Optimization and Fabrication of an MOEMS Gyroscope Based on a WGM Resonator
Abstract
1. Introduction
2. Coupling Mechanism of the WGM Resonator
2.1. Resonance Analysis of the WGM Resonator
2.2. WGM Resonator-Waveguide Coupling System
2.3. Quality Factor of the WGM Resonator
3. Analysis and Optimization of the MOEMS Gyroscope
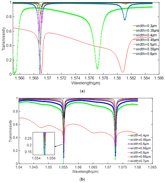
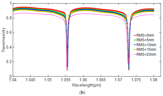
3.1. Optimization of WGM Resonator
3.2. Analysis of the Mechanical Part
4. Fabrication Process
4.1. Design of the MEMS Fabrication Process
4.2. Optimization of the Fabrication Process on SOI
4.2.1. Scheme 1. Metal, PMMA-A4, IBE, and RIE
4.2.2. Scheme 2. PMMA-A4 and RIE
4.2.3. Scheme 3. AR-N 7520, Metal, Lift-off, and RIE
4.3. Optimization of the Fabrication Process on Glass
5. Performance Test
Experimental Setup
6. Conclusions
Author Contributions
Funding
Conflicts of Interest
References
- Arditty, H.J.; Lefèvre, H.C. Sagnac effect in fiber gyroscopes. Opt. Lett. 1981, 6, 401–403. [Google Scholar] [CrossRef] [PubMed]
- Leeb, W.R.; Schíffner, G.; Scheiterer, E. Optical fiber gyroscopes: Sagnac or Fizeau effect? Appl. Opt. 1979, 18, 1293–1295. [Google Scholar] [CrossRef] [PubMed]
- Inagaki, K.; Tamura, S.; Noto, H.; Harayama, T. Sagnac Beat Signals Observed in Semiconductor Fiber-Optic Ring Laser Gyroscope. In Proceedings of the 12th International Conference on Optical Fiber Sensors, Ottawa, ON, Canada, 15–19 May 2006. [Google Scholar]
- Rayleigh, L. CXII. The problem of the whispering gallery. Lond. Edinb. Dublin Philos. Mag. J. Sci. 1910, 20, 1001–1004. [Google Scholar] [CrossRef]
- Vollmer, F.; Braun, D.; Libchaber, A.J.; Khoshsima, M.; Teraoka, I.; Arnold, S. Protein detection by optical shift of a resonant microcavity. Appl. Phys. Lett. 2002, 80, 4057–4059. [Google Scholar] [CrossRef]
- Djordjev, K.; Choi, S.-J.; Choi, S.-J.; Dapkus, P. High-Q vertically coupled InP microdisk resonators. IEEE Photon. Technol. Lett. 2002, 14, 331–333. [Google Scholar] [CrossRef]
- Yalcin, A.; Popat, K.C.; Aldridge, J.C.; Desai, T.A.; Hryniewicz, J.; Chbouki, N.; Little, B.E.; King, O.; Van, V.; Chu, S.; et al. Optical sensing of biomolecules using microring resonators. IEEE J. Sel. Top. Quantum Electron. 2006, 12, 148–155. [Google Scholar] [CrossRef]
- Rabiei, P.; Steier, W.H.; Zhang, C.; Dalton, L.R. Polymer micro-ring filters and modulators. J. Light. Technol. 2002, 20, 1968–1975. [Google Scholar] [CrossRef]
- Ghulinyan, M.; Navarro-Urrios, D.; Pitanti, A.; Lui, A.; Pucker, G.; Pavesi, L. Whispering-gallery modes and Purcell effect in a Si-nanocrystal-based single microdisk resonator. In Proceedings of the 5th IEEE International Conference on Group IV Photonics, Sorrento, Italy, 17–19 September 2008. [Google Scholar]
- Wang, J.; Feng, L.; Zhi, Y.; Liu, H.; Wang, W.; Lei, M. Reduction of backreflection noise in resonator micro-optic gyro by integer period sampling. Appl. Opt. 2013, 52, 7712–7717. [Google Scholar] [CrossRef] [PubMed]
- Feng, L.; Wang, J.; Zhi, Y.; Tang, Y.; Wang, Q.; Li, H.; Wang, W. Transmissive resonator optic gyro based on silica waveguide ring resonator. Opt. Express 2014, 22, 27565–27575. [Google Scholar] [CrossRef] [PubMed]
- Yang, Z.; Li, D.; Sun, Y. Analysis of Kerr Noise in Angular-Rate Sensing Based on Mode Splitting in a Whispering-Gallery-Mode Microresonator. Micromachines 2019, 10, 150. [Google Scholar] [CrossRef] [PubMed]
- Xia, D.; Huang, L.; Zhao, L. A New Design of an MOEMS Gyroscope Based on a WGM Microdisk Resonator. Sensors 2019, 19, 2798. [Google Scholar] [CrossRef] [PubMed]
- Rogers, A.-A.A.; Kedia, S.; Samson, S.; Bhansali, S. Verification of evanescent coupling from subwavelength grating pairs. Appl. Phys. A 2011, 105, 833–837. [Google Scholar] [CrossRef]
- Le, T.M. Integration of Practical High Sensitivity Whispering Gallery Mode Resonator Sensors. Bachelor’s Thesis, University of Southern California, Los Angeles, CA, USA, 2012. [Google Scholar]
- Latunde-Dada, K.O.; Payne, F.P. Impact of waveguide sidewall roughness on the output uniformity and phase of MMI splitters. Opt. Quantum Electron. 2008, 40, 863–873. [Google Scholar] [CrossRef]
- Ahn, C.H.; Ng, E.J.; Hong, V.A.; Yang, Y.; Lee, B.J.; Flader, I.; Kenny, T.W. Mode-Matching of Wineglass Mode Disk Resonator Gyroscope in (100) Single Crystal Silicon. J. Microelectromech. Syst. 2014, 24, 343–350. [Google Scholar] [CrossRef]
- Xia, D.; Huang, L.; Xu, L.; Gao, H. Structural Analysis of Disk Resonance Gyroscope. Micromachines 2017, 8, 296. [Google Scholar] [CrossRef] [PubMed]
- Bhola, B.; Steier, W.H. A Novel Optical Microring Resonator Accelerometer. IEEE Sensors J. 2007, 7, 1759–1766. [Google Scholar] [CrossRef]
- Tseng, A.A.; Chen, K.; Chen, C.D.; Ma, K.J. Electron beam lithography in nanoscale fabrication: Recent development. IEEE Trans. Electron. Packag. Manuf. 2003, 26, 141–149. [Google Scholar] [CrossRef]


























| Material | Thickness (μm) | Waveguide Width (μm) | Coupling Gap (μm) | Resonator Radius (μm) |
|---|---|---|---|---|
| Silicon | 0.2 | 0.3–0.6 | 0.05–0.4 | 3–8 |
| Silicon nitride | 0.3 | 0.4–0.7 | 0.05–0.4 | 3–8 |
| Material | Thickness (μm) | Resonator Radius (μm) | Waveguide Width (μm) | Coupling Gap (μm) | Resonant Wavelength (nm) | Q |
|---|---|---|---|---|---|---|
| Silicon | 0.2 | 4 | 0.4 | 0.2 | 1568.9 | 5303 |
| Silicon nitride | 0.3 | 5 | 0.5 | 0.15 | 1055.1 | 3602 |
| Structure Parameters | Value |
|---|---|
| Spoke number | 16 |
| Angle shift (Offset angle) | 0.3° |
| Spoke width | 10 μm |
| Spoke length | 20 μm |
| Ring number | 60 μm |
| Ring width | 20 μm |
| Anchor radius | 3.6 mm |
| Anchor height | 20 μm |
| Electrode gap | 15 μm |
| Dose Factor | Grating Width (nm) | Waveguide Width (nm) | Coupling Gap (nm) | Cavity Radius (nm) |
|---|---|---|---|---|
| 0.4 | 372.1 | - | - | - |
| 0.5 | 358.4 | 612.2 * | 267.8 * | - |
| 0.6 | 346.8 | 549.4 * | 212.3 * | - |
| 0.7 | 312.3 | 498.7 | 149.8 | 4946 |
| 0.8 | 247.3 | 491.3 | 152.3 | 4935 |
| 0.9 | 141.7 | 468.9 | 179.6 | 4935 |
| 1.0 | 87.2 * | 446.6 | 223.3 | 4924 |
| 1.1 | 46.7 * | 424.3 | 224.3 | 4912 |
| Desired value | 360 | 500 | 150 | 5000 |
| Solution | Etching Time (min) | Initial Diameter (μm) | Depth after Etching (μm) | Diameter after Etching (μm) | Aspect Ratio | Etching Rate (A/s) | Photoresist |
|---|---|---|---|---|---|---|---|
| HF | 1 | 282 | 3.65 | 464.1 | 49.9:1 | 607.7 | Broken |
| 2 | 6.78 | 596.6 | 46.4:1 | 565.3 | Broken | ||
| 3 | 7.64 | 702.2 | 55:1 | 424.3 | Broken | ||
| BOE | 10 | 0.235 | 290 | 34:1 | 3.92 | Intact | |
| 15 | 0.423 | 302.7 | 49.1:1 | 4.69 | Intact | ||
| 90 | 1.842 | 389.5 | 58.4:1 | 3.41 | Broken |
| Solution | Etching Time (min) | Initial Diameter (μm) | Depth after Etching (μm) | Diameter after Etching (μm) | Aspect Ratio | Etching Rate (A/s) | Photoresist |
|---|---|---|---|---|---|---|---|
| HF | 3 | 500 | 7.54 | 591.2 | 12.1:1 | 418.9 | Intact |
| 5 | 12.66 | 650.4 | 11.9:1 | 422 | Intact | ||
| 13 | 34.87 | 936.4 | 12.5:1 | 447.1 | Broken | ||
| BOE | 30 | 0.851 | 518.9 | 22.2:1 | 4.72 | Intact | |
| 60 | 1.647 | 550.9 | 30.9:1 | 4.58 | Intact | ||
| 90 | 2.373 | 594.9 | 40:1 | 4.39 | Intact |
| Solution | Etching Time (min) | Initial Diameter (μm) | Depth after Etching (μm) | Diameter after Etching (μm) | Aspect Ratio | Etching Rate (A/s) | Cr-Au |
|---|---|---|---|---|---|---|---|
| HF | 3 | 6244 | 10.21 | 6298.4 | 5.33:1 | 567.2 | Intact |
| 5 | 17.14 | 6323.3 | 4.63:1 | 571.3 | Intact | ||
| 8 | 28.9 | 6339.7 | 3.31:1 | 602.1 | Intact | ||
| BOE | 10 | 35.94 | 6364.6 | 3.36:1 | 599 | Intact | |
| 12 | 40.54 | 6375.6 | 3.24:1 | 563.1 | Intact | ||
| 15 | 54.67 | 6402.4 | 2.89:1 | 607.4 | Intact |
Publisher’s Note: MDPI stays neutral with regard to jurisdictional claims in published maps and institutional affiliations. |
© 2020 by the authors. Licensee MDPI, Basel, Switzerland. This article is an open access article distributed under the terms and conditions of the Creative Commons Attribution (CC BY) license (http://creativecommons.org/licenses/by/4.0/).
Share and Cite
Xia, D.; Zhang, B.; Wu, H.; Wu, T. Optimization and Fabrication of an MOEMS Gyroscope Based on a WGM Resonator. Sensors 2020, 20, 7264. https://doi.org/10.3390/s20247264
Xia D, Zhang B, Wu H, Wu T. Optimization and Fabrication of an MOEMS Gyroscope Based on a WGM Resonator. Sensors. 2020; 20(24):7264. https://doi.org/10.3390/s20247264
Chicago/Turabian StyleXia, Dunzhu, Bing Zhang, Hao Wu, and Tao Wu. 2020. "Optimization and Fabrication of an MOEMS Gyroscope Based on a WGM Resonator" Sensors 20, no. 24: 7264. https://doi.org/10.3390/s20247264
APA StyleXia, D., Zhang, B., Wu, H., & Wu, T. (2020). Optimization and Fabrication of an MOEMS Gyroscope Based on a WGM Resonator. Sensors, 20(24), 7264. https://doi.org/10.3390/s20247264

