the Creative Commons Attribution (CC BY) license (http://creativecommons.org/licenses/by/4.0/).
Share and Cite
Regev, N.; Wulich, D. Multi-Modal, Remote Breathing Monitor. Sensors 2020, 20, 1229. https://doi.org/10.3390/s20041229
Regev N, Wulich D. Multi-Modal, Remote Breathing Monitor. Sensors. 2020; 20(4):1229. https://doi.org/10.3390/s20041229
Chicago/Turabian StyleRegev, Nir, and Dov Wulich. 2020. "Multi-Modal, Remote Breathing Monitor" Sensors 20, no. 4: 1229. https://doi.org/10.3390/s20041229
APA StyleRegev, N., & Wulich, D. (2020). Multi-Modal, Remote Breathing Monitor. Sensors, 20(4), 1229. https://doi.org/10.3390/s20041229

