Device-to-Device Aided Cooperative Relaying Scheme Exploiting Spatial Modulation: An Interference Free Strategy †
Abstract
1. Introduction
1.1. Technological Background
1.2. Related Works
1.3. Contributions
- A novel D2D aided two-phase CRS exploiting SM-MIMO (termed D2D-CRS-SM) is proposed, where interference cancellation and management techniques are not required at any of the communication nodes. Two different scenarios are investigated considering information reception criteria at NU during .
- The proposed protocol demonstrates how interference free information reception is possible at multiple cellulars and D2D users in the same frequency band considering downlink transmission scenario. Moreover, unlike other popular method such as NOMA, no fixed portion of transmitted power is required to be allocated for a user.
- In conventional SM [12], both symbol and antenna indices of a transmitter are the desired information of a single receiver. However, in D2D-CRS-SM, symbol and antenna indices are the desired information of two different receivers; the protocol, thus, facilitates multi-user communication.
- The performance of D2D-CRS-SM is analyzed and investigated, in terms of bit error rate (BER), spectral efficiency (SE), and sum SE considering M-PSK and M-QAM over independent Rayleigh fading channels. Moreover, comparative results with Vertical-Bell Laboratories layered space-time (VBLAST) spatial multiplexing MIMO technique [49] with zero-forcing (ZF) detector [50] (termed VBLAST-ZF) is also provided.
- The efficiency of D2D-CRS-SM is validated via Monte Carlo simulation. It is observed that sum SE in both scenarios is almost identical for similar set of parameters.
1.4. Organization
2. System and Channel Models
2.1. Phase-1 (): BS→ (D, NU) Data Transmission
2.2. Phase-2 (): D → (D, FU) Data Transmission
| Algorithm 1 D2D-CRS-SM (A, , A, ) |
|
3. Performance Analysis
3.1. Bit-Error-Rate Computation
- NU is only concerned about the correct estimate of antenna index and modulation symbol during in S and S, respectively. So the overall error probability of NU is only affected by the erroneous estimation of antenna index and modulation symbol in S and S, respectively.
- The desired information of FU is the opposite of NU in , whereas the desired information of FU in is the transmitted modulation symbol by D irrespective of S and S. Therefore, the overall error probability of FU as shown in (5) and (6) is only affected by erroneous estimation of modulation symbol and antenna index in S and S, respectively during as well as erroneous estimation of modulation symbol during .
- Lastly, the overall error probability of D2D user D is only affected by the erroneous estimation of antenna index in only.
3.2. Spectral Efficiency Computation
3.2.1. Spectral Efficiency of FU
3.2.2. Spectral Efficiency of NU
3.2.3. Spectral Efficiency of D2D Link D → D
3.2.4. Sum Spectral Efficiency of the Proposed D2D-CRS-SM
4. Numerical Results and Discussions
4.1. Bit-Error-Rate
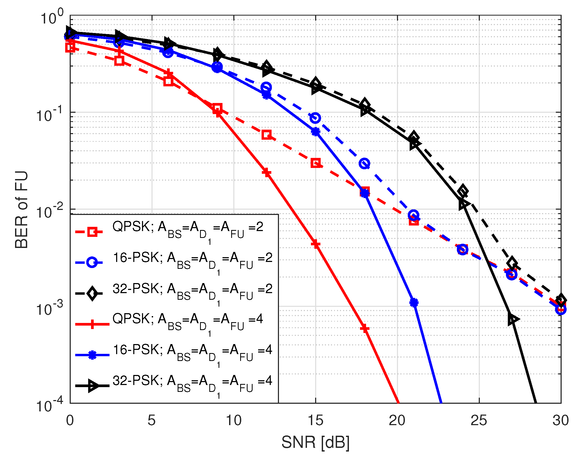
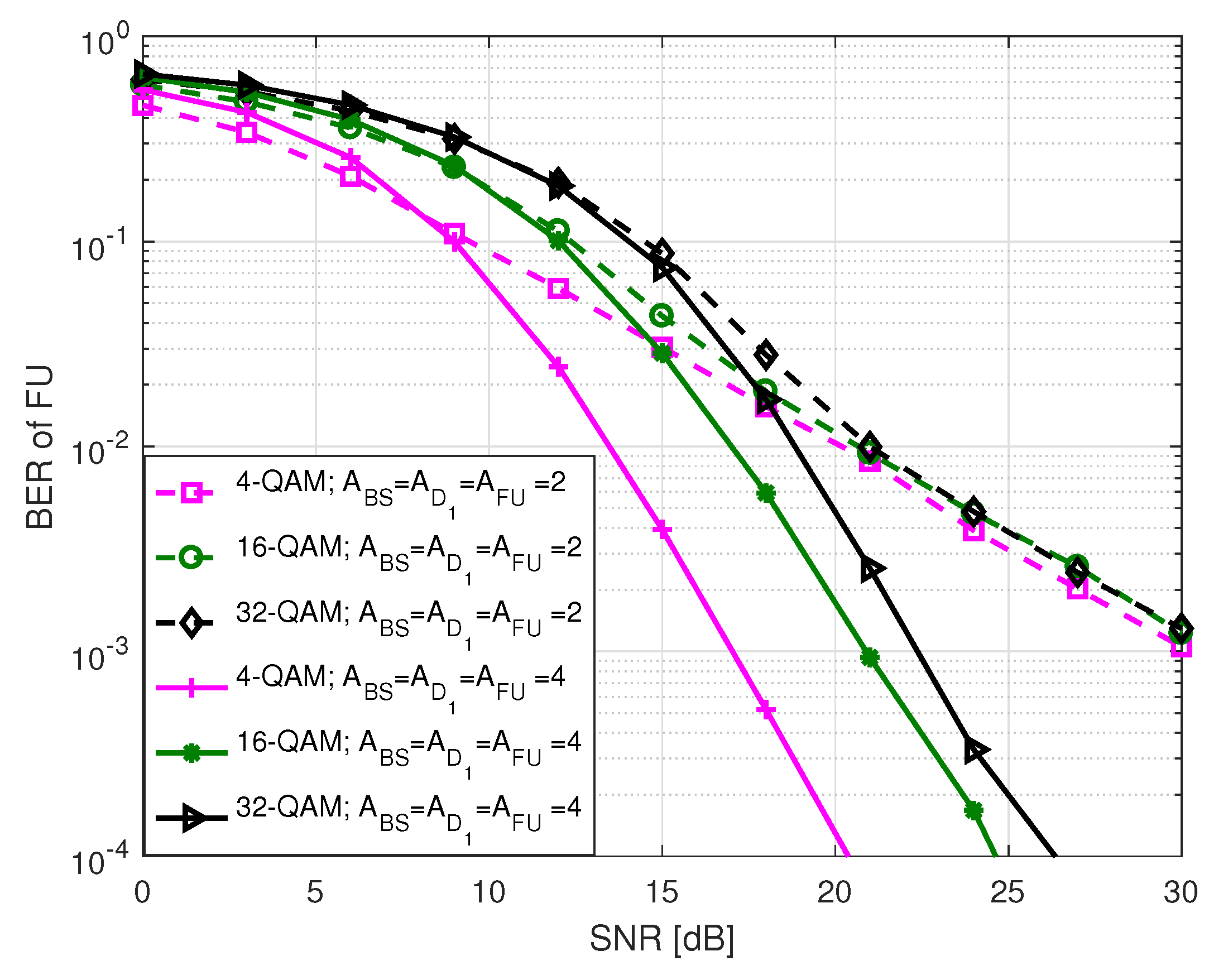
4.1.1. Bit-Error-Rate in S
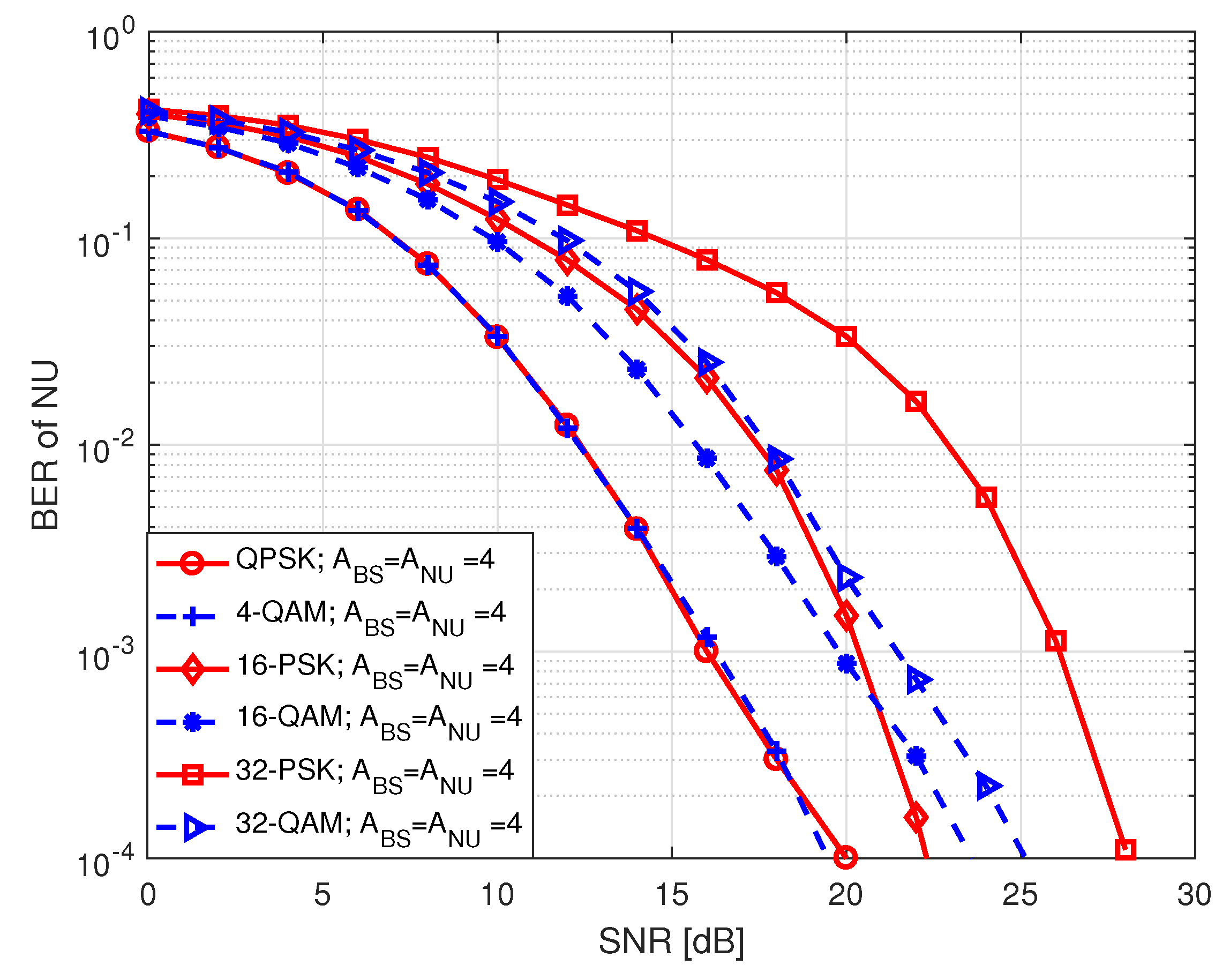
4.1.2. Bit-Error-Rate in S
4.2. Spectral Efficiency
4.2.1. Spectral Efficiency in S
4.2.2. Spectral Efficiency in S
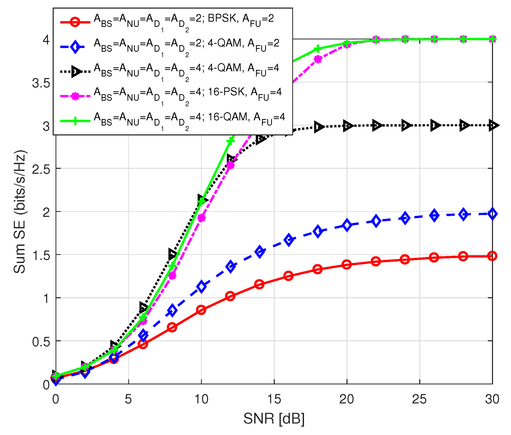
4.2.3. Sum Spectral Efficiency
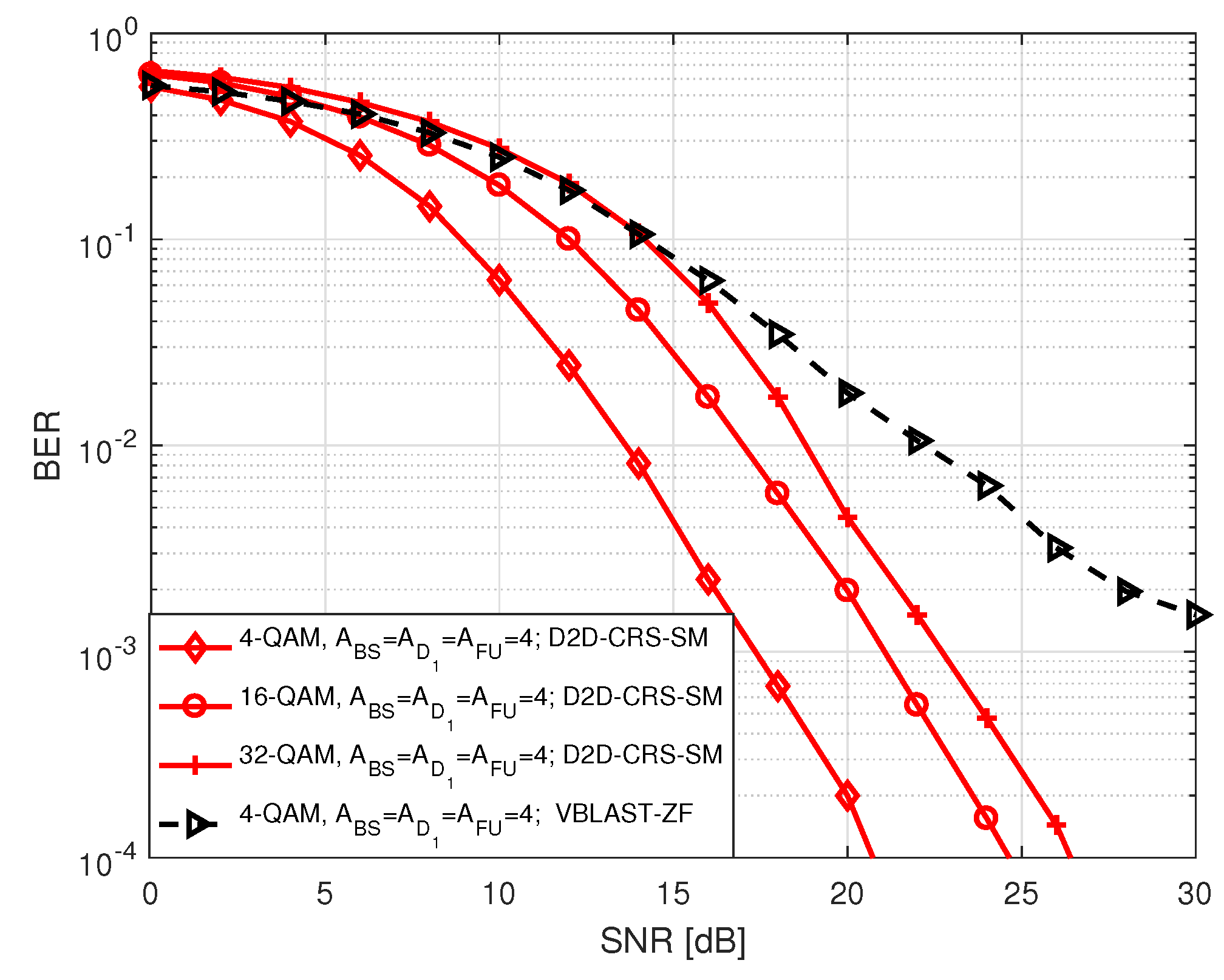
4.3. Comparison between the Proposed D2D-CRS-SM and VBLAST MIMO with ZF Detection
5. Conclusions and Future Works
5.1. Conclusions
5.2. Future Recommendations
- There should be both technical and policy requirements agreement among different service providers. For example, in the proposed technique, the cellular users and D2D users should be in consensus for their mutual benefits.
- Whereas a simulation environment can assume perfect synchronization among the antennas or users and perfect channel estimation, the real environment introduces various challenging tasks.
- During software simulation, it is considered that software algorithm can be realized perfectly by hardware design. However, algorithm design is often bounded by the hardware condition in real environment [56].
- With the current 3rd generation partnership project (3GPP) cellular standards, different approaches need to be complied.
Author Contributions
Funding
Acknowledgments
Conflicts of Interest
Appendix A. Analytical Symbol-Error-Rate Formulation
Appendix A.1. Analytical Symbol-Error-Rate of FU in S1
Appendix A.2. Analytical Symbol-Error-Rate of NU in S2
References
- D’Andreagiovanni, F.; Mannino, C.; Sassano, A. GUB covers and power-indexed formulations for wireless network design. Manag. Sci. 2013, 59, 142–156. [Google Scholar] [CrossRef]
- Capone, A.; Chen, L.; Gualandi, S.; Yuan, D. A new computational approach for maximum link activation in wireless networks under the SINR model. IEEE Trans. Wirel. Commun. 2011, 10, 1368–1372. [Google Scholar] [CrossRef]
- Wong, V.W.S.; Schober, R.; Ng, D.W.K.; Wang, L.C. Key Technologies for 5G Wireless Systems; Cambridge University Press: Cambridge, UK, 2017. [Google Scholar] [CrossRef]
- Kim, H. Design and Optimization for 5G Wireless Communications; John Wiley & Sons: West Sussex, UK, 2020. [Google Scholar] [CrossRef]
- Chin, W.H.; Fan, Z.; Haines, R. Emerging technologies and research challenges for 5G wireless networks. IEEE Wirel. Commun. 2014, 21, 106–112. [Google Scholar] [CrossRef]
- Al-Falahy, N.; Alani, O.Y. Technologies for 5G networks: Challenges and opportunities. IT Prof. 2017, 19, 12–20. [Google Scholar] [CrossRef]
- Liu, K.J.R.; Sadek, A.K.; Su, W.; Kwasinski, A. Relay channels and protocols. In Cooperative Communications and Networking; Cambridge University Press: Cambridge, UK, 2008; pp. 119–151. [Google Scholar] [CrossRef]
- Jameel, F.; Wyne, S.; Kaddoum, G.; Duong, T.Q. A comprehensive survey on cooperative relaying and jamming strategies for physical layer security. IEEE Commun. Surv. Tutor. 2019, 21, 2734–2771. [Google Scholar] [CrossRef]
- Kader, M.F.; Shin, S.Y. Cooperative relaying using space-time block coded non-orthogonal multiple access. IEEE Trans. Veh. Technol. 2017, 66, 5894–5903. [Google Scholar] [CrossRef]
- Bletsas, A.; Khisti, A.; Reed, D.P.; Lippman, A. A simple cooperative diversity method based on network path selection. IEEE J. Sel. Areas Commun. 2006, 24, 659–672. [Google Scholar] [CrossRef]
- Li, Q.; Hu, R.Q.; Qian, Y.; Wu, G. Cooperative communications for wireless networks: Techniques and applications in LTE-advanced systems. IEEE Wirel. Commun. 2012, 19, 22–29. [Google Scholar] [CrossRef]
- Mesleh, R.Y.; Haas, H.; Sinanovic, S.; Ahn, C.W.; Yun, S. Spatial modulation. IEEE Trans. Veh. Technol. 2008, 57, 2228–2241. [Google Scholar] [CrossRef]
- Basar, E.; Wen, M.; Mesleh, R.; Di Renzo, M.; Xiao, Y.; Haas, H. Index modulation techniques for next-generation wireless networks. IEEE Access 2017, 5, 16693–16746. [Google Scholar] [CrossRef]
- Hussein, H.S.; Elsayed, M.; Mohamed, U.S.; Esmaiel, H.; Mohamed, E.M. Spectral efficient spatial modulation techniques. IEEE Access 2019, 7, 1454–1469. [Google Scholar] [CrossRef]
- Yang, P.; Xiao, Y.; Xiao, M.; Guan, Y.L.; Li, S.; Xiang, W. Adaptive spatial modulation MIMO based on machine learning. IEEE J. Sel. Areas Commun. 2019, 37, 2117–2131. [Google Scholar] [CrossRef]
- Wen, M.; Zheng, B.; Kim, K.J.; Di Renzo, M.; Tsiftsis, T.A.; Chen, K.; Al-Dhahir, N. A Survey on spatial modulation in emerging wireless systems: Research progresses and applications. IEEE J. Sel. Areas Commun. 2019, 37, 1949–1972. [Google Scholar] [CrossRef]
- Phan-Huy, D.; Kokar, Y.; Rachedi, K.; Pajusco, P.; Mokh, A.; Magounaki, T.; Masood, R.; Buey, C.; Ratajczak, P.; Malhouroux-Gaffet, N.; et al. Single-carrier spatial modulation for the internet of things: Design and performance evaluation by using real compact and reconfigurable antennas. IEEE Access 2019, 7, 18978–18993. [Google Scholar] [CrossRef]
- Gao, J.; Qiu, B.; Zhou, J. Spatial modulation and MP-WFRFT-aided multi-beam wireless communication scheme based on random frequency diverse array. Sensors 2020, 20, 5289. [Google Scholar] [CrossRef] [PubMed]
- Telatar, E. Capacity of multi-antenna Gaussian channels. Eur. Technol. Telecommun. 1999, 10, 585–595. [Google Scholar] [CrossRef]
- Da-Shan, S.; Foschini, G.J.; Gans, M.J.; Kahn, J.M. Fading correlation and its effect on the capacity of multielement antenna systems. IEEE Trans. Commun. 2000, 48, 502–513. [Google Scholar] [CrossRef]
- Loyka, S.; Tsoulos, G. Estimating MIMO system performance using the correlation matrix approach. IEEE Commun. Lett. 2002, 6, 19–21. [Google Scholar] [CrossRef]
- Chiani, M.; Win, M.Z.; Zanella, A. On the capacity of spatially correlated MIMO Rayleigh-fading channels. IEEE Trans. Inf. Theory 2003, 49, 2363–2371. [Google Scholar] [CrossRef]
- Nguyen, T.K.; Nguyen, H.H.; Nguyen, T.H. Multiuser massive MIMO systems with time-offset pilots and successive interference cancellation. IEEE Access 2019, 7, 132748–132762. [Google Scholar] [CrossRef]
- Tehrani, M.N.; Uysal, M.; Yanikomeroglu, H. Device-to-device communication in 5G cellular networks: Challenges, solutions, and future directions. IEEE Commun. Mag. 2014, 52, 86–92. [Google Scholar] [CrossRef]
- Uddin, M.B.; Kader, M.F.; Shin, S.Y. Exploiting NOMA in D2D assisted full-duplex cooperative relaying. Phys. Commun. 2020, 38, 1–10. [Google Scholar] [CrossRef]
- Fodor, G.; Dahlman, E.; Mildh, G.; Parkvall, S.; Reider, N.; Miklós, G.; Turányi, Z. Design aspects of network assisted device-to-device communications. IEEE Commun. Mag. 2012, 50, 170–177. [Google Scholar] [CrossRef]
- Iqbal, J.; Iqbal, M.A.; Ahmad, A.; Khan, M.; Qamar, A.; Han, K. Comparison of spectral efficiency techniques in device-to-device communication for 5G. IEEE Access 2019, 7, 57440–57449. [Google Scholar] [CrossRef]
- Zhou, L.; Wu, Y.; Yu, H. A two-layer, energy-efficient approach for joint power control and uplink–downlink channel allocation in D2D Communication. Sensors 2020, 20, 3285. [Google Scholar] [CrossRef] [PubMed]
- Chan, Y.W.; Chien, F.T.; Yang, C.T. Mode selection and spectrum allocation in coexisting D2D and cellular networks with cooperative precoding. Sensors 2019, 19, 5417. [Google Scholar] [CrossRef]
- Noura, M.; Nordin, R. A survey on interference management for device-to-device (D2D) communication and its challenges in 5G networks. J. Netw. Comput. Appl. 2016, 71, 130–150. [Google Scholar] [CrossRef]
- Adnan, M.H.; Ahmad Zukarnain, Z. Device-to-device communication in 5G environment: Issues, solutions, and challenges. Symmetry 2020, 12, 1762. [Google Scholar] [CrossRef]
- Wu, X.; Haas, H.; Grant, P.M. Cooperative spatial modulation for cellular networks. IEEE Trans. Commun. 2018, 66, 3683–3693. [Google Scholar] [CrossRef]
- Yu, X.; Pan, Q.; Leung, S.; Wang, C. Power allocation and performance analysis of cooperative spatial modulation in wireless relay networks. IEEE Access 2018, 6, 12145–12155. [Google Scholar] [CrossRef]
- Yu, X.; Li, Q.; Pan, Q.; Hu, Y.; Du, Y. Performance analysis for spatial modulation with AF relaying over spatially correlated Rayleigh channels. IEEE Access 2019, 7, 115926–115935. [Google Scholar] [CrossRef]
- Bai, Z.; Zhang, N.; Yang, Y.; Pang, K.; Zhang, H.; Han, T. A joint bit-to-symbol mapping scheme in cooperative spatial modulation system. IEEE Access 2019, 7, 38245–38254. [Google Scholar] [CrossRef]
- Altın, G.; Aygolu, U.; Basar, E.; Celebi, M.E. Multiple-input–multiple-output cooperative spatial modulation systems. IET Commun. 2017, 11, 2289–2296. [Google Scholar] [CrossRef]
- Ustunbas, S.; Basar, E.; Aygolu, U. Cooperative spectrum sharing protocol using spatial modulation. IET Commun. 2017, 11, 1759–1767. [Google Scholar] [CrossRef]
- Kader, M.F.; Irfan, M.; Shin, S.Y.; Chae, S. Cooperative spectrum sharing in cognitive radio networks: An interference free approach. Phys. Commun. 2017, 25, 66–74. [Google Scholar] [CrossRef]
- Chavan, A.; Dhanasekaran, S. Performance analysis of cell-center users in SM-based cooperative spectrum sharing systems. IEEE Wirel. Commun. Lett. 2020, 9, 198–201. [Google Scholar] [CrossRef]
- Hu, Y.; Yu, X.; Li, Q.; Liu, T. Secrecy performance of AF assisted cooperative spatial modulation system with destination-based-jamming. In Proceedings of the 2019 IEEE International Conference on Communications Workshops (ICC Workshops), Shanghai, China, 20–24 May 2019; pp. 1–6. [Google Scholar] [CrossRef]
- Wang, X.; Li, N.; Li, M.; Tao, X. A physical layer spoofing attack in spatial modulation. In Proceedings of the 2019 IEEE Globecom Workshops (GC Wkshps), Waikoloa, HI, USA, 9–13 December 2019; pp. 1–5. [Google Scholar] [CrossRef]
- Qu, W.; Cheng, X.; Zhang, M.; Chen, C. Spatial-modulation based wireless information and power transfer with full duplex relaying. In Proceedings of the 2018 IEEE International Conference on Communications (ICC), Kansas City, MO, USA, 20–24 May 2018; pp. 1–6. [Google Scholar] [CrossRef]
- Zhang, M.; Cheng, X. Spatial-modulation-based wireless-powered communication for achievable rate enhancement. IEEE Commun. Lett. 2017, 21, 1365–1368. [Google Scholar] [CrossRef]
- Malik, P.K.; Wadhwa, D.S.; Khinda, J.S. A survey of device to device and cooperative communication for the future cellular networks. Int. J. Wirel. Inf. Netw. 2020, 27, 411–432. [Google Scholar] [CrossRef]
- Kim, J.; Lee, I.; Lee, J. Capacity scaling for D2D aided cooperative relaying systems using NOMA. IEEE Wirel. Commun. Lett. 2018, 7, 42–45. [Google Scholar] [CrossRef]
- Li, Y.; Cai, L. Cooperative device-to-device communication for uplink transmission in cellular system. IEEE Trans. Wirel. Commun. 2018, 17, 3903–3917. [Google Scholar] [CrossRef]
- Lee, J.; Lee, J.H. Performance analysis and resource allocation for cooperative D2D communication in cellular networks with multiple D2D pairs. IEEE Commun. Lett. 2019, 23, 909–912. [Google Scholar] [CrossRef]
- Meng, Y.; Jiang, C.; Chen, H.; Ren, Y. Cooperative device-to-device communications: Social networking perspectives. IEEE Netw. 2017, 31, 38–44. [Google Scholar] [CrossRef]
- Wolniansky, P.W.; Foschini, G.J.; Golden, G.D.; Valenzuela, R.A. V-BLAST: An architecture for realizing very high data rates over the rich-scattering wireless channel. In Proceedings of the 1998 URSI International Symposium on Signals, Systems, and Electronics, Conference Proceedings (Cat. No.98EX167), Pisa, Italy, 2 October 1998; pp. 295–300. [Google Scholar] [CrossRef]
- Trotobas, B.; Nafkha, A.; Louët, Y. A.; Louët, Y. A review to massive MIMO detection algorithms: Theory and implementation. In Advanced Radio Frequency Antennas for Modern Communication and Medical Systems; IntechOpen: London, UK, 2020. [Google Scholar] [CrossRef]
- Kamal, M.S.; Kader, M.F. Interference free device-to-device aided cooperative relaying scheme. In Proceedings of the 2020 IEEE Region 10 Symposium (TENSYMP), Dhaka, Bangladesh, 5–7 June 2020; pp. 158–161. [Google Scholar] [CrossRef]
- Kader, M.F.; Shin, S.Y.; Leung, V.C.M. Full-duplex non-orthogonal multiple access in cooperative relay sharing for 5G systems. IEEE Trans. Veh. Technol. 2018, 67, 5831–5840. [Google Scholar] [CrossRef]
- Kader, M.F.; Uddin, M.B.; Islam, S.M.R.; Shin, S.Y. Capacity and outage analysis of a dual-hop decode-and-forward relay-aided NOMA scheme. Digit. Signal Process. 2019, 88, 138–148. [Google Scholar] [CrossRef]
- Prisecaru, F.A.; Hass, H. Mutual Information and Capacity of Spatial Modulation Systems; Jacobs University: Bremen, Germany, 2007. [Google Scholar]
- Di Renzo, M.; Haas, H.; Ghrayeb, A.; Sugiura, S.; Hanzo, L. Spatial modulation for generalized MIMO: Challenges, opportunities, and implementation. Proc. IEEE 2014, 102, 56–103. [Google Scholar] [CrossRef]
- Yang, Y.; Xu, J.; Shi, G.; Wang, C.X. Candidate technologies and evaluation challenges for 5G. In 5G Wireless Systems; Springer: New York, NY, USA, 2018; pp. 1–19. [Google Scholar] [CrossRef]
- Alouini, M.S.; Goldsmith, A.J. A unified approach for calculating error rates of linearly modulated signals over generalized fading channels. IEEE Trans. Commun. 1999, 47, 1324–1334. [Google Scholar] [CrossRef]






















| A = 2 and = 16 | A = 4 and = 8 | |||
|---|---|---|---|---|
| Input Bits, | Antenna | Transmit | Antenna | Transmit |
| Index/Number | Symbol | Index/Number | Symbol | |
| 00000 | 0 | 0000 | 00 (0) | 000 |
| 00001 | 0 | 0001 | 00 (0) | 001 |
| 00010 | 0 | 0010 | 00 (0) | 010 |
| 00011 | 0 | 0011 | 00 (0) | 011 |
| 00100 | 0 | 0100 | 00 (0) | 100 |
| 00101 | 0 | 0101 | 00 (0) | 101 |
| 00110 | 0 | 0110 | 00 (0) | 110 |
| 00111 | 0 | 0111 | 00 (0) | 111 |
| 01000 | 0 | 1000 | 01 (1) | 000 |
| 01001 | 0 | 1001 | 01 (1) | 001 |
| 01010 | 0 | 1010 | 01 (1) | 010 |
| 01011 | 0 | 1011 | 01 (1) | 011 |
| 01100 | 0 | 1100 | 01 (1) | 100 |
| 01101 | 0 | 1101 | 01 (1) | 101 |
| 01110 | 0 | 1110 | 01 (1) | 110 |
| 01111 | 0 | 1111 | 01 (1) | 111 |
| 10000 | 1 | 0000 | 10 (2) | 000 |
| 10001 | 1 | 0001 | 10 (2) | 001 |
| 10010 | 1 | 0010 | 10 (2) | 010 |
| 10011 | 1 | 0011 | 10 (2) | 011 |
| 10100 | 1 | 0100 | 10 (2) | 100 |
| 10101 | 1 | 0101 | 10 (2) | 101 |
| 10110 | 1 | 0110 | 10 (2) | 110 |
| 10111 | 1 | 0111 | 10 (2) | 111 |
| 11000 | 1 | 1000 | 11 (3) | 000 |
| 11001 | 1 | 1001 | 11 (3) | 001 |
| 11010 | 1 | 1010 | 11 (3) | 010 |
| 11011 | 1 | 1011 | 11 (3) | 011 |
| 11100 | 1 | 1100 | 11 (3) | 100 |
| 11101 | 1 | 1101 | 11 (3) | 101 |
| 11110 | 1 | 1110 | 11 (3) | 110 |
| 11111 | 1 | 1111 | 11 (3) | 111 |
| A = 8 and = 1 | A = 4 and = 2 | |||
|---|---|---|---|---|
| Input Bits, | Antenna | Transmit | Antenna | Transmit |
| Index/Number | Symbol | Index/Number | Symbol | |
| 0000 | 000 (0) | 0 | 00 (0) | 00 |
| 0001 | 000 (0) | 1 | 00 (0) | 01 |
| 0010 | 001 (1) | 0 | 00 (0) | 10 |
| 0011 | 001 (1) | 1 | 00 (0) | 11 |
| 0100 | 010 (2) | 0 | 01 (1) | 00 |
| 0101 | 010 (2) | 1 | 01 (1) | 01 |
| 0110 | 011 (3) | 0 | 01 (1) | 10 |
| 0111 | 011 (3) | 1 | 01 (1) | 11 |
| 1000 | 100 (4) | 0 | 10 (2) | 00 |
| 1001 | 100 (4) | 1 | 10 (2) | 01 |
| 1010 | 101 (5) | 0 | 10 (2) | 10 |
| 1011 | 101 (5) | 1 | 10 (2) | 11 |
| 1100 | 110 (6) | 0 | 11 (3) | 00 |
| 1101 | 110 (6) | 1 | 11 (3) | 01 |
| 1110 | 111 (7) | 0 | 11 (3) | 10 |
| 1111 | 111 (7) | 1 | 11 (3) | 11 |
| SL# | NU [S] | FU [S] | D→D [S& S] | NU [S] | FU [S] |
|---|---|---|---|---|---|
| 1 | A = 2, A = 2 | = = 4, A = 2, A = 2, A = 2 | A = 2, A = 2 | = 4, A = 2, A = 2 | = 2, A = 2, A = 2, A = 2 |
| 2 | A = 2, A = 3 | = = 16, A = 2, A = 2, A = 2 | A = 2, A = 3 | = 16, A = 2, A = 2 | = 2, A = 2, A = 2, A = 3 |
| 3 | A = 2, A = 4 | = = 32, A = 2, A = 2, A = 2 | A = 2, A = 4 | = 32, A = 2, A = 2 | = 2, A = 2, A = 2, A = 4 |
| 4 | A = 4, A = 2 | = = 4, A = 4, A = 4, A = 4 | A = 4, A = 2 | = 4, A = 4, A = 4 | = 4, A = 4, A = 4, A = 2 |
| 5 | A = 4, A = 3 | = = 16, A = 4, A = 4, A = 4 | A = 4, A = 3 | = 16, A = 4, A = 4 | = 4, A = 4, A = 4, A = 3 |
| 6 | A = 4, A = 4 | = = 32, A = 4, A = 4, A = 4 | A = 4, A = 4 | = 32, A = 4, A = 4 | = 4, A = 4, A = 4, A = 4 |
| Scenario | Antenna Configuration | D2D-CRS-SM | VBLAST-ZF |
|---|---|---|---|
| S | A = 4, A = 4, A = 4, A = 4, A = 4 | Modulation order 4/16/32/64 -QAM: 3/4/4.5/5 bits/s/Hz | Modulation order 4-QAM: 6 bits/s/Hz |
| S | A = 4, A = 4, A = 4, A = 4, A = 4 | Modulation order 4/16/32/64 -QAM at BS: 3/4/4.5/5 bits/s/Hz | Modulation order 4-QAM: 6 bits/s/Hz |
Publisher’s Note: MDPI stays neutral with regard to jurisdictional claims in published maps and institutional affiliations. |
© 2020 by the authors. Licensee MDPI, Basel, Switzerland. This article is an open access article distributed under the terms and conditions of the Creative Commons Attribution (CC BY) license (http://creativecommons.org/licenses/by/4.0/).
Share and Cite
Kamal, M.S.; Kader, M.F.; Islam, S.M.R.; Yu, H. Device-to-Device Aided Cooperative Relaying Scheme Exploiting Spatial Modulation: An Interference Free Strategy. Sensors 2020, 20, 7048. https://doi.org/10.3390/s20247048
Kamal MS, Kader MF, Islam SMR, Yu H. Device-to-Device Aided Cooperative Relaying Scheme Exploiting Spatial Modulation: An Interference Free Strategy. Sensors. 2020; 20(24):7048. https://doi.org/10.3390/s20247048
Chicago/Turabian StyleKamal, Md. Shahriar, Md. Fazlul Kader, S. M. Riazul Islam, and Heejung Yu. 2020. "Device-to-Device Aided Cooperative Relaying Scheme Exploiting Spatial Modulation: An Interference Free Strategy" Sensors 20, no. 24: 7048. https://doi.org/10.3390/s20247048
APA StyleKamal, M. S., Kader, M. F., Islam, S. M. R., & Yu, H. (2020). Device-to-Device Aided Cooperative Relaying Scheme Exploiting Spatial Modulation: An Interference Free Strategy. Sensors, 20(24), 7048. https://doi.org/10.3390/s20247048
