Temperature Compensation for Conductivity-Based Phase Fraction Measurements with Wire-Mesh Sensors in Gas-Liquid Flows of Dilute Aqueous Solutions
Abstract
1. Introduction
2. Theory
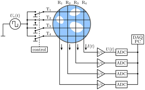
2.1. Wire-Mesh Sensor Measurement Principle
2.2. Temperature Compensation
2.2.1. General Approach
2.2.2. Literature Models
- McCleskey [12] presents a model in type of Equation (5) that particularly focuses on extending the application range of temperature compensation to acidic waters with . In this range the migration of hydrogen ions becomes increasingly dominant, because the mechanism of proton transfer among the water molecules is different from that of dissolved electrolytes that move as individual entities surrounded by a hydrate shell, cf. [10,11,12]. However, for , which is typically given for circumneutral waters in laboratory environments as well as for slightly basic water-steam-cycles of power plant applications ( according to [13]), the influence of hydrogen ion transport vanishes and the temperature coefficient of McCleskey’s model reduces to the following equation.
2.2.3. Novel Semi-Empirical Model
3. Experiments
3.1. Experimental Set-Up
3.2. Experimental Procedure
3.3. Measurement Uncertainty and Data Processing
4. Results and Discussion
4.1. Verification of WMS’s Linear Characteristic
4.2. Temperature Compensation
4.2.1. Adjustment of the Semi-Empirical Model
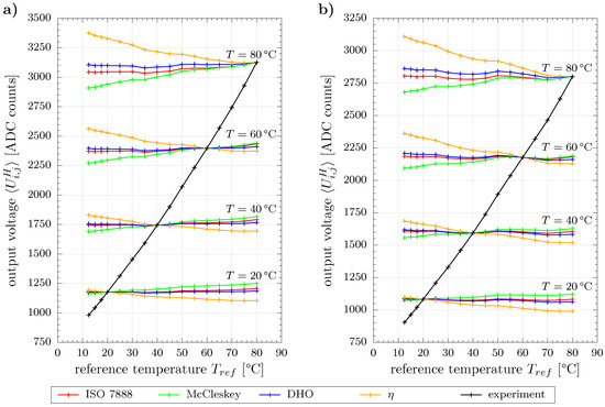
4.2.2. Comparison of Temperature Compensation Models
4.2.3. Effect on Results of Two-Phase Flow Measurements
- Time-resolved and pixel-wise phase fractions are calculated from a two-phase measurement according to Equation (3). The reference matrix can be adjusted according to Equation (7) in order to match the temperature of the two-phase measurement or any other temperature. In case that the reference temperature deviates from the temperature of the two-phase flow measurement, incorrect will result for those pixels that contain liquid of any amount larger than zero. If negative will occur for pixels that are actually filled with liquid completely.
- The commonly applied cutting algorithm limits the phase fraction data to the interval in a pixel-wise manner, cf. [18,20]. More precisely, all values that fall below zero by application of Equation (3) are cut off while pixels that represent pure gas are not affected. Pixels at gas-liquid interfaces remain unchanged as long as their phase fractions are located in the specified interval, even though they are flawed due to temperature effects.
- Cross-sectionally averaged phase fractions are calculated analogously to Equation (16) from a set of correct, incorrect and possibly cut values of .
5. Conclusions
Supplementary Materials
Author Contributions
Funding
Acknowledgments
Conflicts of Interest
Abbreviations
| ADC | analog to digital converter |
| DAQ | data acquisition |
| DHO | Debye-Hückel-Onsager |
| WMS | wire-mesh sensor |
Appendix A. Derivation of the Semi-Empirical Model
References
- Prasser, H.M.; Böttger, A.; Zschau, J. A new electrode-mesh tomograph for gas–liquid flows. Flow Meas. Instrum. 1998, 9, 111–119. [Google Scholar] [CrossRef]
- Prasser, H.M.; Krepper, E.; Lucas, D. Evolution of the two-phase flow in a vertical tube—Decomposition of gas fraction profiles according to bubble size classes using wire-mesh sensors. Int. J. Therm. Sci. 2002, 41, 17–28. [Google Scholar] [CrossRef]
- Hoffmann, A.; Schleicher, E.; Keller, L.; León Alonso, J.; Pitz-Paal, R. Application of a single wire-mesh sensor in a parabolic trough facility with direct steam generation. Sol. Energy 2018, 159, 1016–1030. [Google Scholar] [CrossRef]
- Schubert, M.; Piechotta, M.; Beyer, M.; Schleicher, E.; Hampel, U.; Paschold, J. An imaging technique for characterization of fluid flow pattern on industrial-scale column sieve trays. Chem. Eng. Res. Des. 2016, 111, 138–146. [Google Scholar] [CrossRef]
- Hampel, U.; Schubert, M.; Döß, A.; Sohr, J.; Vishwakarma, V.; Repke, J.U.; Gerke, S.J.; Leuner, H.; Rädle, M.; Kapoustina, V.; et al. Recent Advances in Experimental Techniques for Flow and Mass Transfer Analyses in Thermal Separation Systems. Chem. Ing. Tech. 2020, 92, 926–948. [Google Scholar] [CrossRef]
- Da Silva, M.J.; Schleicher, E.; Hampel, U. Capacitance wire-mesh sensor for fast measurement of phase fraction distributions. Meas. Sci. Technol. 2007, 18, 2245–2251. [Google Scholar] [CrossRef]
- dos Santos, E.N.; Vendruscolo, T.P.; Morales, R.E.M.; Schleicher, E.; Hampel, U.; Da Silva, M.J. Dual-modality wire-mesh sensor for the visualization of three-phase flows. Meas. Sci. Technol. 2015, 26, 105302. [Google Scholar] [CrossRef]
- Dias, F.D.; dos Santos, E.N.; da Silva, M.J.; Schleicher, E.; Morales, R.E.; Hewakandamby, B.; Hampel, U. New Algorithm to Discriminate Phase Distribution of Gas-Oil-Water Pipe Flow With Dual-Modality Wire-Mesh Sensor. IEEE Access 2020, 8, 125163–125178. [Google Scholar] [CrossRef]
- Tompkins, C.; Prasser, H.M.; Corradini, M. Wire-mesh sensors: A review of methods and uncertainty in multiphase flows relative to other measurement techniques. Nucl. Eng. Des. 2018, 337, 205–220. [Google Scholar] [CrossRef]
- Atkins, P.; de Paula, J. Physical Chemistry, 8th ed.; Oxford University Press: Oxford, UK, 2006. [Google Scholar]
- Hamann, C.H.; Vielstich, W. Elektrochemie, 4th ed.; Wiley-VCH: Weinheim, Germany, 2005. [Google Scholar]
- McCleskey, R.B. New Method for Electrical Conductivity Temperature Compensation. Environ. Sci. Technol. 2013, 47, 9874–9881. [Google Scholar] [CrossRef]
- Wagner, H. Einfluss der Temperatur auf die elektrische Leitfähigkeit verdünnter, wässriger Lösungen. VGB PowerTech J. 2012, 92, 82–89. [Google Scholar]
- Wiedemann, P.; Döß, A.; Schleicher, E.; Hampel, U. Fuzzy flow pattern identification in horizontal air-water two-phase flow based on wire-mesh sensor data. Int. J. Multiph. Flow 2019, 117, 153–162. [Google Scholar] [CrossRef]
- Kipping, R.; Brito, R.; Schleicher, E.; Hampel, U. Developments for the application of the Wire-Mesh Sensor in industries. Int. J. Multiph. Flow 2016, 85, 86–95. [Google Scholar] [CrossRef]
- Manera, A. Experimental and Analytical Investigations on Flashing-Induced Instabilities in Natural Circulation Two-Phase Systems. Ph.D. Thesis, Delft University of Technology, Delft, Netherlands, 2003. [Google Scholar]
- Manera, A.; Prasser, H.M.; Lucas, D.; van der Hagen, T.H.J.J. Three-dimensional flow pattern visualization and bubble size distributions in stationary and transient upward flashing flow. Int. J. Multiph. Flow 2006, 32, 996–1016. [Google Scholar] [CrossRef]
- Prasser, H.M.; Häfeli, R. Signal response of wire-mesh sensors to an idealized bubbly flow. Nucl. Eng. Des. 2018, 336, 3–14. [Google Scholar] [CrossRef]
- Sahovic, B.; Atmani, H.; Wiedemann, P.; Schleicher, E.; Legendre, D.; Climent, E.; Zamanski, R.; Pedrono, A.; Hampel, U. A study on the relationship between upstream and downstream conditions in swirling two-phase flow. Flow Meas. Instrum. 2020, 74, 101767. [Google Scholar] [CrossRef]
- Beyer, M.; Szalinski, L.; Schleicher, E.; Schunk, C. Wire-Mesh Sensor Data Processing Software—User Manual and Software Description; Version 1.3 pre; HZDR Innovation GmbH: Dresden, Germany, 2018; Available online: http://mpmt.de/de/downloads/wire-mesh-sensor-data-processing-software/view (accessed on 19 October 2020).
- Sorensen, J.A.; Glass, G.E. Ion and Temperature Dependence of Electrical Conductance for Natural Waters. Anal. Chem. 1987, 59, 1594–1597. [Google Scholar] [CrossRef]
- Deutsches Institut für Normung. Water quality; Determination of Electrical Conductivity (ISO 7888: 1985); German Version EN 27 888:1993; Beuth Verlag: Berlin, Germany, 1993. [Google Scholar]
- Anderko, A.; Lencka, M.M. Computation of Electrical Conductivity of Multicomponent Aqueous Systems in Wide Concentration and Temperature Ranges. Ind. Eng. Chem. Res. 1997, 36, 1932–1943. [Google Scholar] [CrossRef]
- Wagner, W.; Kretzschmar, H.J. International Steam Tables—Properties of Water and Steam Based on the Industrial Formulation IAPWS-IF97, 2nd ed.; Springer: Berlin, Germany, 2008. [Google Scholar] [CrossRef]
- Bandura, A.V.; Lvov, S.N. The Ionization Constant of Water over Wide Ranges of Temperature and Density. J. Phys. Chem. Ref. Data 2006, 35, 15–30. [Google Scholar] [CrossRef]
- Carroll, J.J.; Slupsky, J.D.; Mather, A.E. The Solubility of Carbon Dioxide in Water at Low Pressure. J. Phys. Chem. Ref. Data 1991, 20, 1201–1209. [Google Scholar] [CrossRef]
- Fraenkel, D. An improved theory of the electric conductance of ionic solutions based on the concept of the ion-atmosphere’s smaller-ion shell. Phys. Chem. Chem. Phys. 2018, 20, 29896–29909. [Google Scholar] [CrossRef] [PubMed]







| Experiment | All Pixels | Sensor Average | ||
|---|---|---|---|---|
| max. | min. | mean | ||
| Deionized water | 0.9999 | 0.9753 | 0.9985 | 0.9999 |
| Water mixture | 0.9999 | 0.9725 | 0.9984 | 0.9998 |
| Model | Deionized Water | Water Mixture | Both | |||
|---|---|---|---|---|---|---|
| mean | max. | mean | max. | mean | max. | |
| ISO 7888 | % | % | % | % | % | % |
| McCleskey | % | % | % | % | % | % |
| DHO | % | % | % | % | % | % |
| % | % | % | % | % | % | |
| Flow Pattern | Mean Gas Volume Fraction | Relative Deviation | |||||||
|---|---|---|---|---|---|---|---|---|---|
| +10 K | +5 K | 0 K | −5 K | −10 K | +10 K | +5 K | −5 K | −10 K | |
| Plug (50) | 0.278 | 0.206 | 0.125 | 0.119 | 0.116 | % | % | % | % |
| Stratified (102) | 0.783 | 0.762 | 0.738 | 0.731 | 0.726 | % | % | % | % |
| Slug (106) | 0.747 | 0.722 | 0.694 | 0.673 | 0.655 | % | % | % | % |
Publisher’s Note: MDPI stays neutral with regard to jurisdictional claims in published maps and institutional affiliations. |
© 2020 by the authors. Licensee MDPI, Basel, Switzerland. This article is an open access article distributed under the terms and conditions of the Creative Commons Attribution (CC BY) license (http://creativecommons.org/licenses/by/4.0/).
Share and Cite
Wiedemann, P.; Dias, F.d.A.; Schleicher, E.; Hampel, U. Temperature Compensation for Conductivity-Based Phase Fraction Measurements with Wire-Mesh Sensors in Gas-Liquid Flows of Dilute Aqueous Solutions. Sensors 2020, 20, 7114. https://doi.org/10.3390/s20247114
Wiedemann P, Dias FdA, Schleicher E, Hampel U. Temperature Compensation for Conductivity-Based Phase Fraction Measurements with Wire-Mesh Sensors in Gas-Liquid Flows of Dilute Aqueous Solutions. Sensors. 2020; 20(24):7114. https://doi.org/10.3390/s20247114
Chicago/Turabian StyleWiedemann, Philipp, Felipe de Assis Dias, Eckhard Schleicher, and Uwe Hampel. 2020. "Temperature Compensation for Conductivity-Based Phase Fraction Measurements with Wire-Mesh Sensors in Gas-Liquid Flows of Dilute Aqueous Solutions" Sensors 20, no. 24: 7114. https://doi.org/10.3390/s20247114
APA StyleWiedemann, P., Dias, F. d. A., Schleicher, E., & Hampel, U. (2020). Temperature Compensation for Conductivity-Based Phase Fraction Measurements with Wire-Mesh Sensors in Gas-Liquid Flows of Dilute Aqueous Solutions. Sensors, 20(24), 7114. https://doi.org/10.3390/s20247114

