Validation of Screen-Printed Electronic Skin Based on Piezoelectric Polymer Sensors
Abstract
1. Introduction
2. Materials and Methods
2.1. Electronic Skin Design And Technology
2.1.1. Screen-Printed Sensing Patches Based on Piezoelectric Polymers
2.1.2. Design of the Sensing Patches
2.2. Experimental Setup
2.3. Reference Skin Structure and Model
3. Results
3.1. Morphology of the Sensing Patches: Issues
- Faults in the top sensor electrode. The choice of silver ink for the top electrode has been the result of a compromise between resolution, conductivity and top-electrode performance. Using silver, the printing resolution was very good and the conductivity was very high at the 100 °C temperature treatment. At a careful examination, small defects were detected, due to solvents in the ink (Figure 8b). However, this does not heavily compromise sensor behavior.
- Interrupted tracks (Figure 8c). During high-voltage hysteresis poling, sensor lines burned for current exceeding a given threshold due to short circuits between top and bottom electrodes (caused by their too small distance).
- Short circuits. They occurred between sensor lines or due to the misalignment between top and bottom electrodes (Figure 8d). The high spatial resolution led to too small distances between lines and top/bottom electrodes, causing short-circuits due to the shrinkage of the whole DIN A3 fabrication substrate during high temperature treatment. Figure 9 shows the heat map of the substrate prone to shrinkage. We observed that certain sensing patches (such as M-Palm) lie on the blue sweet spot, corresponding to less shrinkage. This guarantees a larger number of working sensors. Other samples (such as palm right 2) are on the red zones, associated with high shrinkage. This causes higher number of short circuits, which in turn leads to less working sensors than expected.
3.2. Experimental Tests
3.2.1. Frequency Range Selection
3.2.2. Systematic Sensor Validation
First Analysis: Palm Sensors
Second Analysis (Preliminary): Finger Sensors
4. Discussion
5. Conclusions and Future Work
Author Contributions
Funding
Acknowledgments
Conflicts of Interest
References
- Seminara, L.; Capurro, M.; Valle, M. Tactile data processing method for the reconstruction of contact force distributions. Mechatronics 2015, 27, 28–37. [Google Scholar] [CrossRef]
- Wasko, W.; Albini, A.; Maiolino, P.; Mastrogiovanni, F.; Cannata, G. Contact Modelling and Tactile Data Processing for Robot Skins. Sensors 2019, 19, 814. [Google Scholar] [CrossRef] [PubMed]
- Fishel, J.A.; Loeb, G.E. Bayesian Exploration for Intelligent Identification of Textures. Front. Neurorobot. 2012, 6. [Google Scholar] [CrossRef] [PubMed]
- Jamali, N.; Ciliberto, C.; Rosasco, L.; Natale, L. Active perception: Building objects’ models using tactile exploration. In Proceedings of the 2016 IEEE-RAS 16th International Conference on Humanoid Robots (Humanoids), Cancun, Mexico, 15–17 November 2016; pp. 179–185. [Google Scholar]
- Gastaldo, P.; Pinna, L.; Seminara, L.; Valle, M.; Zunino, R. A tensor-based approach to touch modality classification by using machine learning. Robot. Auton. Syst. 2015, 63, 268–278. [Google Scholar] [CrossRef]
- Kappassov, Z.; Corrales, J.-A.; Perdereau, V. Tactile sensing in dexterous robot hands—Review. Robot. Auton. Syst. 2015, 74, 195–220. [Google Scholar] [CrossRef]
- Seminara, L.; Capurro, M.; Cirillo, P.; Cannata, G.; Valle, M. Electromechanical characterization of piezoelectric PVDF polymer films for tactile sensors in robotics applications. Sens. Actuators A Phys. 2011, 169, 49–58. [Google Scholar] [CrossRef]
- Stadlober, B.; Zirkl, M.; Irimia-Vladu, M. Route towards sustainable smart sensors: Ferroelectric polyvinylidene fluoride-based materials and their integration in flexible electronics. Chem. Soc. Rev. 2019, 48, 1787–1825. [Google Scholar] [CrossRef] [PubMed]
- Regtien, P. Sensors for applications in robotics. Sens. Actuators 1986, 10, 195–218. [Google Scholar] [CrossRef]
- Khan, S.; Tinku, S.; Lorenzelli, L.; Dahiya, R. Flexible Tactile Sensors Using Screen-Printed P(VDF-TrFE) and MWCNT/PDMS Composites. IEEE Sens. J. 2014, 15, 3146–3155. [Google Scholar] [CrossRef]
- Hsu, Y.-J.; Jia, Z.; Kymissis, I. A Locally Amplified Strain Sensor Based on a Piezoelectric Polymer and Organic Field-Effect Transistors. IEEE Trans. Electron. Devices 2011, 58, 910–917. [Google Scholar] [CrossRef]
- Tien, N.T.; Jeon, S.; Kim, D.I.; Trung, T.Q.; Jang, M.; Hwang, B.U.; Byun, K.E.; Bae, J.; Lee, E.; Tok, J.B.H.; et al. A flexible bimodal sensor array for simultaneous sensing of pressure and temperature. Adv. Mater. 2014, 26, 796–804. [Google Scholar] [CrossRef]
- Ploss, B.; Ploss, B.; Shin, F.G.; Choy, C.L.; Chan, H.L.W. Pyroelectric or piezoelectric compensated ferroelectric composites. Appl. Phys. Lett. 2000, 76, 2776–2778. [Google Scholar] [CrossRef]
- Wang, X.; Sun, F.; Yin, G.; Wang, Y.; Liu, B.; Dong, M. Tactile-Sensing Based on Flexible PVDF Nanofibers via Electrospinning: A Review. Sensors 2018, 18, 330. [Google Scholar] [CrossRef] [PubMed]
- Xin, Y.; Tian, H.; Guo, C.; Li, X.; Sun, H.; Wang, P.; Lin, J.; Wang, S.; Wang, C. PVDF tactile sensors for detecting contact force and slip: A review. Ferroelectrics 2016, 504, 31–45. [Google Scholar] [CrossRef]
- Fares, H.; Seminara, L.; Pinna, L.; Valle, M.; Groten, J.; Hammer, M.; Zirkl, M.; Stadlober, B. Screen Printed Tactile Sensing Arrays for Prosthetic Applications. In Proceedings of the 2018 IEEE International Symposium on Circuits and Systems (ISCAS), Florence, Italy, 27–30 May 2018; pp. 1–4. [Google Scholar]
- Michelangelo Prosthetic Hand. Ottobock US. Available online: https://www.ottobockus.com/prosthetics/upper-limb-prosthetics/solution-overview/michelangelo-prosthetic-hand/ (accessed on 18 February 2020).
- Seminara, L. Modeling Electronic Skin Response to Normal Distributed Force. Sensors 2018, 18, 459. [Google Scholar] [CrossRef] [PubMed]
- Startseite. Joanneum Research. Available online: https://www.joanneum.at/materials/forschungsbereiche/pyzoflexr/ (accessed on 18 February 2020).
- Bauer, S.; Domann, G.; Helbig, U.; Krause, M.; Stadlober, B.; Zirkl, M. Solution or Suspension Containing Fluoropolymer, Method for Producing Same, and Use Thereof for Producing Piezoelectric and Pyroelectric Coatings. U.S. Patent 13/818,561, 20 June 2013. [Google Scholar]
- Zirkl, M.; Sawatdee, A.; Helbig, U.; Krause, M.; Scheipl, G.; Kraker, E.; Ersman, P.A.; Nilsson, D.; Platt, D.; Bodo, P.; et al. An All-Printed Ferroelectric Active Matrix Sensor Network Based on Only Five Functional Materials Forming a Touchless Control Interface. Adv. Mater. 2011, 23, 2069–2074. [Google Scholar] [CrossRef] [PubMed]
- Lederman, S.J.; Klatzky, R.L. Haptic perception: A tutorial. Atten. Percept. Psychophys 2009, 71, 14391459. [Google Scholar] [CrossRef] [PubMed]
- Pinna, L.; Valle, M. Charge Amplifier Design Methodology for Pvdf-based tactile sensors. J. Circuits Syst. Comput. 2013, 22, 1350066. [Google Scholar] [CrossRef]
- Johnson, K.L. Contact Mechanics; Cambridge University Press: Cambridge, UK, 1985; p. 365. [Google Scholar]























| Category | Category Name | Number of Tested Patches | Number of Sensors/Patch |
|---|---|---|---|
| Category 1 | Palm left 2 | 3 | 8 |
| Category 2 | Palm right 2 | 4 | 8 |
| Category 3 | Palm right 1 | 1 | 16 |
| Category 4 | Michelangelo palm | 2 | 12 |
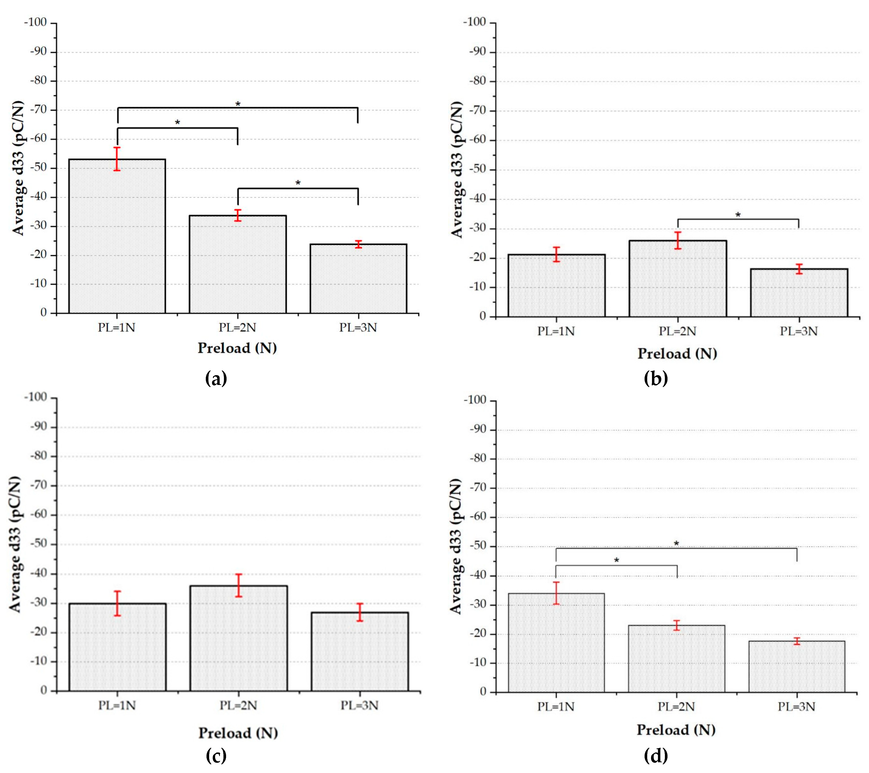
| Sensor Location | Study | Number of Patches | Preload | Number of Working Sensors (used for statistics) | Average d33 | Standard Error (SE) | Main Result | |
|---|---|---|---|---|---|---|---|---|
| Palm | All sensors at different preloads | 10 | PL = 1 N | 67 | –34.014 | 2.29304 | Statistically significant systematic decrease of d33 with preload | |
| PL = 2 N | –29.492 | 1.47302 | ||||||
| PL = 3 N | –20.656 | 1.00846 | ||||||
| Categories | Category 1 | 3 | PL = 1 N | 18 | –53.222 | 3.989 | At all preloads, these patches are statistically equivalent | |
| PL = 2 N | –33.777 | 1.91239 | ||||||
| PL = 3 N | –23.833 | 1.23206 | ||||||
| Category 2 (red zone) | 4 | PL = 1 N | 23 | –21.260 | 2.3983 | At all preloads, these patches are statistically equivalent | ||
| PL = 2 N | –26.043 | 2.83155 | ||||||
| PL = 3 N | –16.347 | 1.58876 | ||||||
| Category 3 (red zone) | 1 | PL = 1 N | 23 | –29.923 | 4.13779 | At all preloads, these patches are statistically equivalent | ||
| PL = 2 N | –36.076 | 3.84218 | ||||||
| PL = 3 N | –26.923 | 2.89885 | ||||||
| Category 4 | 2 | PL = 1 N | 13 | –34.076 | 3.75613 | At all preloads, these patches are statistically equivalent | ||
| PL = 2 N | –23.076 | 1.62694 | ||||||
| PL = 3 N | –17.615 | 1.14656 | ||||||
| Finger | All sensors at different preloads | 2 | PL = 1 N | 4 | –41.5 | 17.46663 | Statistically significant systematic decrease of d33 with preload | |
| PL = 2 N | 8 | –16.875 | 1.95884 | |||||
| PL = 3 N | 8 | –12.0625 | 1.35105 | |||||
| Solution 1: Validation stage Skin patch built applying double-sided adhesive tape around the sensing patch. | ![]() |
| Solution 2: Real applications Skin patch built applying double-sided adhesive tape all over below and above the sensing patch. | ![]() |
© 2020 by the authors. Licensee MDPI, Basel, Switzerland. This article is an open access article distributed under the terms and conditions of the Creative Commons Attribution (CC BY) license (http://creativecommons.org/licenses/by/4.0/).
Share and Cite
Fares, H.; Abbass, Y.; Valle, M.; Seminara, L. Validation of Screen-Printed Electronic Skin Based on Piezoelectric Polymer Sensors. Sensors 2020, 20, 1160. https://doi.org/10.3390/s20041160
Fares H, Abbass Y, Valle M, Seminara L. Validation of Screen-Printed Electronic Skin Based on Piezoelectric Polymer Sensors. Sensors. 2020; 20(4):1160. https://doi.org/10.3390/s20041160
Chicago/Turabian StyleFares, Hoda, Yahya Abbass, Maurizio Valle, and Lucia Seminara. 2020. "Validation of Screen-Printed Electronic Skin Based on Piezoelectric Polymer Sensors" Sensors 20, no. 4: 1160. https://doi.org/10.3390/s20041160
APA StyleFares, H., Abbass, Y., Valle, M., & Seminara, L. (2020). Validation of Screen-Printed Electronic Skin Based on Piezoelectric Polymer Sensors. Sensors, 20(4), 1160. https://doi.org/10.3390/s20041160



