Outage Probability and Ergodic Capacity of a Two-User NOMA Relaying System with an Energy Harvesting Full-Duplex Relay and Its Interference at the Near User
Abstract
1. Introduction
- We analyze the performance of a NOMA system where an FD relay assists the communication between the base station and the far user while the near user can communicate with the base station directly. The relay uses the EH technique to harvest the energy of the base station’s signals by using a power splitting protocol. For the practical purpose, the interference from the relay to the near user is taken into consideration.
- We derive the exact analytical expressions of the outage probabilities and ergodic capacities at two destination users in the system under Rayleigh fading channels. We also conduct Monte–Carlo simulations to verify the correctness of the derived mathematical expressions.
- We provide more insights into the effect of the strength of the inter-user interference parameter at the relay and the self-interference cancellation coefficient on the outage probabilities and ergodic capacities at users. Moreover, the optimal value of the power division ratio can be determined by using our theoretical results to achieve the best performance of the considered EH-FD-NOMA relay system.
2. System Model
3. Performance Analysis
3.1. Outage Probability
3.1.1. The Outage Probability at A,
3.1.2. The Outage Probability at B,
3.2. Ergodic Capacity
3.2.1. Ergodic Capacity of Signal at A,
3.2.2. Ergodic Capacity of Signal at B,
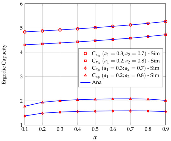
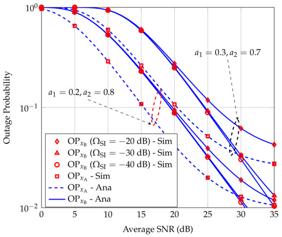
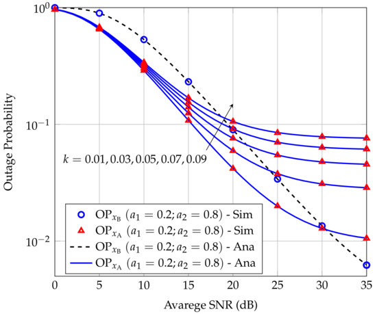
4. Numerical Results
5. Conclusions
Author Contributions
Funding
Conflicts of Interest
Appendix A. Compute I1
Appendix B. Proof of Theorem 2
Appendix C. Proof Theorem 3
Appendix D. Proof of Theorem 4
References
- Osseiran, A.; Boccardi, F.; Braun, V.; Kusume, K.; Marsch, P.; Maternia, M.; Queseth, O.; Schellmann, M.; Schotten, H.; Taoka, H. Scenarios for 5G mobile and wireless communications: The vision of the METIS project. IEEE Commun. Mag. 2014, 52, 26–35. [Google Scholar] [CrossRef]
- Vaezi, M.; Amarasuriya, G.; Liu, Y.; Arafa, A.; Fang, F.; Ding, Z. Interplay Between NOMA and Other Emerging Technologies: A Survey. IEEE Trans. Cogn. Commun. Netw. 2019, 5, 900–919. [Google Scholar] [CrossRef]
- Yang, W.; Zhao, X. Robust resource allocation for orthogonal frequency division multiplexing-based cooperative cognitive radio networks with imperfect channel state information. IET Commun. 2017, 11, 273–281. [Google Scholar] [CrossRef]
- Guo, D.; Wang, C.C. Multiuser detection of sparsely spread CDMA. IEEE J. Sel. Areas Commun. 2008, 26, 421–431. [Google Scholar]
- Hoshyar, R.; Wathan, F.P.; Tafazolli, R. Novel low-density signature for synchronous CDMA systems over AWGN channel. IEEE Trans. Signal Proc. 2008, 56, 1616–1626. [Google Scholar] [CrossRef]
- Hoang, T.M.; Nguyen, B.C.; Tran, X.N. Outage Probability and Ergodic Capacity of User Clustering and Beamforming MIMO-NOMA Relay System with Imperfect CSI Over Nakagami-m Fading Channels. IEEE Syst. J. 2020. [Google Scholar] [CrossRef]
- Ding, Z.; Peng, M.; Poor, H.V. Cooperative non-orthogonal multiple access in 5G systems. IEEE Commun. Lett. 2015, 19, 1462–1465. [Google Scholar] [CrossRef]
- Zhang, D.; Zhou, Z.; Xu, C.; Zhang, Y.; Rodriguez, J.; Sato, T. Capacity analysis of NOMA with mmWave massive MIMO systems. IEEE J. Sel. Areas Commun. 2017, 35, 1606–1618. [Google Scholar] [CrossRef]
- Lv, L.; Yang, L.; Jiang, H.; Luan, T.H.; Chen, J. When NOMA meets multiuser cognitive radio: Opportunistic cooperation and user scheduling. IEEE Trans. Veh. Technol. 2018, 67, 6679–6684. [Google Scholar] [CrossRef]
- Diamantoulakis, P.D.; Pappi, K.N.; Ding, Z.; Karagiannidis, G.K. Wireless-powered communications with non-orthogonal multiple access. IEEE Trans. Wirel. Commun. 2016, 15, 8422–8436. [Google Scholar] [CrossRef]
- Duarte, M.; Dick, C.; Sabharwal, A. Experiment-driven characterization of full-duplex wireless systems. IEEE Trans. Wirel. Commun. 2012, 11, 4296–4307. [Google Scholar] [CrossRef]
- Ding, Z.; Fan, P.; Poor, H.V. On the coexistence between full-duplex and NOMA. IEEE Wirel. Commun. Lett. 2018, 7, 692–695. [Google Scholar] [CrossRef]
- Wang, X.; Jia, M.; Ho, I.W.H.; Guo, Q.; Lau, F.C. Exploiting full-duplex two-way relay cooperative non-orthogonal multiple access. IEEE Trans. Commun. 2018, 67, 2716–2729. [Google Scholar] [CrossRef]
- Cao, Y.; Zhao, N.; Pan, G.; Chen, Y.; Fan, L.; Jin, M.; Alouini, M.S. Secrecy analysis for cooperative NOMA networks with multi-antenna full-duplex relay. IEEE Trans. Commun. 2019, 67, 5574–5587. [Google Scholar] [CrossRef]
- Mohammadi, M.; Chalise, B.K.; Hakimi, A.; Mobini, Z.; Suraweera, H.A.; Ding, Z. Beamforming design and power allocation for full-duplex non-orthogonal multiple access cognitive relaying. IEEE Trans. Commun. 2018, 66, 5952–5965. [Google Scholar] [CrossRef]
- Mohammadi, M.; Shi, X.; Chalise, B.K.; Ding, Z.; Suraweera, H.A.; Zhong, C.; Thompson, J.S. Full-duplex non-orthogonal multiple access for next generation wireless systems. IEEE Commun. Mag. 2019, 57, 110–116. [Google Scholar] [CrossRef]
- Nguyen, V.D.; Duong, T.Q.; Tuan, H.D.; Shin, O.S.; Poor, H.V. Spectral and Energy Efficiencies in Full-Duplex Wireless Information and Power Transfer. IEEE Trans. Commun. 2017, 65, 2220–2233. [Google Scholar] [CrossRef]
- Hoang, T.M.; Nguyen, B.C.; Tran, P.T. Outage Analysis of RF Energy Harvesting Cooperative Communication Systems Over Nakagami-m Fading Channels With Integer and Non-Integer m. IEEE Trans. Veh. Technol. 2020, 69, 2785–2801. [Google Scholar] [CrossRef]
- Zlatanov, N.; Schober, R.; Hadzi-Velkov, Z. Asymptotically Optimal Power Allocation for Energy Harvesting Communication Networks. IEEE Trans. Veh. Technol. 2017, 66, 7286–7301. [Google Scholar] [CrossRef][Green Version]
- Van Son, V.; Duong, D.T.; Hoang, T.M.; Hiep, P.T. Analysing outage probability of linear and non-linear RF energy harvesting of cooperative communication networks. IET Signal Proc. 2020, 14, 541–550. [Google Scholar] [CrossRef]
- Hoang, T.M.; Tran, X.N.; Thanh, N.; Dung, L.T. Performance analysis of MIMO SWIPT relay network with imperfect CSI. Mob. Netw. Appl. 2019, 24, 630–642. [Google Scholar] [CrossRef]
- Nguyen, B.C.; Hoang, T.M.; Tran, P.T.; Nguyen, T.N. Outage probability of NOMA system with wireless power transfer at source and full-duplex relay. AEU-Int. J. Electron. Commun. 2020, 116, 152957. [Google Scholar] [CrossRef]
- Wang, Z.; Yue, X.; Peng, Z. Full-duplex user relaying for NOMA system with self-energy recycling. IEEE Access 2018, 6, 67057–67069. [Google Scholar] [CrossRef]
- Yuan, Y.; Xu, Y.; Yang, Z.; Xu, P.; Ding, Z. Energy efficiency optimization in full-duplex user-aided cooperative SWIPT NOMA systems. IEEE Trans. Commun. 2019, 67, 5753–5767. [Google Scholar] [CrossRef]
- Liu, J.; Xiong, K.; Lu, Y.; Fan, P.; Zhong, Z.; Letaief, K.B. SWIPT-enabled Full-Duplex NOMA Networks with Full and Partial CSI. IEEE Trans. Green Commun. Netw. 2020, 4, 804–818. [Google Scholar] [CrossRef]
- Huang, H.; Zhu, M. Energy Efficiency Maximization Design for Full-Duplex Cooperative NOMA Systems with SWIPT. IEEE Access 2019, 7, 20442–20451. [Google Scholar] [CrossRef]
- Guo, C.; Zhao, L.; Feng, C.; Ding, Z.; Chen, H.H. Energy harvesting enabled NOMA systems with full-duplex relaying. IEEE Trans. Veh. Technol. 2019, 68, 7179–7183. [Google Scholar] [CrossRef]
- Dang, H.P.; Van Nguyen, M.S.; Do, D.T.; Pham, H.L.; Selim, B.; Kaddoum, G. Joint Relay Selection, Full-Duplex and Device-to-Device Transmission in Wireless Powered NOMA Networks. IEEE Access 2020, 8, 82442–82460. [Google Scholar] [CrossRef]
- Le, Q.N.; Bao, V.N.Q.; An, B. Full-duplex distributed switch-and-stay energy harvesting selection relaying networks with imperfect CSI: Design and outage analysis. J. Commun. Netw. 2018, 20, 29–46. [Google Scholar]
- Zhong, C.; Suraweera, H.A.; Zheng, G.; Krikidis, I.; Zhang, Z. Wireless Information and Power Transfer With Full Duplex Relaying. IEEE Trans. Commun. 2014, 62, 3447–3461. [Google Scholar] [CrossRef]
- Tran, H.V.; Kaddoum, G.; Truong, K.T. Resource allocation in SWIPT networks under a nonlinear energy harvesting model: Power efficiency, user fairness, and channel nonreciprocity. IEEE Trans. Veh. Technol. 2018, 67, 8466–8480. [Google Scholar] [CrossRef]
- Wei, Z.; Sun, S.; Zhu, X.; Kim, D.I.; Ng, D.W.K. Resource allocation for wireless-powered full-duplex relaying systems with nonlinear energy harvesting efficiency. IEEE Trans. Veh. Technol. 2019, 68, 12079–12093. [Google Scholar] [CrossRef]
- Riihonen, T.; Werner, S.; Wichman, R. Hybrid Full-Duplex/Half-Duplex Relaying with Transmit Power Adaptation. IEEE Trans. Wirel. Commun. 2011, 10, 3074–3085. [Google Scholar] [CrossRef]
- Osorio, D.M.; Olivo, E.B.; Alves, H.; Santos Filho, J.C.S.; Latva-aho, M. Exploiting the direct link in full-duplex amplify-and-forward relaying networks. IEEE Signal Process. Lett. 2015, 22, 1766–1770. [Google Scholar] [CrossRef]
- Li, X.; Tepedelenlioğlu, C.; Şenol, H. Channel Estimation for Residual Self-Interference in Full-Duplex Amplify-and-Forward Two-Way Relays. IEEE Trans. Wirel. Commun. 2017, 16, 4970–4983. [Google Scholar] [CrossRef]
- Zhong, C.; Zhang, Z. Non-Orthogonal Multiple Access With Cooperative Full-Duplex Relaying. IEEE Commun. Lett. 2016, 20, 2478–2481. [Google Scholar] [CrossRef]
- Gradshteyn, I.S.; Ryzhik, I.M. Table of Integrals, Series, and Products; Academic Press: Cambridge, MA, USA, 2014. [Google Scholar]
- Ye, Y.; Li, Y.; Zhou, F.; Al-Dhahir, N.; Zhang, H. Power splitting-based SWIPT with dual-hop DF relaying in the presence of a direct link. IEEE Syst. J. 2018, 13, 1316–1319. [Google Scholar] [CrossRef]
- De Melo, M.A.B.; da Costa, D.B. An efficient relay–destination selection scheme for multiuser multirelay downlink cooperative networks. IEEE Trans. Veh. Technol. 2012, 61, 2354–2360. [Google Scholar] [CrossRef]
- La Palombara, C.; Tralli, V.; Masini, B.M.; Conti, A. Relay-assisted diversity communications. IEEE Trans. Veh. Technol. 2012, 62, 415–421. [Google Scholar] [CrossRef]
- Bharadia, D.; McMilin, E.; Katti, S. Full duplex radios. In Proceedings of the ACM SIGCOMM 2013 Conference on SIGCOMM, Hong Kong, China, 12–16 August 2013; pp. 375–386. [Google Scholar] [CrossRef]









| Symbol | Description |
|---|---|
| Channel coefficient from X to Y, | |
| Transmission power of S | |
| Transmission power of R | |
| Power division ratio, | |
| Energy conversion efficiency | |
| Signal transmission cycle | |
| Time delay due to FD signal processing | |
| k | Strength of inter-user interference |
Publisher’s Note: MDPI stays neutral with regard to jurisdictional claims in published maps and institutional affiliations. |
© 2020 by the authors. Licensee MDPI, Basel, Switzerland. This article is an open access article distributed under the terms and conditions of the Creative Commons Attribution (CC BY) license (http://creativecommons.org/licenses/by/4.0/).
Share and Cite
Toan, H.V.; Hoang, T.M.; Duy, T.T.; Dung, L.T. Outage Probability and Ergodic Capacity of a Two-User NOMA Relaying System with an Energy Harvesting Full-Duplex Relay and Its Interference at the Near User. Sensors 2020, 20, 6472. https://doi.org/10.3390/s20226472
Toan HV, Hoang TM, Duy TT, Dung LT. Outage Probability and Ergodic Capacity of a Two-User NOMA Relaying System with an Energy Harvesting Full-Duplex Relay and Its Interference at the Near User. Sensors. 2020; 20(22):6472. https://doi.org/10.3390/s20226472
Chicago/Turabian StyleToan, Hoang Van, Tran Manh Hoang, Tran Trung Duy, and Le The Dung. 2020. "Outage Probability and Ergodic Capacity of a Two-User NOMA Relaying System with an Energy Harvesting Full-Duplex Relay and Its Interference at the Near User" Sensors 20, no. 22: 6472. https://doi.org/10.3390/s20226472
APA StyleToan, H. V., Hoang, T. M., Duy, T. T., & Dung, L. T. (2020). Outage Probability and Ergodic Capacity of a Two-User NOMA Relaying System with an Energy Harvesting Full-Duplex Relay and Its Interference at the Near User. Sensors, 20(22), 6472. https://doi.org/10.3390/s20226472

