Structural Health Monitoring Based on Acoustic Emissions: Validation on a Prestressed Concrete Bridge Tested to Failure
Abstract
1. Introduction
2. AE Principle and Observable Quantities
2.1. Phenomenon and Technology
2.2. AE Signal Parameters
- Amplitude: it is the maximum amplitude of the signal in the time-domain after its amplification. It is expressed in decibels and Vref = 1 μV from the sensor corresponds to 0 dB.
- Duration: it is the time interval between the first and the last threshold-crossing of a hit.
- Count: it is the number of times that the signal exceeds the threshold within the duration: it strongly depends on the threshold and the sampling frequency.
- Signal strength (energy): it is the measured area of the rectified signal envelope (MARSE). Typically, it includes the absolute value of areas of both the positive and negative envelopes. Its unit of measure is Volts × second [V·s], and it is a function of both the amplitude and the duration. It is preferred over count to interpret the magnitude of the event.
- Peak frequency: it is the frequency corresponding to the peak observed in the power spectrum resulting from an FFT (Fast Fourier Transformation) of the signal.
- Peak definition time (PDT): it is the time after the peak amplitude in which a new greater peak amplitude can replace the original one; after the PDT has expired, the original peak-amplitude is not replaced.
- Hit definition time (HDT): it is the time after the last threshold-crossing that defines the end of the hit.
- Hit lockout time (HLT): it is the time after the HDT during which a threshold-crossing will not trig a new hit. A new hit can start only after the HLT has expired.
2.3. AE Analysis for Load Tests
3. Case Study of a Prestressed Concrete Bridge Tested to Failure
3.1. Alveo Vecchio Viaduct
3.2. Structural Health Monitoring System
3.3. Load-Test Protocol
4. Results of the Case Study
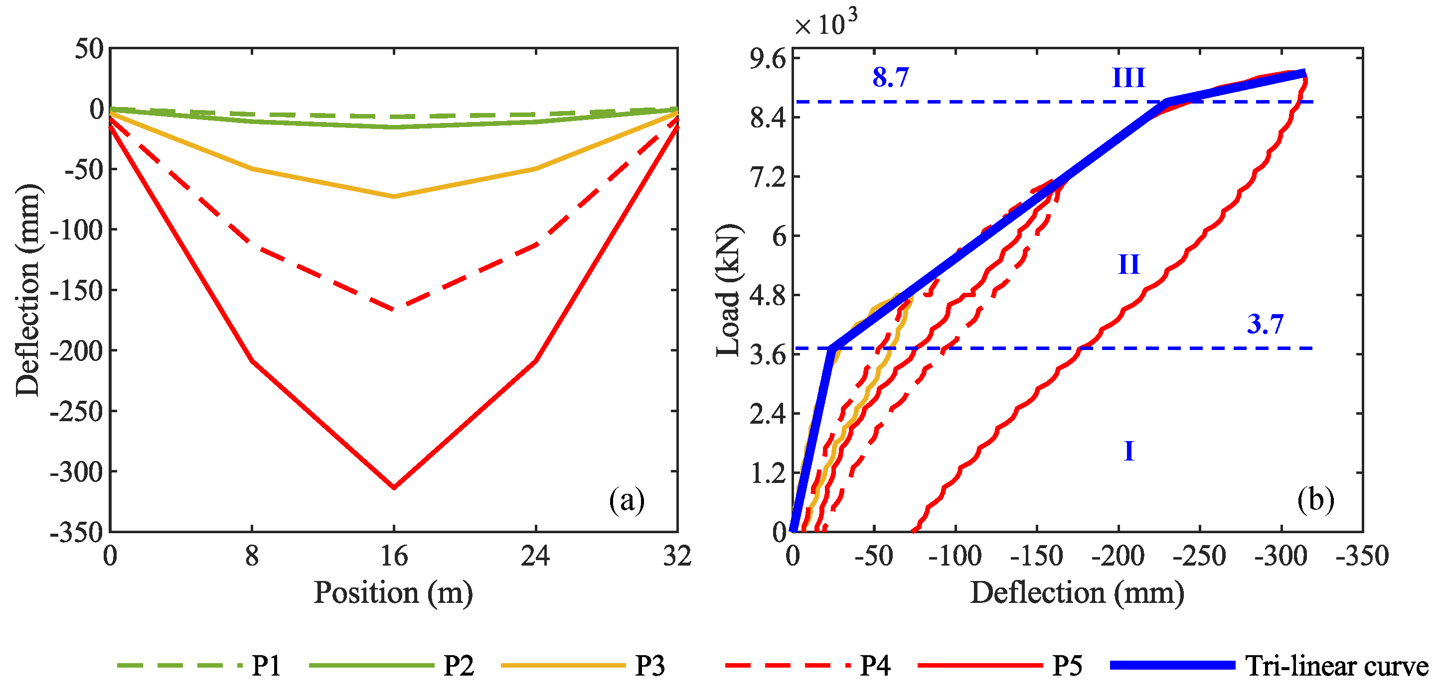
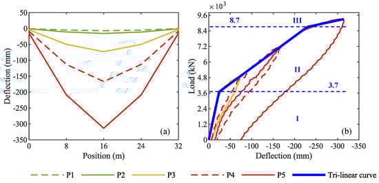
4.1. Results from Displacement and Crack-Opening Transducers
4.2. Results from AE Sensors—P3 4800 kN
4.3. Results from AE Sensors—P4 7200 kN
5. Discussion of Results
5.1. Discussion of AE Results from P3 4800 kN
5.2. Discussion of AE Results from P4 7200 kN
5.3. Comparison of Results from P3 and P4 for Low Values of the Load (0–2400 kN)
6. Conclusions
Author Contributions
Funding
Acknowledgments
Conflicts of Interest
References
- ASCE. 2017 Infrastructure Report Card. 2017. Available online: https://www.infrastructurereportcard.org/ (accessed on 17 August 2020).
- Zonta, D.; Migliorino, P.; Selleri, A.; Valeri, E.; Marchiondelli, A.; Tonelli, D.; Bolognani, D.; Debiasi, E.; Bonelli, A.; Rossi, F. L’esperienza del campo prove Sicurezza Infrastrutture MIT. EDI-CEM Srl Strade Autostrade 2020, 142, 58–65. [Google Scholar]
- Bolognani, D.; Verzobio, A.; Tonelli, D.; Cappello, C.; Glisic, B.; Zonta, D.; Quigley, J. Quantifying the benefit of SHM: What if the manager is not the owner? Struct. Health Monit. 2018, 17, 1393–1409. [Google Scholar] [CrossRef]
- Tonelli, D.; Verzobio, A.; Cappello, C.; Bolognani, D.; Zonta, D.; Bursi, O.S.; Costa, C. Expected utility theory for monitoring-based decision support system. In Proceedings of the 11th IWSHM, Stanford, CA, USA, 12–14 September 2017. [Google Scholar]
- Bolognani, D.; Verzobio, A.; Tonelli, D.; Cappello, C.; Glisic, B.; Zonta, D. An application of Prospect Theory to a SHM-based decision problem. In Proceedings of the SPIE 10170-84, Portland, OR, USA, 25–29 March 2017. [Google Scholar]
- Tarussov, A.; Vandry, M.; de la Haza, A. Condition assessment of concrete structures using a new analysis method: Ground-penetrating radar computer-assisted visual interpretation. Constr. Build. Mater. 2013, 38, 1246–1254. [Google Scholar] [CrossRef]
- Abouhamad, M.; Dawood, T.; Jabri, A.; Alsharqawi, M.; Zayed, T. Corrosiveness mapping of bridge decks using image-based analysis of GPR data. Autom. Constr. 2017, 80, 104–117. [Google Scholar] [CrossRef]
- Pernica, G.; Rahman, A. Effectiveness of an Electromagnetic Wave Propagation Technique for the Condition Assessment of Unbonded Post-Tensioned Tendons—An Evaluation Report; National Research Council of Canada: Ottawa, ON, Canada, 1997.
- Ciolko, A.; Tabatabai, H. Nondestructive Methods for Condition Evaluation of Prestressing Steel Strands in Concrete Bridges; Final Report, NCHRP Project; National Cooperative Highway Research Program: Washington, DC, USA, 1999. [Google Scholar]
- Matt, P. Non-Destructive Evaluation and Monitoring of Post-Tensioning Tendons; Fib Bulletin: Ghent, Belgium, 2001. [Google Scholar]
- Liu, W.; Hunsperger, R.G.; Chajes, M.J.; Folliard, K.J.; Kunz, E. Corrosion Detection of Steel Cables using Time Domain Reflectometry. J. Mater. Civ. Eng. 2002, 14, 217–223. [Google Scholar] [CrossRef]
- Chajes, M.; Hunsperger, R.; Liu, W.; Li, J.; Kunz, E. Time Domain Reflectometry for Void Detection in Grouted Posttensioned Bridges. Transp. Res. Rec. J. Transp. Res. Board 2003, 1845, 148–152. [Google Scholar] [CrossRef]
- Baran, E.; Shield, C.K.; French, C. A Comparison of Methods for Experimentally Determining Prestress Losses in Pretensioned Prestressed Concrete Girders, in Special Publication on Historic Innovations in Prestressed Concrete; American Concrete Institute: Farmington Hills, MI, USA, 2005; Volume 231, pp. 161–179. [Google Scholar]
- Czaderski, C.; Motavalli, M. Determining the Remaining Tendon Force of a Large-Scale, 38-Year-Old Prestressed Concrete Bridge Girder. PCI J. 2006, 51, 56–68. [Google Scholar] [CrossRef]
- Abdel-Jaber, H.; Glisic, B. Monitoring of prestressing forces in prestressed concrete structures—An overview. Struct. Control Health Monit. 2019, 26, 1–27. [Google Scholar] [CrossRef]
- Trautner, C.; McGinnis, M.; Pessiki, S. Application of the Incremental Core-Drilling Method to Determine In-Situ Stresses in Concrete. ACI Mater. J. 2011, 108, 290–299. [Google Scholar]
- McGinnis, M.J.; Pessiki, S. Experimental Study of the Core-Drilling Method for Evaluating In Situ Stresses in Concrete Structures. J. Mater. Civ. Eng. 2016, 28, 04015099. [Google Scholar] [CrossRef]
- Nair, A.; Cai, C. Acoustic emission monitoring of bridges: Review and case studies. Eng. Struct. 2010, 32, 1704–1714. [Google Scholar] [CrossRef]
- Tonelli, D.; Verzobio, A.; Bolognani, D.; Cappello, C.; Glisic, B.; Zonta, D.; Quigley, J. The conditional Value of Information of SHM: What if the manager is not the owner? In Proceedings of the SPIE 10600-87, Denver, CO, USA, 5–8 March 2018. [Google Scholar]
- Bolognani, D.; Verzobio, A.; Tonelli, D.; Cappello, C.; Glisic, B.; Zonta, D. Quantifying the Benefit of SHM: What if the Manager Is Not the Owner? In Proceedings of the 11th IWSHM, Stanford, CA, USA, 12–14 September 2017. [Google Scholar]
- Meo, M. Acoustic emission sensors for assessing and monitoring civil infrastructures. In Sensor Technologies for Civil Infrastructures; Woodhead Publishing: Cambridge, UK, 2014; Volume 1, pp. 159–178. [Google Scholar]
- Morton, T.M.; Harrington, R.M.; Bjeletich, J.G. Acoustic emissions of fatigue crack growth. Eng. Fract. Mech. 1973, 5, 691–692. [Google Scholar] [CrossRef]
- Holford, K.H.; Davies, A.W.; Sammarco, A. Analysis of Fatigue Crack Growth in Structural Steels by Classification of Acoustic Emission Signals. In Proceedings of the Engineering Systems Design and Analysis Congress, London, UK, 4–7 July 1994. [Google Scholar]
- Hamstad, M.A.; McColskey, J.D. Detectability of slow crack growth in bridge steels by acoustic emission. Mater. Eval. 1999, 57, 1165–1174. [Google Scholar]
- Yuyama, S.; Ohtsu, M. Acoustic emission evaluation in concrete. In Acoustic Emission-Beyond the Millennium; Elsevier Science: Amsterdam, The Netherlands, 2000; pp. 187–213. [Google Scholar]
- Yoon, D.J.; Weiss, W.J.; Shah, S.P. Assessing damage in corroded reinforced concrete using acoustic emission. J. Eng. Mech. 2000, 126, 273–283. [Google Scholar] [CrossRef]
- Zhang, X.; Li, B. Damage characteristics and assessment of corroded RC beam-column joint under cyclic loading based on acoustic emission monitoring. Eng. Struct. 2020, 205, 110090. [Google Scholar] [CrossRef]
- Ebrahimkhanlou, A.; Choi, J.; Hrynyk, T.D.; Salamone, S.; Bayrak, O. Acoustic emission monitoring of containment structures during post-tensioning. Eng. Struct. 2020, 209, 109930. [Google Scholar] [CrossRef]
- Goldaran, R.; Turer, A.; Kouhdaragh, M.; Ozlutas, K. Identification of corrosion in a prestressed concrete pipe utilizing acoustic emission technique. Constr. Build. Mater. 2020, 242, 118053. [Google Scholar] [CrossRef]
- Wu, Y.; Li, S.; Wang, D.; Zhao, G. Damage monitoring of masonry structure under in-situ uniaxial compression test using acoustic emission parameters. Constr. Build. Mater. 2019, 215, 812–822. [Google Scholar] [CrossRef]
- Pollock, A.A.; Smith, B. Stress-wave-emission monitoring of a military bridge. Non-Destr. Test. 1972, 5, 348–353. [Google Scholar] [CrossRef]
- Golaski, L.; Gebski, P.; Ono, K. Diagnostics of reinforced cocrete bridges by acoustic emission. J. Acoust. Emiss. 2002, 20, 83–98. [Google Scholar]
- Anay, R.; Lane, A.; Jáuregui, D.V.; Weldon, B.D.; Soltangharaei, V.; Ziehl, P. On-Site Acoustic-Emission Monitoring for a Prestressed Concrete BT-54 AASHTO Girder Bridge. J. Perform. Constr. Facil. 2020, 34, 04020034. [Google Scholar] [CrossRef]
- Chataigner, S.; Gaillet, L.; Falaise, Y.; David, J.-F.; Michel, R.; Aubagnac, C.; Houel, A.; Germain, D.; Maherault, J.-P. Acoustic Monitoring of a Prestressed Concrete Beam Reinforced by Adhesively Bonded Composite. Available online: https://hal.archives-ouvertes.fr/hal-02289647/document (accessed on 2 June 2020).
- Ma, G.; Du, Q. Structural health evaluation of the prestressed concrete using advanced acoustic emission (AE) parameters. Constr. Build. Mater. 2020, 250, 118860. [Google Scholar] [CrossRef]
- Fricker, S.; Vogel, T. Site installation and testing of a continuous acoustic monitoring. Constr. Build. Mater. 2007, 21, 501–510. [Google Scholar] [CrossRef]
- Yuyama, S.; Yokoyama, K.; Niitani, K.; Ohtsu, M.; Uomoto, T. Detection and evaluation of failures in high-strength tendon of prestressed concrete bridges by acoustic emission. Constr. Build. Mater. 2007, 21, 491–500. [Google Scholar] [CrossRef]
- Shiotani, T.; Oshima, Y.; Goto, M.; Momoki, S. Temporal and spatial evaluation of grout failure process with PC cable breakage by means of acoustic emission. Constr. Build. Mater. 2013, 48, 1286–1292. [Google Scholar] [CrossRef]
- Vélez, W.; Matta, F.; Ziehl, P. Acoustic emission monitoring of early corrosion in prestressed concrete piles. Struct. Control Health Monit. 2015, 22, 873–887. [Google Scholar] [CrossRef]
- Holford, K.M.; Lark, R.J. Acoustic Emission Testing of Bridges. In Inspection and Monitoring Techniques for Bridges and Structures; Woodhead Publishing: Cambridge, UK, 2005; pp. 183–215. [Google Scholar]
- Ohtsu, M. History and Fundamentals. In Acoustic Emission Testing; Springer: Berlin/Heidelberg, Germany, 2008; pp. 11–18. [Google Scholar]
- Aggelis, D.G. Classification of cracking mode in concrete by acoustic emission parameters. Mech. Res. Commun. 2011, 38, 153–157. [Google Scholar] [CrossRef]
- Ohtsu, M. Sensors and Instruments. In Acoustic Emission Testing; Springer: Berlin/Heidelberg, Germany, 2008; pp. 19–40. [Google Scholar]
- Jin, X.; Ladabaum, I.; Khuri-Yakub, P.T. The microfabrication of capacitive ultrasonic transducers. J. Microelectromech. Syst. 1998, 7, 295–302. [Google Scholar]
- Wu, W.; Greve, D.W.; Oppenheim, I.J. Characterization and noise analysis of capacitive MEMS acoustic emission transducers. In Proceedings of the IEEE Sensors Conference, Atlanta, GA, USA, 28–31 October 2007. [Google Scholar]
- ISO. Non-Destructive Testing—Acoustic Emission Inspection—Vocabulary; ISO 12716:2001; International Organization for Standardization: Geneva, Switzerland, 2001. [Google Scholar]
- Shiotani, T. Parameter Analysis. In Acoustic Emission Testing; Springer: Berlin/Heidelberg, Germany, 2008; pp. 41–51. [Google Scholar]
- Noorsuhada, M.N. An overview on fatigue damage assessment of reinforced concrete structures with the aid of acoustic emission technique. Constr. Build. Mater. 2016, 112, 424–439. [Google Scholar] [CrossRef]
- Schiavi, A.; Niccolini, G.; Tarizzo, P.; Carpinteri, A.; Lacidogna, G.; Manuello, A. Waveforms and frequency spectra of elastic emissions due to macrofractures in solids. In Experimental and Applied Mechanics; Proulx, T., Ed.; Conference Proceedings of the Society for Experimental Mechanics Series; Springer: New York, NY, USA, 2011; Volume 6, pp. 613–621. [Google Scholar]
- Beattie, A.G. Acoustic Emission Non-Destructive Testing of Structures Using Source Location Techniques; SAND2013-7779; Sandia National Laboratories: Albuquerque, NM, USA, 2013.
- Tillmann, A.S.; Schultz, A.E.; Campos, J.E. Protocols and Criteria for Acoustic Emission Monitoring of Fracture-Critical Steel Bridges; Minnesota Department of Transportation Research Services & Library: Saint Paul, MN, USA, 2015. [Google Scholar]
- Moradian, O.Z.; Li, B.Q. Hit Based Acoustic Emission Monitoring of Rock Fractures: Challenges and Solutions; Springer: Honolulu, HI, USA, 2015. [Google Scholar]
- Nazarchuk, Z.; Skalskyi, V.; Serhiyenko, O. Acoustic Emission—Methodology and Application, 1st ed.; Springer: Berlin/Heidelberg, Germany, 2017. [Google Scholar]
- SPEA. Relazione di Calcolo Viadotto Alveo Vecchio alla Progr. 39 + 364.21, Opera N*14; SPEA: Turin, Italy, 1966. [Google Scholar]
- Guidelines for Structural Health Monitoring; UNI/TR 11634:2016; Ente Italiano di Normazione: Milano, Italy, 2016.
- Università degli Studi di Trento. Campo Prove Sicurezza Infrastrutture MIT-Protocollo di Prova e Strumentazione Campata C3sx; Università degli Studi di Trento: Trento, Italy, 2019. [Google Scholar]
- Università degli Studi di Trento. Campo Prove Sicurezza Infrastrutture MIT-Resoconto Prove su Campata C3sx; Università degli Studi di Trento: Trento, Italy, 2019. [Google Scholar]
- El Batanouny, M.K.; Larosche, A.; Ziehl, P.H.; Yu, L. Wireless monitoring of in situ decommissioning of nuclear structures using acoustic emission. In Proceedings of the 8th International Conference on Nuclear Plant Instrumentation, Control, and Human-Machine Interface Technologies, La Grange Park, IL, USA, 22–26 July 2012. [Google Scholar]
- JCMS-III B5706 Monitoring Method for Active Cracks in Concrete by Acoustic Emission; Federation of Construction Materials Industries: Tokyo, Japan, 2003.
- Ohtsu, M.; Isoda, T.; Tomoda, Y. Acoustic emission techniques standardized for concrete structures. J. Acoust. Emiss. 2007, 25, 21–32. [Google Scholar]
- Hadzor, T.J.; Barnes, R.W.; Ziehl, P.H.; Xu, J.; Schindler, A.K. Development of Acoustic Emission Evaluation Method for Repaired Prestressed Concrete Bridge Girders; Technical Rep. No. FHWA/ALDOT 930-601-1; Harbert Engineering Center: Auburn, AL, USA, 2011. [Google Scholar]
- Zandonini, R.; Baldassino, N.; Freddi, F.; Roverso, G. Steel-concrete frames under the column loss scenario: An experimental study. J. Constr. Steel Res. 2019, 162, 105527. [Google Scholar] [CrossRef]




















| Slab Concrete Compressive Strength | Girders Concrete Compressive Strength | Post Tensioned Cables Residual Stress | Steel Yield Strength | Steel Ultimate Strength |
|---|---|---|---|---|
| fcm (MPa) | fcm (MPa) | σresm (MPa) | fpym (MPa) | ft1m (MPa) |
| 31.9 | 41.5 | 952 | 1509 | 1618 |
| Type | Full-Scale (FS)/Range | Accuracy | Sampling Frequency | Number |
|---|---|---|---|---|
| RVDT (deflection) | 50–100 mm | 1.5‰ FS | 1 Hz | 20 |
| RVDT (deflection) | 500 mm | 5‰ FS | 1 Hz | 12 |
| LVDT (crack-opening) | 10 mm | 1‰ FS | 1 Hz | 22 |
| AE sensors | 50 Hz–10 kHz | 500 mV/g | 10 kHz | 4 |
| Amplitude Threshold | Sampling Frequency | High-Pass Filter Frequency | Peak Definition Time (PDT) | Hit Definition Time (HDT) | Hit Lockout Time (HLT) |
|---|---|---|---|---|---|
| 1 mV; 60 dB | 10 kHz | 500 Hz | 20 ms | 10 ms | 10 ms |
Publisher’s Note: MDPI stays neutral with regard to jurisdictional claims in published maps and institutional affiliations. |
© 2020 by the authors. Licensee MDPI, Basel, Switzerland. This article is an open access article distributed under the terms and conditions of the Creative Commons Attribution (CC BY) license (http://creativecommons.org/licenses/by/4.0/).
Share and Cite
Tonelli, D.; Luchetta, M.; Rossi, F.; Migliorino, P.; Zonta, D. Structural Health Monitoring Based on Acoustic Emissions: Validation on a Prestressed Concrete Bridge Tested to Failure. Sensors 2020, 20, 7272. https://doi.org/10.3390/s20247272
Tonelli D, Luchetta M, Rossi F, Migliorino P, Zonta D. Structural Health Monitoring Based on Acoustic Emissions: Validation on a Prestressed Concrete Bridge Tested to Failure. Sensors. 2020; 20(24):7272. https://doi.org/10.3390/s20247272
Chicago/Turabian StyleTonelli, Daniel, Michele Luchetta, Francesco Rossi, Placido Migliorino, and Daniele Zonta. 2020. "Structural Health Monitoring Based on Acoustic Emissions: Validation on a Prestressed Concrete Bridge Tested to Failure" Sensors 20, no. 24: 7272. https://doi.org/10.3390/s20247272
APA StyleTonelli, D., Luchetta, M., Rossi, F., Migliorino, P., & Zonta, D. (2020). Structural Health Monitoring Based on Acoustic Emissions: Validation on a Prestressed Concrete Bridge Tested to Failure. Sensors, 20(24), 7272. https://doi.org/10.3390/s20247272

