InAsSb-Based Infrared Photodetectors: Thirty Years Later On
Abstract
1. Introduction
2. Brief View on Crystal Growth of InAsSb-Based Materials
- the cost characteristics are very different because of the specific requirements:
- -
- for MBE the overhead is relatively fixed and does not vary with volume,
- -
- for MOCVD, the overhead costs tend to vary with production volume, and therefore
- MOCVD exceeds in a case of significant overcapacity (long idle time), and the opposite is true for MBE which wins on a cost basis when fully loaded,
- the two methods are very similar considering the production efficiency time,
- -
- for MBE, the idle time lasts on average several months where the reactor is down,
- -
- MOCVD service procedures are much more frequent but less time consuming, and therefore
- for MBE system, significant bake times are needed when the growth chamber must be opened for the service repairs,
- in contrast, MOCVD does not require long bake times (MOCVD is able to recover more quickly from failures).
3. InAsSb Alloy Properties
3.1. Energy Gap

3.2. Bandgap Alignment and Offsets
3.3. Transport Properties
3.4. Thermal Generation-Recombination Processes
- the neutral or diffusion region of the detector, and
- the depletion region of the detector.
3.5. Other Properties
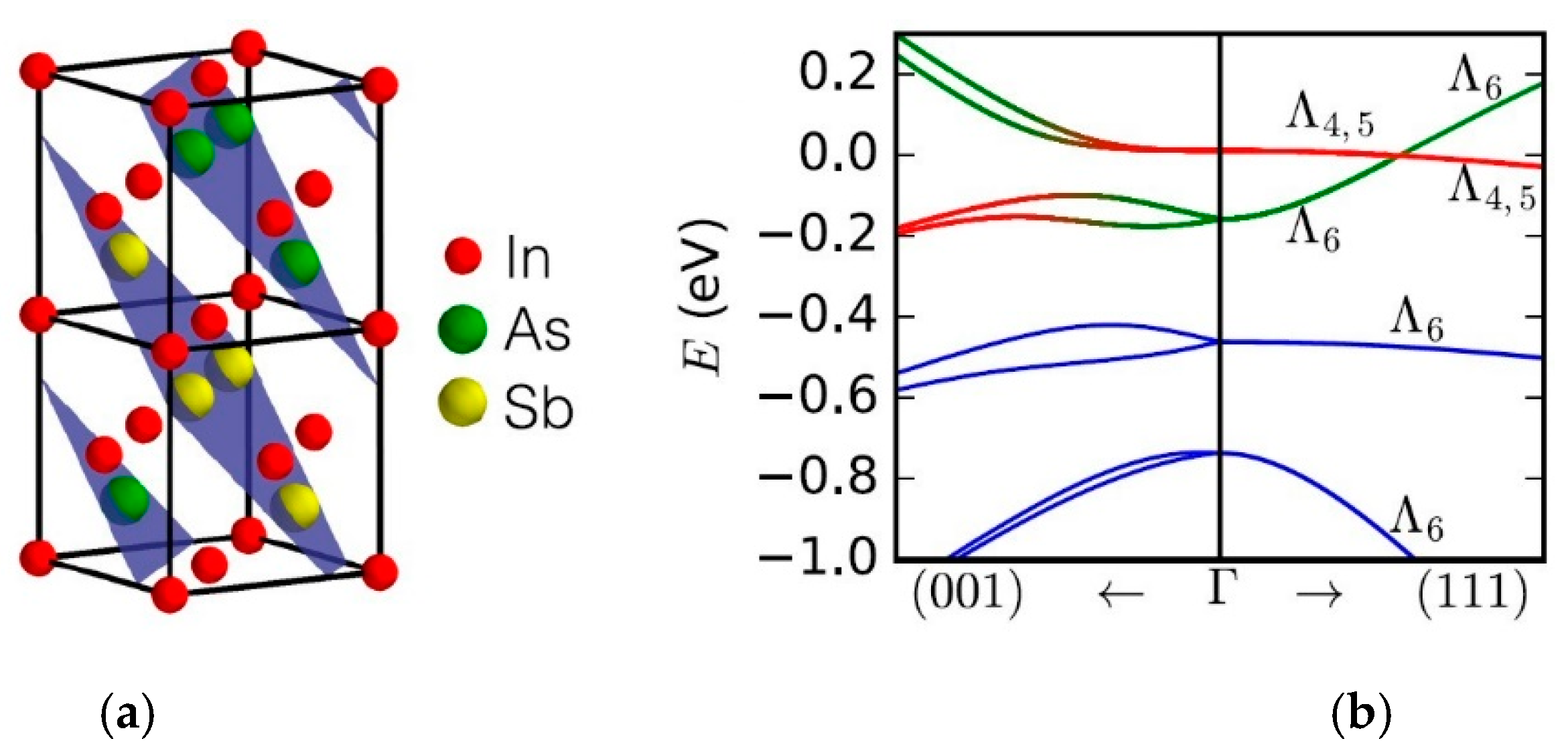
4. Properties of InAs/InAsSb Superlattices
4.1. Bandgap Energy and Effective Masses
- both type of T2SLs are based on nearly-lattice-matched III-V semiconductors and provide a large range of tunability in λcut-off,
- in T2SLs the electron and hole wave functions are located in separate layers,
- the resulting energy gap is determined by the transition energy between the HH1 and the C1 and depends upon the layer thicknesses and interface compositions,
- the band offsets in conduction (∆Ec) and valence (∆Ev) bands in the InAs/InAsSb SL (∆Ec ~142 meV, ∆Ev ~226 meV) are much smaller as compared to InAs/GaSb SL (∆Ec ~930 meV, ∆Ev ~510 meV),
- a much larger broken gap of the InAs/GaSb SLs makes it easier to reach small SL bandgaps,
- as the period increases, the λcut-off of the InAs/GaSb SL increases much faster than in the case of the InAs/InAsSb SL. Shorter period of InAs/GaSb SL gives the same λcut-off as for InAs/InAsSb SL.
4.2. Absorption Coefficient

4.3. Carrier Lifetimes
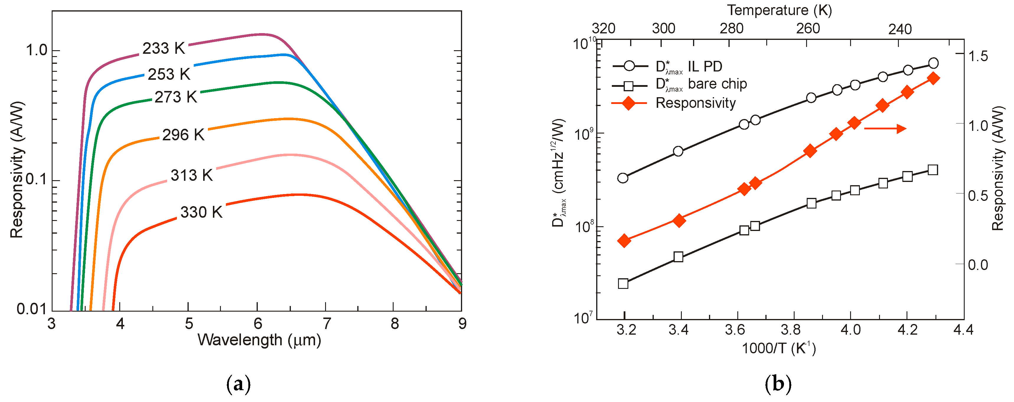
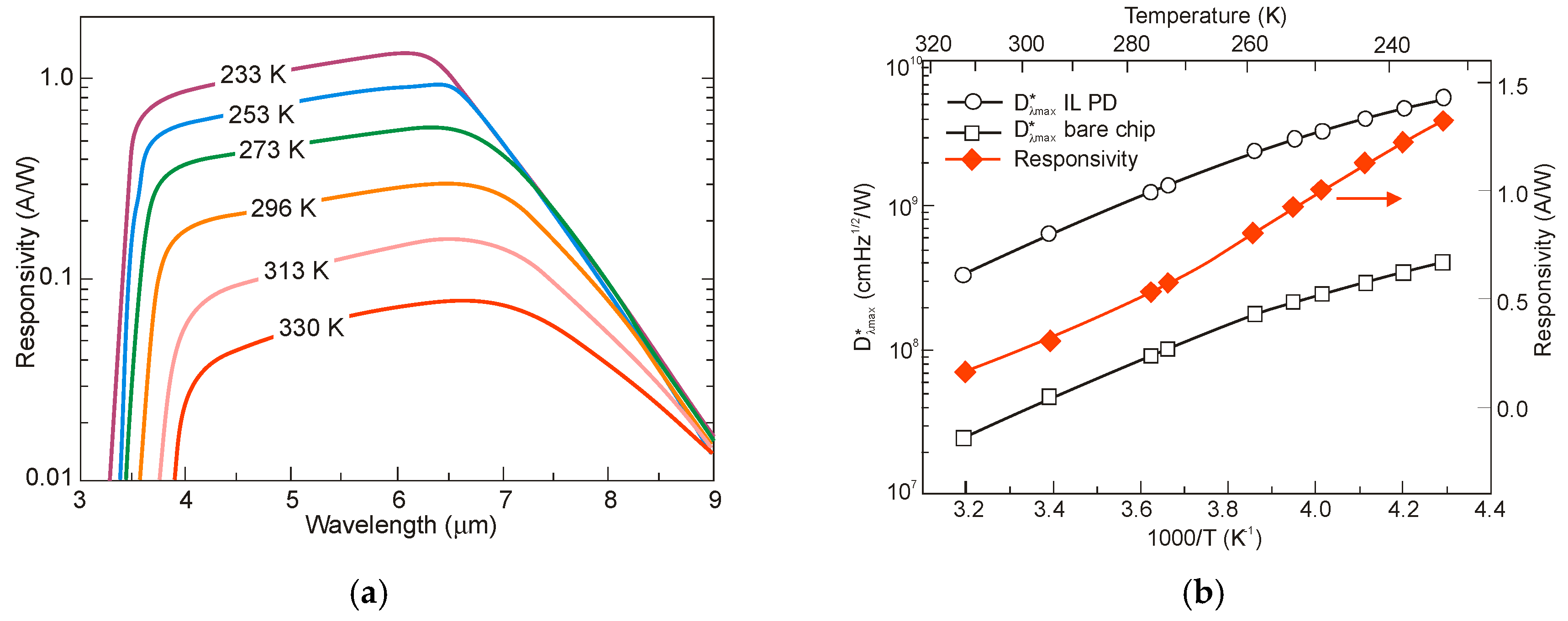
5. InAsSb Bulk Photodiodes
5.1. Technology and Properties
5.2. Performance Limits
5.3. Barrier Detectors
6. InAs/InAsSb Superlattice Detectors
6.1. Performance Limits
6.2. Superlattice Detector Structures
6.2.1. Photodiodes
6.2.2. Barrier Detectors
6.2.3. Multicolor Detectors
7. InAsSb-based Superlattice Focal Plane Arrays
7.1. InAsSb nBn Detector FPAs
7.2. InAs/InAsSb Superlattice Detector FPAs
8. Conclusions
- III-V compounds exhibit inherently short SRH lifetimes typically below 1 μs requiring the nBn design to operate at higher temperatures (this applies both to the bulk InAsSb and the T2SLs),
- T2SLs InAs/InAsSb has emerged in recent years as an alternative to the T2SLs InAs/GaSb due to the three reasons: (i) a better growth controllability and simpler manufacturability, (ii) longer SRH lifetimes (10 μs in MWIR SLs in comparison with 400 ns for InSb), and (iii) significantly higher operating temperature than InSb,
- HgCdTe exhibits long SRH lifetimes >200 μs to 50 ms depending on the λcut-off [78] (can operate with either architecture and may be diffusion or depletion current limited),
- III-Vs exhibit comparable performance to HgCdTe for equivalent λcut-off, but for lower temperature, due to the inherent difference in SRH lifetimes,
- III-V materials are more robust than their II-VI counterparts due to stronger (less ionic) chemical bonding what allows to reach better operability, spatial uniformity, temporal stability, scalability, producibility, and affordability-the so-called “ibility” advantages.
Author Contributions
Funding
Conflicts of Interest
References
- Woolley, J.C.; Smith, B.A. Solid Solution in AIIIBVCompounds. Proc. Phys. Soc. 1958, 72, 214–223. [Google Scholar] [CrossRef]
- Lawson, W.; Nielsen, S.; Putley, E.; Young, A. Preparation and properties of HgTe and mixed crystals of HgTe-CdTe. J. Phys. Chem. Solids 1959, 9, 325–329. [Google Scholar] [CrossRef]
- Rogalski, A. Infrared and Terahertz Detectors, 3rd ed.; CRC Press: Boca Raton, FL, USA, 2019. [Google Scholar]
- Elliott, T. Recollections of MCT work in the UK at Malvern and Southampton. In Proceedings of the SPIE Defense, Security, and Sensing, Orlando, FL, USA, 13–17 April 2009. [Google Scholar]
- Melngailis, I.; Harman, T. Chapter 4 Single-Crystal Lead-Tin Chalcogenides; Elsevier BV: Amsterdam, The Netherlands, 1970; Volume 5, pp. 111–174. [Google Scholar]
- Harman, T.; Melngailis, I. Narrow Gap Semiconductors. In Applied Solid State Science; Elsevier BV: Amsterdam, The Netherlands, 1974; Volume 4, pp. 1–94. [Google Scholar]
- Rogalski, A.; Piotrowski, J. Intrinsic infrared detectors. Prog. Quantum Electron. 1988, 12, 87–289. [Google Scholar] [CrossRef]
- Cheung, D.T.; Andrews, A.M.; Gertner, E.R.; Williams, G.M.; Clarke, J.E.; Pasko, J.G.; Longo, J.T. Backside-illuminated InAs1−xSbx-InAs narrow-band photodetectors. Appl. Phys. Lett. 1977, 30, 587–589. [Google Scholar] [CrossRef]
- Bubulac, L.O.; Andrews, A.M.; Gertner, E.R.; Cheung, D.T. Backside-illuminated InAsSb/GaSb broadband detectors. Appl. Phys. Lett. 1980, 36, 734. [Google Scholar] [CrossRef]
- Schulman, J.N.; McGill, T.C. The CdTe/HgTe superlattice: Proposal for a new infrared material. Appl. Phys. Lett. 1979, 34, 663–665. [Google Scholar] [CrossRef]
- Osbourn, G.C. InAsSb strained-layer superlattices for long wavelength detector applications. J. Vac. Sci. Technol. B Microelectron. Nanometer Struct. 1984, 2, 176. [Google Scholar] [CrossRef]
- Smith, D.L.; Mailhiot, C. Proposal for strained type II superlattice infrared detectors. J. Appl. Phys. 1987, 62, 2545–2548. [Google Scholar] [CrossRef]
- Mailhiot, C. Long-wavelength infrared detectors based on strained InAs–Ga1−xInxSb type-II superlattices. J. Vac. Sci. Technol. A 1989, 7, 445–449. [Google Scholar] [CrossRef]
- Chow, D.H.; Miles, R.H.; Söderström, J.R.; McGill, T.C. Growth and characterization of InAs/Ga1−xInxSb strained-layer superlattices. Appl. Phys. Lett. 1990, 56, 1418–1420. [Google Scholar] [CrossRef]
- Kurtz, S.; Dawson, L.; Zipperian, T.; Whaley, R. High-detectivity (>1 × 1010 cm Hz½/W), InAsSb strained-layer superlattice, photovoltaic infrared detector. IEEE Electron Device Lett. 1990, 11, 54–56. [Google Scholar] [CrossRef]
- Chadda, S.; Datye, A.K.; Dawson, L.R. Microstructural evaluation of strained multilayer InAsSb/InSb infrared detectors by transmission electron microscopy. J. Appl. Phys. 1993, 73, 4232–4239. [Google Scholar] [CrossRef]
- Lackner, D.; Pitts, O.J.; Steger, M.; Yang, A.; Thewalt, M.L.W.; Watkins, S.P. Strain balanced InAs/InAsSb superlattice structures with optical emission to 10 μm. Appl. Phys. Lett. 2009, 95, 81906. [Google Scholar] [CrossRef]
- Steenbergen, E.H.; Connelly, B.C.; Metcalfe, G.D.; Shen, H.; Wraback, M.; Lubyshev, D.I.; Qiu, Y.; Fastenau, J.M.; Liu, A.W.K.; Elhamri, S.; et al. Significantly improved minority carrier lifetime observed in a long-wavelength infrared III-V type-II superlattice comprised of InAs/InAsSb. Appl. Phys. Lett. 2011, 99, 251110. [Google Scholar] [CrossRef]
- Rogalski, A. InAs1−xSbx infrared detectors. Prog. Quantum Electron. 1989, 13, 191–231. [Google Scholar] [CrossRef]
- Steenbergen, E.H. InAsSb-Based Photodetectors; Elsevier BV: Amsterdam, The Netherlands, 2020; pp. 415–453. [Google Scholar]
- Rogalski, A. New Ternary Alloy Systems for Infrared Detectors; SPIE: Zakopane, Poland, 1993; pp. 52–60. [Google Scholar]
- Woolley, J.C.; Warner, J. Optical energy-gap variation in InAs–InSb alloys. Can. J. Phys. 1964, 42, 1879–1885. [Google Scholar] [CrossRef]
- Coderre, W.M.; Woolley, J.C. Electrical properties of InAsxSb1−x alloys. Can. J. Phys. 1968, 46, 1207–1214. [Google Scholar] [CrossRef]
- Woolley, J.C.; Thompson, A.G. Calculation of electron effective mass in iii-v alloys. Can. J. Phys. 1964, 42, 2030–2034. [Google Scholar] [CrossRef]
- Aubin, M.J.; Woolley, J.C. Electron scattering in InAsxSb1−x alloys. Can. J. Phys. 1968, 46, 1191–1198. [Google Scholar] [CrossRef]
- Van Tongerloo, E.H.; Woolley, J.C. Free-carrier Faraday rotation in InAsxSb1−x alloys. Can. J. Phys. 1968, 46, 1199–1206. [Google Scholar] [CrossRef]
- Springer. Springer Handbook of Electronic and Photonic Materials, 2nd ed.; Kasap, S., Capper, P., Eds.; Springer International Publishing: New York, NY, USA, 2017. [Google Scholar]
- Pelzel, R. A comparison of MOVPE and MBE growth technologies for III-V epitaxial structures. In Proceedings of the CS MANTECH Conference, New Orleans, LA, USA, 13–16 May 2013; pp. 105–108. [Google Scholar]
- Manasevit, H. The use of metalorganics in the preparation of semiconductor materials: Growth on insulating substrates. J. Cryst. Growth 1972, 13, 306–314. [Google Scholar] [CrossRef]
- Biefeld, R.M. The metal-organic chemical vapor deposition and properties of III–V antimony-based semiconductor materials. Mater. Sci. Eng. R Rep. 2002, 36, 105–142. [Google Scholar] [CrossRef]
- Wang, C. Progress and continuing challenges in GaSb-based III–V alloys and heterostructures grown by organometallic vapor-phase epitaxy. J. Cryst. Growth 2004, 272, 664–681. [Google Scholar] [CrossRef]
- Chang, C.-A.; Ludeke, R.; Chang, L.L.; Esaki, L. Molecular-beam epitaxy (MBE) of In1−xGaxAs and GaSb1−yAsy. Appl. Phys. Lett. 1977, 31, 759–761. [Google Scholar] [CrossRef]
- Ludeke, R. Electronic Properties of (100) Surfaces of GaSb and InAs and Their Alloys with GaAs. IBM J. Res. Dev. 1978, 22, 304–314. [Google Scholar] [CrossRef]
- Bennett, B.R.; Shanabrook, B.V.; Liu, W.K.; Santos, M.B. Molecular Beam Epitaxy of Sb-based Semiconductors. In Series on Directions in Condensed Matter Physics; World Scientific Publishing Co Pte Lt: Singapore, 1999; pp. 401–452. [Google Scholar]
- Mauk, M.G.; Andreev, V.M. GaSb-related materials for TPV cells. Semicond. Sci. Technol. 2003, 18, S191–S201. [Google Scholar] [CrossRef]
- Zhang, Y.-H. Accurate control of As and Sb incorporation ratio during solid-source molecular-beam epitaxy. J. Cryst. Growth 1995, 150, 838–843. [Google Scholar] [CrossRef]
- Lew, A.Y. Atomic-scale structure of InAs/InAs1−xSbx superlattices grown by modulated molecular beam epitaxy. J. Vac. Sci. Technol. B Microelectron. Nanometer Struct. 1996, 14, 29–40. [Google Scholar] [CrossRef]
- Zhang, Y.H.; Lew, A.; Yu, E.; Chen, Y. Microstructural properties of superlattices and InAsxSb1−x ordered alloys grown by modulated molecular beam epitaxy. J. Cryst. Growth 1997, 833–837. [Google Scholar] [CrossRef]
- Svensson, S.P.; Sarney, W.L.; Hier, H.; Lin, Y.; Wang, D.; Donetsky, D.; Shterengas, L.; Kipshidze, G.; Belenky, G. Band gap of InAs1−xSbx with native lattice constant. Phys. Rev. B 2012, 86. [Google Scholar] [CrossRef]
- Winkler, G.W.; Wu, Q.; Troyer, M.; Krogstrup, P.; Soluyanov, A.A. Topological Phases in InAs1−xSbx: From Novel Topological Semimetal to Majorana Wire. Phys. Rev. Lett. 2016, 117, 76–403. [Google Scholar] [CrossRef] [PubMed]
- Belenky, G.; Donetsky, D.; Kipshidze, G.; Wang, D.; Shterengas, L.; Sarney, W.L.; Svensson, S.P. Properties of unrelaxed InAs1−xSbx alloys grown on compositionally graded buffers. Appl. Phys. Lett. 2011, 99, 141116. [Google Scholar] [CrossRef]
- Lin, Y.; Donetsky, D.; Wang, D.; Westerfeld, D.; Kipshidze, G.; Shterengas, L.; Sarney, W.L.; Svensson, S.P.; Belenky, G. Development of Bulk InAsSb Alloys and Barrier Heterostructures for Long-Wave Infrared Detectors. J. Electron. Mater. 2015, 44, 3360–3366. [Google Scholar] [CrossRef]
- Varshni, Y. Temperature dependence of the energy gap in semiconductors. Physica 1967, 34, 149–154. [Google Scholar] [CrossRef]
- Viña, L.; Logothetidis, S.; Cardona, M. Temperature dependence of the dielectric function of germanium. Phys. Rev. B 1984, 30, 1979–1991. [Google Scholar] [CrossRef]
- Fan, H.Y. Temperature Dependence of the Energy Gap in Semiconductors. Phys. Rev. 1951, 82, 900–905. [Google Scholar] [CrossRef]
- Wieder, H.; Clawson, A. Photo-electronic properties of InAs0.07Sb0.93films. Thin Solid Films 1973, 15, 217–221. [Google Scholar] [CrossRef]
- Murawski, K.; Gomółka, E.; Kopytko, M.; Grodecki, K.; Michalczewski, K.; Kubiszyn, Ł.; Gawron, W.; Martyniuk, P.; Rogalski, A.; Piotrowski, J. Bandgap energy determination of InAsSb epilayers grown by molecular beam epitaxy on GaAs substrates. Prog. Nat. Sci. 2019, 29, 472–476. [Google Scholar] [CrossRef]
- Thompson, A.G.; Woolley, J.C. Energy-gap variation in mixed III-V alloys. Can. J. Phys. 1967, 45, 255–261. [Google Scholar] [CrossRef]
- Webster, P.T.; Riordan, N.A.; Liu, S.; Steenbergen, E.H.; Synowicki, R.A.; Zhang, Y.-H.; Johnson, S.R. Measurement of InAsSb bandgap energy and InAs/InAsSb band edge positions using spectroscopic ellipsometry and photoluminescence spectroscopy. J. Appl. Phys. 2015, 118, 245–706. [Google Scholar] [CrossRef]
- Vurgaftman, I.; Meyer, J.R.; Ram-Mohan, L.R. Band parameters for III–V compound semiconductors and their alloys. J. Appl. Phys. 2001, 89, 5815–5875. [Google Scholar] [CrossRef]
- Rogalski, A.; Jóźwikowski, K. Intrinsic carrier concentration and effective masses in InAs1−xSbx. Infrared Phys. 1989, 29, 35–42. [Google Scholar] [CrossRef]
- Tomasulo, S.; Affouda, C.A.; Mahadik, N.A.; Twigg, M.E.; Yakes, M.K.; Aifer, E.H. Sb-incorporation in MBE-grown metamorphic InAsSb for long-wavelength infrared applications. J. Vac. Sci. Technol. B 2018, 36, 02D108. [Google Scholar] [CrossRef]
- Razeghi, M. Overview of antimonide based III-V semiconductor epitaxial layers and their applications at the center for quantum devices. Eur. Phys. J. Appl. Phys. 2003, 23, 149–205. [Google Scholar] [CrossRef]
- Smith, S.N.; Phillips, C.C.; Thomas, R.H.; Stradling, R.A.; Ferguson, I.T.; Norman, A.; Murdin, B.N.; Pidgeon, C. Interband magneto-optics of InAs1−xSbx. Semicond. Sci. Technol. 1992, 7, 900–906. [Google Scholar] [CrossRef]
- Suchalkin, S.; Ludwig, J.; Belenky, G.; Laikhtman, B.; Kipshidze, G.; Lin, Y.; Shterengas, L.; Smirnov, D.; Luryi, S.; Sarney, W.L.; et al. Electronic properties of unstrained unrelaxed narrow gap InAsxSb1−x alloys. J. Phys. D Appl. Phys. 2016, 49, 101–105. [Google Scholar] [CrossRef]
- Fang, Z.M.; Ma, K.Y.; Jaw, D.H.; Cohen, R.M.; Stringfellow, G.B. Photoluminescence of InSb, InAs, and InAsSb grown by organometallic vapor phase epitaxy. J. Appl. Phys. 1990, 67, 7034–7039. [Google Scholar] [CrossRef]
- Kroemer, H. The family (InAs, GaSb, AlSb) and its heterostructures: A selective review. Phys. E Low Dimens. Syst. Nanostruct. 2004, 20, 196–203. [Google Scholar] [CrossRef]
- Steenbergen, E.H.; Cellek, O.O.; Lubyshev, D.; Qiu, Y.; Fastenau, J.M.; Liu, A.W.K.; Zhang, Y.-H. Study of the valence band offsets between InAs and InAs1−xSbx alloys. In Proceedings of the SPIE OPTO, San Francisco, CA, USA, 21–26 January 2012; Volume 82680K. [Google Scholar]
- Kurtz, S.R.; Biefeld, R.M. Magnetophotoluminescence of biaxially compressed InAsSb quantum wells. Appl. Phys. Lett. 1995, 66, 364–366. [Google Scholar] [CrossRef]
- Tang, P.J.P.; Pullin, M.J.; Li, Y.B.; Phillips, C.C.; Stradling, R.A.; Chung, S.J.; Yuen, W.T.; Hart, L.; Bain, D.J.; Galbraith, I. A magneto-photoluminescence investigation of the band offset between InAs and arsenic-rich InAs1−xSbx alloys. Appl. Phys. Lett. 1996, 69, 2501–2503. [Google Scholar] [CrossRef]
- Li, Y.B.; Stradling, R.A.; Norman, A.G.; Tang, P.J.P.; Chung, S.J.; Phillips, C.C. Band offsets for InAs1-xSbx/InAs1-ySby strained layer superlattices derived from interband magneto-optical studies. In Proceedings of the 22nd International Conference on the Physics of Semiconductors, Vancouver, BC, Canada, 15–19 August 1994; pp. 1496–1499. [Google Scholar]
- Zhang, Y. Continuous wave operation of InAs/InAsxSb1−x midinfrared lasers. Appl. Phys. Lett. 1995, 66, 118–120. [Google Scholar] [CrossRef]
- Sarney, W.L.; Svensson, S.P.; Lin, Y.; Donetsky, D.; Shterengas, L.; Kipshidze, G.; Belenky, G. Extremely small bandgaps, engineered by controlled multi-scale ordering in InAsSb. J. Appl. Phys. 2016, 119, 215–704. [Google Scholar] [CrossRef]
- Lin, Y.; Wang, D.; Donetsky, D.; Shterengas, L.; Kipshidze, G.; Belenky, G.; Svensson, S.P.; Sarney, W.L.; Hier, H.S. Conduction- and Valence-Band Energies in Bulk InAs1−xSbx and Type II InAs1−xSbx/InAs Strained-Layer Superlattices. J. Electron. Mater. 2013, 42, 918–926. [Google Scholar] [CrossRef]
- Rogalski, A.; Adamiec, K.; Rutkowski, J. Narrow-Gap Semiconductor Photodiodes; SPIE Press: Bellingham, WA, USA, 2000. [Google Scholar]
- Schoen, J.M. Augmented-Plane-Wave Virtual-Crystal Approximation. Phys. Rev. 1969, 184, 858–863. [Google Scholar] [CrossRef]
- Boucenna, M.; Bouarissa, N. Energy gaps and lattice dynamic properties of InAsxSb1−x. Mater. Sci. Eng. B 2007, 138, 228–234. [Google Scholar] [CrossRef]
- Ben Fredj, A.; Debbichi, M.; Said, M. Influence of the composition fluctuation and the disorder on the bowing band gap in semiconductor materials. Microelectron. J. 2007, 38, 860–870. [Google Scholar] [CrossRef]
- Walpole, J.N. Capacitance-Voltage Characteristics of Metal Barriers on p PbTe and p InAs: Effects of the Inversion Layer. J. Appl. Phys. 1971, 42, 5609. [Google Scholar] [CrossRef]
- Wieder, H.H. Transport coefficients of InAs epilayers. Appl. Phys. Lett. 1974, 25, 206–208. [Google Scholar] [CrossRef]
- Casias, L.K.; Morath, C.P.; Steenbergen, E.H.; Webster, P.T.; Kim, J.K.; Cowan, V.M.; Balakrishnan, G.; Krishna, S. Carrier concentration and transport in Be-doped InAsSb for infrared sensing applications. Infrared Phys. Technol. 2019, 96, 184–191. [Google Scholar] [CrossRef]
- Gao, Y.Z.; Kan, H.; Aoyama, M.; Yamaguchi, T. Germanium- and Zinc-Doped P-type InAsSb Single Crystals with a Cutoff Wavelength of 12.5 µm. Jpn. J. Appl. Phys. 2000, 39, 2520–2522. [Google Scholar] [CrossRef]
- Anderson, W. Absorption constant of Pb1−xSnxTe and Hg1−xCdxTe alloys. Infrared Phys. 1980, 20, 363–372. [Google Scholar] [CrossRef]
- Woolley, J.C.; Warner, J. Preparation of InAs-InSb Alloys. J. Electrochem. Soc. 1964, 111, 1142–1145. [Google Scholar] [CrossRef]
- Van Vechten, J.A.; Berolo, O.; Woolley, J.C. Spin-Orbit Splitting in Compositionally Disordered Semiconductors. Phys. Rev. Lett. 1972, 29, 1400–1403. [Google Scholar] [CrossRef]
- Chin, V.W.L.; Egan, R.; Tansley, T.L. Electron mobility in InAs1−xSbx and the effect of alloy scattering. J. Appl. Phys. 1991, 69, 3571–3577. [Google Scholar] [CrossRef]
- Egan, R.; Chin, V.W.L.; Tansley, T.L. Dislocation scattering effects on electron mobility in InAsSb. J. Appl. Phys. 1994, 75, 2473–2476. [Google Scholar] [CrossRef]
- Kinch, M.A. State-of-the-Art Infrared Detector Technology. In State-of-the-Art Infrared Detector Technology; SPIE Press: Bellingham, WA, USA, 2014. [Google Scholar]
- Blakemore, J. Semiconductor Statistics; Elsevier BV: Amsterdam, The Netherlands, 1962. [Google Scholar]
- Nimtz, G. Recombination in narrow-gap semiconductors. Phys. Rep. 1980, 63, 265–300. [Google Scholar] [CrossRef]
- Landsberg, P.T. Recombination in semiconductors. Nat. Cell Biol. 1978, 275, 270–271. [Google Scholar] [CrossRef]
- Shockley, W.; Read, J.W.T. Statistics of the Recombinations of Holes and Electrons. Phys. Rev. 1952, 87, 835–842. [Google Scholar] [CrossRef]
- Hall, R.N. Electron-Hole Recombination in Germanium. Phys. Rev. 1952, 87, 387. [Google Scholar] [CrossRef]
- Humphreys, R. Radiative lifetime in semiconductors for infrared detection. Infrared Phys. 1986, 26, 337–342. [Google Scholar] [CrossRef]
- Elliott, C.T.; Gordon, N.T.; White, A.M. Towards background-limited, room-temperature, infrared photon detectors in the 3–13 μm wavelength range. Appl. Phys. Lett. 1999, 74, 2881–2883. [Google Scholar] [CrossRef]
- Elliott, C.T.; Jones, C.L. Non-equilibrium devices in HgCdTe. In Narrow-gap II-VI Compounds for Optoelectronic and Electromagnetic Applications; Springer Science and Business Media LLC: Berlin, Germany, 1997; pp. 474–485. [Google Scholar]
- Jóźwikowski, K.; Kopytko, M.; Rogalski, A. Numerical Estimations of Carrier Generation–Recombination Processes and the Photon Recycling Effect in HgCdTe Heterostructure Photodiodes. J. Electron. Mater. 2012, 41, 2766–2774. [Google Scholar] [CrossRef][Green Version]
- Rogalski, A.; Kopytko, M.; Martyniuk, P. Antimonide-based Infrared Detectors: A New Perspective; SPIE Press: Bellingham, WA, USA, 2018. [Google Scholar]
- Cripps, S.; Hosea, T.J.C.; Krier, A.; Smirnov, V.; Batty, P.; Zhuang, Q.; Lin, H.; Liu, P.-W.; Tsai, G. Determination of the fundamental and spin-orbit-splitting band gap energies of InAsSb-based ternary and pentenary alloys using mid-infrared photoreflectance. Thin Solid Films 2008, 516, 8049–8058. [Google Scholar] [CrossRef]
- Rogalski, A.; Orman, Z. Band-to-band recombination in InAs1−xSbx. Infrared Phys. 1985, 25, 551–560. [Google Scholar] [CrossRef]
- Wrobel, J.M.; Ciupa, R.; Rogalski, A. Performance limits of room-temperature InAsSb photodiodes. SPIE Def. Secur. Sens. 2010, 7660. [Google Scholar] [CrossRef]
- Jost, S.R.; Meikleham, V.F.; Myers, T.H. InSb: A Key Material for IR Detector Applications. MRS Proc. 1986, 90, 429–436. [Google Scholar] [CrossRef]
- Dobbelaere, W.; De Boeck, J.; Van Mieghem, P.; Mertens, R.; Borghs, G. Optical characterization of Si-doped InAs1−xSbx grown on GaAs and GaAs-coated Si by molecular-beam epitaxy. J. Appl. Phys. 1991, 69, 2536–2542. [Google Scholar] [CrossRef]
- Chu, J.-H.; Mi, Z.-Y.; Tang, D.-Y. Band-to-band optical absorption in narrow-gap Hg1−xCdxTe semiconductors. J. Appl. Phys. 1992, 71, 3955–3961. [Google Scholar] [CrossRef]
- Chu, J.; Li, B.; Liu, K.; Tang, D. Empirical rule of intrinsic absorption spectroscopy in Hg1−xCdxTe. J. Appl. Phys. 1994, 75, 1234–1235. [Google Scholar] [CrossRef]
- Webster, P.T.; Riordan, N.A.; Liu, S.; Steenbergen, E.H.; Synowicki, R.A.; Zhang, Y.-H.; Johnson, S.R. Absorption properties of type-II InAs/InAsSb superlattices measured by spectroscopic ellipsometry. Appl. Phys. Lett. 2015, 106. [Google Scholar] [CrossRef]
- Cherng, Y.T.; Ma, K.Y.; Stringfellow, G.B. Raman scattering in InAs1−xSbx grown by organometallic vapor phase epitaxy. Appl. Phys. Lett. 1988, 53, 886–887. [Google Scholar] [CrossRef]
- Li, Y.B.; Dosanjh, S.S.; Ferguson, I.T.; Norman, A.G.; De Oliveira, A.G.; A Stradling, R.; Zallen, R. Raman scattering in InAs1−xSbx alloys grown on GaAs by molecular beam epitaxy. Semicond. Sci. Technol. 1992, 7, 567–570. [Google Scholar] [CrossRef]
- Erkuş, M.; Serincan, U. Phonon frequency variations in high quality InAs1−xSbx epilayers grown on GaAs. Appl. Surf. Sci. 2014, 318, 28–31. [Google Scholar] [CrossRef]
- Grodecki, K.; Murawski, K.; Michalczewski, K.; Budner, B.; Martyniuk, P. Raman scattering of InAsSb. AIP Adv. 2019, 9. [Google Scholar] [CrossRef]
- Ting, D.Z.-Y.; Soibel, A.; Höglund, L.; Nguyen, J.; Hill, C.J.; Khoshakhlagh, A.; Gunapala, S.D. Type-II Superlattice Infrared Detectors. In Semiconductors and Semimetals; Elsevier BV: Amsterdam, The Netherlands, 2011; Volume 84, pp. 1–57. [Google Scholar]
- Huang, S.; Khoshakhlagh, A.; Jallipalli, A.; Dawson, L.; Balakrishnan, G.; Huffaker, D. Strain relief by periodic misfit arrays for low defect density GaSb on GaAs. Appl. Phys. Lett. 2006, 88, 131–911. [Google Scholar] [CrossRef]
- Steenbergen, E.H.; Ariyawansa, G.; Reyner, C.J.; Jenkins, G.D.; Morath, C.P.; Duran, J.M.; Scheihing, J.E.; Cowan, V.M. A recent review of mid-wavelength infrared type-II superlattices: Carrier localization, device performance, and radiation tolerance. Quantum Sens. Nano Electron. Photonics XIV 2017, 10111, 101–1104. [Google Scholar] [CrossRef]
- Lin, Z.-Y.; Liu, S.; Steenbergen, E.H.; Zhang, Y.-H. Influence of carrier localization on minority carrier lifetime in InAs/InAsSb type-II superlattices. Appl. Phys. Lett. 2015, 107. [Google Scholar] [CrossRef]
- Manyk, T.; Murawski, K.; Michalczewski, K.; Grodecki, K.; Rutkowski, J.; Martyniuk, P. Method of electron affinity evaluation for the type-2 InAs/InAs1−xSbx superlattice. J. Mater. Sci. 2020, 55, 5135–5144. [Google Scholar] [CrossRef]
- Ariyawansa, G.; Steenbergen, E.; Bissell, L.J.; Duran, J.M.; Scheihing, J.E.; Eismann, M.T. Absorption characteristics of mid-wave infrared type-II superlattices. SPIE Def. Secur. 2014, 9070, 90701J. [Google Scholar] [CrossRef]
- Ting, D.Z.; Soibel, A.; Khoshakhlagh, A.; Keo, S.A.; Rafol, S.B.; Fisher, A.M.; Pepper, B.J.; Luong, E.M.; Hill, C.J.; Gunapala, S.D. Advances in III-V semiconductor infrared absorbers and detectors. Infrared Phys. Technol. 2019, 97, 210–216. [Google Scholar] [CrossRef]
- Ting, D.Z.; Soibel, A.; Gunapala, S.D. Type-II superlattice hole effective masses. Infrared Phys. Technol. 2017, 84, 102–106. [Google Scholar] [CrossRef]
- Vurgaftman, I.; Belenky, G.; Lin, Y.; Donetsky, D.; Shterengas, L.; Kipshidze, G.; Sarney, W.L.; Svensson, S.P. Interband absorption strength in long-wave infrared type-II superlattices with small and large superlattice periods compared to bulk materials. Appl. Phys. Lett. 2016, 108, 22–2101. [Google Scholar] [CrossRef]
- Klipstein, P.C.; Livneh, Y.; Glozman, A.; Grossman, S.; Klin, O.; Snapi, N.; Weiss, E. Modeling InAs/GaSb and InAs/InAsSb Superlattice Infrared Detectors. J. Electron. Mater. 2014, 43, 2984–2990. [Google Scholar] [CrossRef]
- Livneh, Y.; Klipstein, P.C.; Klin, O.; Snapi, N.; Grossman, S.; Glozman, A.; Weiss, E. k·p model for the energy dispersions and absorption spectra of InAs/GaSb type-II superlattices. Phys. Rev. B 2012, 86, 235–311. [Google Scholar] [CrossRef]
- Aytac, Y.; Olson, B.V.; Kim, J.K.; Shaner, E.A.; Hawkins, S.D.; Klem, J.F.; Flatté, M.E.; Boggess, T.F. Effects of layer thickness and alloy composition on carrier lifetimes in mid-wave infrared InAs/InAsSb superlattices. Appl. Phys. Lett. 2014, 105. [Google Scholar] [CrossRef]
- Hoglund, L.; Ting, D.; Soibel, A.; Fisher, A.; Khoshakhlagh, A.; Hill, C.; Baker, L.; Keo, S.; Mumolo, J.; Gunapala, S.D. Influence of carrier concentration on the minority carrier lifetime in mid-wavelength infrared InAs/InAsSb superlattices. Infrared Phys. Technol. 2015, 70, 62–65. [Google Scholar] [CrossRef]
- DeWames, R.E.; Schuster, J.; DeCuir, E.; Dhar, N. Recombination processes in InAs/InAsSb type II strained layer superlattice MWIR nBn detectors. In Proceedings of the Infrared Technology and Applications XLV, Baltimore, MD, USA, 16–18 April 2019; Volume 110020W. [Google Scholar] [CrossRef]
- Kinch, M.A.; Aqariden, F.; Chandra, D.; Liao, P.-K.; Schaake, H.F.; Shih, H.D. Minority carrier lifetime in p-HgCdTe. J. Electron. Mater. 2005, 34, 880–884. [Google Scholar] [CrossRef]
- Lee, D.; Carmody, M.; Piquette, E.; Dreiske, P.; Chen, A.; Yulius, A.; Edwall, D.; Bhargava, S.; Zandian, M.; Tennant, W.E. High-Operating Temperature HgCdTe: A Vision for the Near Future. J. Electron. Mater. 2016, 45, 4587–4595. [Google Scholar] [CrossRef]
- Lee, D.L.; Dreiske, P.; Ellsworth, J.; Cottier, R.; Chen, A.; Tallaricao, S.; Yulius, A.; Carmody, M.; Piquette, E.; Zandian, M.; et al. Law 19: The ultimate photodiode performance metric. In Proceedings of the Infrared Technology and Applications XLVI, Anaheim, CA, USA, 26–30 April 2020; Volume 114070X. [Google Scholar]
- Tennant, W.E.; Lee, D.; Zandian, M.; Piquette, E.; Carmody, M. MBE HgCdTe Technology: A Very General Solution to IR Detection, Described by “Rule 07”, a Very Convenient Heuristic. J. Electron. Mater. 2008, 37, 1406–1410. [Google Scholar] [CrossRef]
- Rogalski, A.; Kopytko, M.; Martyniuk, P.; Hu, W. Trends in performance limits of the HOT infrared photodetectors. To be published.
- Adachi, S. Physical Properties of III-V Semiconductor Compounds; Jouh Wiley and Sons: Chicester, UK, 1992. [Google Scholar]
- Remennyy, M.A.; Matveev, B.A.; Zotova, N.V.; Karandashev, S.A.; Stus, N.M.; Ilinskaya, N.D. InAs and InAs(Sb)(P) (3–5 μm) immersion lens photodiodes for portable optic sensors. In Proceedings of the International Congress on Optics and Optoelectronics, Prague, Czech Republic, 16–17 April 2007; Volume 658504. [Google Scholar]
- Mikhailova, M.P.; Andreev, I.A. High-speed avalanche photodiodes for the 2–5 μm spectral range. In Mid-Infrared Semiconductor Optoelectronics; Krier, A., Ed.; Springer: London, UK, 2006; pp. 547–592. [Google Scholar]
- Brunkov, P.N.; Il’Inskaya, N.; Karandashev, S.A.; Lavrov, A.; Matveev, B.; Remennyi, M.; Stus’, N.; Usikova, A. InAsSbP/InAs0.9Sb0.1/InAs DH photodiodes (λ0.1 = 5.2 μm, 300 K) operating in the 77–353 K; temperature range. Infrared Phys. Technol. 2015, 73, 232–237. [Google Scholar] [CrossRef]
- Zakgeim, A.L.; Il’Inskaya, N.D.; Karandashev, S.A.; Lavrov, A.A.; Matveev, B.A.; Remennyy, M.A.; Stus’, N.M.; Usikova, A.A.; Cherniakov, A.E. Spatial redistribution of radiation in flip-chip photodiodes based on InAsSbP/InAs double heterostructures. Semiconductors 2017, 51, 260–266. [Google Scholar] [CrossRef]
- Il’Inskaya, N.; Karandashev, S.; Lavrov, A.; Matveev, B.; Remennyi, M.; Stus, N.; Usikova, A.A. P-InAsSbP/p- InAs0.88Sb0.12/n-InAs0.88Sb0.12/n+-InAs PDs with a smooth p-n junction. Infrared Phys. Technol. 2018, 88, 223–227. [Google Scholar] [CrossRef]
- Il’Inskaya, N.D.; Karandashev, S.A.; Lavrov, A.A.; Matveev, B.A.; Remennyi, M.A.; Stus’, N.M.; Usikova, A.A. InAs0.7Sb0.3Bulk Photodiodes Operating at Thermoelectric-Cooler Temperatures. Phys. Status Solidi 2018, 215, 170–694. [Google Scholar] [CrossRef]
- Il’Inskaya, N.D.; Karandashev, S.A.; Lavrov, A.A.; Matveev, B.A.; Remennyi, M.A.; Stus’, N.M.; Usikova, A.A. InAsSbP Photodiodes for 2.6–2.8-μm Wavelengths. Tech. Phys. 2018, 63, 226–229. [Google Scholar] [CrossRef]
- Rogalski, A.; Ciupa, R.; Larkowski, W. Near room-temperature InAsSb photodiodes: Theoretical predictions and experimental data. Solid State Electron. 1996, 39, 1593–1600. [Google Scholar] [CrossRef]
- Bubulac, L.O.; Barrowcliff, E.E.; Tennant, W.E.; Pasko, J.P.; Williams, G.; Andrews, A.M.; Cheung, D.T.; Gertner, E.R. Be ion implantation in InAsSb and GaInSb. In Proceedings of the seventh International Symposium on Gallium Arsenide and Related Compounds, St. Louis, MO, USA, 24–27 September 1978; pp. 519–529. [Google Scholar]
- Mikhailova, M.P.; Stus, N.M.; Slobodchikov, S.V.; Zotova, N.V.; Matveev, B.A.; Talalakin, G.N. InAs1−xSbx photodiodes for 3–5-μm spectral range. Fiz. Tekh. Poluprovodn. 1996, 30, 1613–1619. [Google Scholar]
- EG&G Optoelectronics, Inc. Data Sheet. 1995. Available online: https://www.hamamatsu.com/eu/en/product/optical-sensors/infrared-detector/inas-photovoltaic-detector/index.html (accessed on 24 September 2020).
- Andrushko, A.I.; Pencov, A.V.; Salichov, C.M.; Slobodchikov, S.V. RoA product of p–n InAs junctions. Fiz. Tekh. Poluprovodn. 1991, 25, 1690–1696. [Google Scholar]
- Krier, A.; Suleiman, W. Uncooled photodetectors for the 3–5 μm spectral range based on III–V heterojunctions. Appl. Phys. Lett. 2006, 89, 83512. [Google Scholar] [CrossRef]
- Sharabani, Y.; Paltiel, Y.; Sher, A.; Raizman, A.; Zussman, A. InAsSb/GaSb heterostructure based mid-wavelength-infrared detector for high temperature operation. Appl. Phys. Lett. 2007, 90, 232106. [Google Scholar] [CrossRef]
- Shao, H.; Li, W.; Torfi, A.; Moscicka, D.; Wang, W. Room-temperature InAsSb photovoltaic detectors for mid-infrared applications. IEEE Photon. Technol. Lett. 2006, 18, 1756–1758. [Google Scholar] [CrossRef]
- Gao, H.H.; Krier, A.; Sherstnev, V.V. Room-temperature InAs0.89Sb0.11photodetectors for CO detection at 4.6 μm. Appl. Phys. Lett. 2000, 77, 872–874. [Google Scholar] [CrossRef]
- Available online: https://vigo.com.pl/wp-content/uploads/2017/06/VIGO-Catalogue.pdf (accessed on 24 September 2020).
- Madejczyk, P.; Gawron, W.; Kębłowski, A.; Martyniuk, P.; Kopytko, M.; Pusz, W.; Stępień, D.; Rutkowski, J.; Piotrowski, A.; Piotrowski, J.; et al. Response time improvement of LWIR HOT MCT detectors. In Proceedings of the Infrared Technology and Applications XLIII, Anaheim, CA, USA, 9–13 April 2017; Volume 10177. [Google Scholar] [CrossRef]
- Teledyne Judson Technologies. MWIR InAsSb SLS Detectors. Available online: http://www.teledynejudson.com/news/Documents/TJT%20SLS%20detector%20data%20charts%2009192017%20Final%20101317.pdf (accessed on 24 September 2020).
- Available online: https://www.hamamatsu.com/resources/pdf/ssd/infrared_kird0001e.pdf (accessed on 24 September 2020).
- White, A.M. Infrared Detectors. U.S. Patent 4,679,063, 22 September 1983. (US4679063A, 7 July 1987). [Google Scholar]
- Klipstein, P.C. Depletionless Photodiode with Suppressed Dark Current and Method for Producing the Same. U.S. Patent 7,795,640, 2 July 2003. (US7928473B2, 19 April 2011). [Google Scholar]
- Maimon, S.; Wicks, G.W. nBn detector, an infrared detector with reduced dark current and higher operating temperature. Appl. Phys. Lett. 2006, 89, 151109. [Google Scholar] [CrossRef]
- Klipstein. P. “XBn” barrier photodetectors for high sensitivity and high operating temperature infrared sensors. In Proceedings of the SPIE Defense and Security Conference, Orlando, FL, USA, 21 March 2008; Volume 6940, p. 69402.
- Ting, D.Z.; Hill, C.J.; Soibel, A.; Nguyen, J.; Keo, S.A.; Lee, M.C.; Mumolo, J.M.; Liu, J.K.; Gunapala, S.D. Antimonide-based barrier infrared detectors. SPIE Def. Secur. Sens. 2010, 7660. [Google Scholar] [CrossRef]
- Savich, G.; Pedrazzani, J.; Sidor, D.; Wicks, G. Benefits and limitations of unipolar barriers in infrared photodetectors. Infrared Phys. Technol. 2013, 59, 152–155. [Google Scholar] [CrossRef]
- Klipstein, P.; Klin, O.; Grossman, S.; Snapi, N.; Lukomsky, I.; Aronov, D.; Yassen, M.; Glozman, A.; Fishman, T.; Berkowicz, E.; et al. XBn barrier photodetectors based on InAsSb with high operating temperatures. Opt. Eng. 2011, 50, 061002. [Google Scholar] [CrossRef]
- Savich, G.R.; Pedrazzani, J.R.; Sidor, D.E.; Maimon, S.; Wicks, G. Use of unipolar barriers to block dark currents in infrared detectors. SPIE Def. Secur. Sens. 2011, 8012, 8022. [Google Scholar] [CrossRef]
- Martyniuk, P.; Rogalski, A. HOT infrared photodetectors. Opto Electron. Rev. 2013, 21, 239–257. [Google Scholar] [CrossRef]
- Klipstein, P. XBnn and XBpp infrared detectors. J. Cryst. Growth 2015, 425, 351–356. [Google Scholar] [CrossRef]
- Rodriguez, J.B.; Plis, E.; Bishop, G.R.; Sharma, Y.D.; Kim, H.; Dawson, L.R.; Krishna, S. nBn structure based on InAs∕GaSb type-II strained layer superlattices. Appl. Phys. Lett. 2007, 91, 043514. [Google Scholar] [CrossRef]
- Khoshakhlagh, A.; Myers, S.T.; Plis, E.; Kutty, M.N.; Klein, B.; Gautam, N.; Kim, H.; Smith, E.P.G.; Rhiger, D.R.; Johnson, S.M.; et al. Mid-wavelength InAsSb detectors based on nBn design. In Proceedings of the Infrared Technology and Applications XXXVI, Orlando, FL, USA, 5–9 April 2010; Volume 7660. [Google Scholar] [CrossRef]
- Weiss, E.; Klin, O.; Grossmann, S.; Snapi, N.; Lukomsky, I.; Aronov, D.; Yassen, M.; Berkowicz, E.; Glozman, A.; Klipstein, P.C.; et al. InAsSb-based XBnn bariodes grown by molecular beam epitaxy on GaAs. J. Cryst. Growth 2012, 339, 31–35. [Google Scholar] [CrossRef]
- Martyniuk, P.; Rogalski, A. Modeling of InAsSb/AlAsSb nBn HOT Detector’s Performance Limit; SPIE Press: Bellingham, WA, USA, 2013; Volume 8704. [Google Scholar]
- D’Souza, A.I.; Robinson, E.; Ionescu, A.C.; Okerlund, D.; De Lyon, T.; Rajavel, R.D.; Sharifi, H.; Dhar, N.K.; Wijewarnasuriya, P.S.; Grein, C. MWIR InAsSb barrier detector data and analysis. SPIE Def. Secur. Sens. 2013, 8704, 87041. [Google Scholar] [CrossRef]
- Shtrichman, I.; Aronov, D.; Ben Ezra, M.; Barkai, I.; Berkowicz, E.; Brumer, M.; Fraenkel, R.; Glozman, A.; Grossman, S.; Jacobsohn, E.; et al. High operating temperature epi-InSb and XBn-InAsSb photodetectors. SPIE Def. Secur. Sens. 2012, 8353. [Google Scholar] [CrossRef]
- Martyniuk, P.; Rogalski, A. Performance comparison of barrier detectors and HgCdTe photodiodes. Opt. Eng. 2014, 53, 105–106. [Google Scholar] [CrossRef]
- Soibel, A.; Ting, D.Z.; Hill, C.J.; Fisher, A.M.; Hoglund, L.; Keo, S.; Gunapala, S.D. Mid-wavelength infrared InAsSb/InSb nBn detector with extended cut-off wavelength. Appl. Phys. Lett. 2016, 109, 103–505. [Google Scholar] [CrossRef]
- Ting, D.Z.; Soibel, A.; Khoshakhlagh, A.; Keo, S.A.; Rafol, S.B.; Fisher, A.M.; Hill, C.J.; Luong, E.M.; Pepper, B.J.; Gunapala, S.D. The emergence of InAs/InAsSb type-II strained layer superlattice barrier infrared detectors. In Proceedings of the Infrared Technology and Applications XLV, Baltimore, MD, USA, 14–18 April 2019; Volume 11002. [Google Scholar] [CrossRef]
- Baril, N.; Brown, A.; Tidrow, M.; Lubyshev, D.; Qui, Y.; Fastenau, J.M.; Liu, A.; Bandara, S.; Maloney, P. Bulk InAsxSb1−x nBn photodetectors with greater than 5 μm cutoff on GaSb. Appl. Phys. Lett. 2016, 109, 122104. [Google Scholar] [CrossRef]
- Ting, D.Z.; Soibel, A.; Höglund, L.; Hill, C.J.; Keo, S.A.; Fisher, A.; Gunapala, S.D. High-Temperature Characteristics of an InAsSb/AlAsSb n+Bn Detector. J. Electron. Mater. 2016, 45, 4680–4685. [Google Scholar] [CrossRef]
- Steenbergen, E.H. Strain-balanced InAs-InAsSb Type-II Superlattices on GaSb Substrates for Infrared Photodetector Applications, Arizona State University. Available online: https://repository.asu.edu/items/14558 (accessed on 24 September 2020).
- Kim, H.S.; Cellek, O.O.; Lin, Z.-Y.; He, Z.-Y.; Zhao, X.-H.; Liu, S.; Li, H.; Zhang, Y.-H. Long-wave infrared nBn photodetectors based on InAs/InAsSb type-II superlattices. Appl. Phys. Lett. 2012, 101, 161114. [Google Scholar] [CrossRef]
- Hoang, A.M.; Chen, G.; Chevallier, R.; Haddadi, A.; Razeghi, M. High performance photodiodes based on InAs/InAsSb type-II superlattices for very long wavelength infrared detection. Appl. Phys. Lett. 2014, 104, 251105. [Google Scholar] [CrossRef]
- Haddadi, A.; Chen, G.; Chevallier, R.; Hoang, A.M.; Razeghi, M. InAs/ InAs1−xSbx type-II superlattices for high performance long wavelength infrared detection. Appl. Phys. Lett. 2014, 105, 121104. [Google Scholar] [CrossRef]
- Haddadi, A.; Chevallier, R.; Chen, G.; Hoang, A.M.; Razeghi, M. Bias-selectable dual-band mid-/long-wavelength infrared photodetectors based on InAs/InAs1−xSbx type-II superlattices. Appl. Phys. Lett. 2015, 106, 011104. [Google Scholar] [CrossRef]
- Haddadi, A.; Dehzangi, A.; Adhikary, S.; Chevallier, R.; Razeghi, M. Background–limited long wavelength infrared InAs/InAs1−xSbx type-II superlattice-based photodetectors operating at 110 K. APL Mater. 2017, 5, 035502. [Google Scholar] [CrossRef]
- Haddadi, A.; Dehzangi, A.; Chevallier, R.; Adhikary, S.; Razeghi, M. Bias-selectable nBn dual-band long-/very long-wavelength infrared photodetectors based on InAs/InAs1−xSbx/AlAs1−xSbxtype-II superlattices. Sci. Rep. 2017, 7, 33–79. [Google Scholar] [CrossRef] [PubMed]
- Singh, A.; Pal, R. Performance Simulation of Unipolar InAs/InAs1−xSbx Type-II Superlattice Photodetector. J. Electron. Mater. 2018, 47, 4653–4662. [Google Scholar] [CrossRef]
- Perez, J.-P.; Durlin, Q.; Cervera, C.; Christol, P. New Ga-Free InAs/InAsSb Superlattice Infrared Photodetector. In Proceedings of the 6th International Conference on Photonics, Optics and Laser Technology, Madeira, Portugal, 25–27 January 2018; pp. 232–237. [Google Scholar]
- Ting, D.Z.; Soibel, A.; Khoshakhlagh, A.; Rafol, S.B.; Keo, S.; Höglund, L.; Fisher, A.M.; Luong, E.M.; Gunapala, S.D. Mid-wavelength high operating temperature barrier infrared detector and focal plane array. Appl. Phys. Lett. 2018, 113, 021101. [Google Scholar] [CrossRef]
- Ting, D.Z.; Rafol, S.B.; Keo, S.; Nguyen, J.; Khoshakhlagh, A.; Soibel, A.; Hoglund, L.; Fisher, A.M.; Luong, E.M.; Mumolo, J.; et al. InAs/InAsSb Type-II Superlattice Mid-Wavelength Infrared Focal Plane Array With Significantly Higher Operating Temperature Than InSb. IEEE Photon. J. 2018, 10, 1–6. [Google Scholar] [CrossRef]
- Wu, D.; Dehzangi, A.; Zhang, Y.Y.; Razeghi, M. Demonstration of long wavelength infrared type-II InAs/InAs1−xSbx superlattices photodiodes on GaSb substrate grown by metalorganic chemical vapor deposition. Appl. Phys. Lett. 2018, 112, 241103. [Google Scholar] [CrossRef]
- Wu, D.; Durlin, Q.; Dehzangi, A.; Zhang, Y.; Razeghi, M. High quantum efficiency mid-wavelength infrared type-II InAs/InAs1−xSbx superlattice photodiodes grown by metal-organic chemical vapor deposition. Appl. Phys. Lett. 2019, 114, 011104. [Google Scholar] [CrossRef]
- Durlin, Q.; Perez, J.; Cerutti, L.; Rodriguez, J.; Cerba, T.; Baron, T.; Tournié, E.; Christol, P. Midwave infrared barrier detector based on Ga-free InAs/InAsSb type-II superlattice grown by molecular beam epitaxy on Si substrate. Infrared Phys. Technol. 2019, 96, 39–43. [Google Scholar] [CrossRef]
- Wu, D.; Li, J.; Dehzangi, A.; Razeghi, M. Mid-wavelength infrared high operating temperature pBn photodetectors based on type-II InAs/InAsSb superlattice. AIP Adv. 2020, 10, 025018. [Google Scholar] [CrossRef]
- Delli, E.; Letka, V.; Hodgson, P.D.; Repiso, E.; Hayton, J.P.; Craig, A.P.; Lu, Q.; Beanland, R.; Krier, A.; Marshall, A.R.J.; et al. Mid-Infrared InAs/InAsSb Superlattice nBn Photodetector Monolithically Integrated onto Silicon. ACS Photon. 2019, 6, 538–544. [Google Scholar] [CrossRef]
- Wu, D.; Dehzangi, A.; Li, J.; Razeghi, M. High performance Zn-diffused planar mid-wavelength infrared type-II InAs/InAs1−xSbx superlattice photodetector by MOCVD. Appl. Phys. Lett. 2020, 116, 161108. [Google Scholar] [CrossRef]
- Haddadi, A.; Suo, X.V.; Adhikary, S.; Dianat, P.; Chevallier, R.; Hoang, A.M.; Razeghi, M. High-performance short-wavelength infrared photodetectors based on type-II InAs/InAsxSb1−x/AlAs1−xSbx superlattices. Appl. Phys. Lett. 2015, 107, 141104. [Google Scholar] [CrossRef]
- Gomółka, E.; Kopytko, M.; Markowska, O.; Michalczewski, K.; Kubiszyn, Ł.; Kębłowski, A.; Jureńczyk, J.; Gawron, W.; Martyniuk, P.; Piotrowski, J.; et al. Electrical and optical performance of midwave infrared InAsSb heterostructure detectors. Opt. Eng. 2018, 57, 027107. [Google Scholar] [CrossRef]
- Soibel, A.; Keo, S.; Fisher, A.; Hill, C.J.; Luong, E.; Ting, D.Z.; Gunapala, S.D.; Lubyshev, D.; Qiu, Y.; Fastenau, J.M.; et al. High operating temperature nBn detector with monolithically integrated microlens. Appl. Phys. Lett. 2018, 112, 041105. [Google Scholar] [CrossRef]
- Piotrowski, J.; Rogalski, A. High-Operating-Temperature Infrared Photodetectors; SPIE Press: Bellingham, WA, USA, 2007. [Google Scholar]
- Khoshakhlagh, A.; Rodriguez, J.-B.; Plis, E.; Dawson, L.; Bishop, G.D.; Sharma, Y.D.; Kim, H.S.; Krishna, S. Bias dependent dual band response from InAs/Ga(In)Sb type II strain layer superlattice detectors. Appl. Phys. Lett. 2007, 91, 263–504. [Google Scholar] [CrossRef]
- Plis, E.; Myers, S.A.; Ramirez, D.A.; Krishna, S. Development of dual-band barrier detectors. In Proceedings of the Infrared Technology and Applications XLII, Baltimore, MD, USA, 17–21 April 2016; Volume 9819. [Google Scholar] [CrossRef]
- Schuler-Sandy, T.; Myers, S.; Klein, B.; Gautam, N.; Ahirwar, P.; Tian, Z.-B.; Rotter, T.; Balakrishnan, G.; Plis, E.; Krishna, S. Gallium free type II InAs/InAsxSb1−x superlattice photodetectors. Appl. Phys. Lett. 2012, 101, 071111. [Google Scholar] [CrossRef]
- Michalczewski, K.; Ivaldi, F.; Kubiszyn, Ł.; Benyahia, D.; Ciosek, J.; Boguski, J.; Kębłowski, A.; Martyniuk, P.; Piotrowski, J.; Rogalski, A. Long term stability study of InAsSb mid-wave infrared HOT detectors passivated through two step passivation technique. In Proceedings of the 13th Conference on Integrated Optics, Sensors, Sensing Structures, and Methods, Szczyrk, Poland, 14 August 2018. [Google Scholar]
- Chevallier, R.; Haddadi, A.; Razeghi, M. Dark current reduction in microjunction-based double electron barrier type-II InAs/InAsSb superlattice long-wavelength infrared photodetectors. Sci. Rep. 2017, 7, 12617. [Google Scholar] [CrossRef]
- Hossain, K.; Höglund, L.; Phinney, L.C.; Golding, T.D.; Wicks, G.; Khoshakhlagh, A.; Ting, D.Z.-Y.; Soibel, A.; Gunapala, S.D. Hydrogenation Defect Passivation for Improved Minority Carrier Lifetime in Midwavelength Ga-Free InAs/InAsSb Superlattices. J. Electron. Mater. 2016, 45, 5626–5629. [Google Scholar] [CrossRef]
- Klipstein, P.C.; Avnon, E.; Benny, Y.; Fraenkel, R.; Glozman, A.; Grossman, S.; Klin, O.; Langoff, L.; Livneh, Y.; Lukomsky, I.; et al. InAs/GaSb Type II superlattice barrier devices with a low dark current and a high-quantum efficiency. In Proceedings of the Infrared Technology and Applications XL, Baltimore, MD, USA, 24 June 2014. [Google Scholar]
- Ting, D.Z.; Hill, C.J.; Soibel, A.; Keo, S.; Mumolo, J.; Nguyen, J.; Gunapala, S.D. A high-performance long wavelength superlattice complementary barrier infrared detector. Appl. Phys. Lett. 2009, 95, 023508. [Google Scholar] [CrossRef]
- Ting, D.Z.; Soibel, A.; Khoshakhlagh, A.; Keo, S.; Rafol, S.B.; Fisher, A.M.; Pepper, B.J.; Luong, E.M.; Hill, C.J.; Gunapala, S.D. Antimonide e-SWIR, MWIR, and LWIR barrier infrared detector and focal plane array development. In Proceedings of the Infrared Technology and Applications XLIV, Orlando, FL, USA, 15–19 April 2018; Volume 10624. [Google Scholar] [CrossRef]
- Hood, A.D.; Evans, A.J.; Ikhlassi, A.; Lee, D.L.; Tennant, W.E. LWIR Strained-Layer Superlattice Materials and Devices at Teledyne Imaging Sensors. J. Electron. Mater. 2010, 39, 1001–1006. [Google Scholar] [CrossRef]
- Deng, G.; Chen, D.; Yang, S.; Yang, C.; Yuan, J.; Yang, W.; Zhang, Y. High operating temperature pBn barrier mid-wavelength infrared photodetectors and focal plane array based on InAs/InAsSb strained layer superlattices. Opt. Express 2020, 28, 17611. [Google Scholar] [CrossRef] [PubMed]
- Craig, A.P.; Jain, M.; Wicks, G.; Golding, T.; Hossain, K.; McEwan, K.; Howle, C.; Percy, B.; Marshall, A.R.J. Short-wave infrared barriode detectors using InGaAsSb absorption material lattice matched to GaSb. Appl. Phys. Lett. 2015, 106, 201103. [Google Scholar] [CrossRef]
- Savich, G.R.; Sidor, D.E.; Du, X.; Wicks, G.; Debnath, M.C.; Mishima, T.D.; Santos, M.B.; Golding, T.D.; Jain, M.; Craig, A.P.; et al. III-V semiconductor extended short-wave infrared detectors. J. Vac. Sci. Technol. B 2017, 35. [Google Scholar] [CrossRef]
- MacDougal, M.H.; Hood, A.; Thomas, J.; Wicks, G.; Golding, T.; Huang, E.K. Thermoelectrically-cooled extended-SWIR FPAs using unipolar barrier detectors. In Proceedings of the Infrared Technology and Applications XLIV, Orlando, FL, USA, 15–19 April 2018. [Google Scholar] [CrossRef]
- Yuan, H.H.; Kimchi, J.; Lei, J.; Rangel, E.; Dreiske, P.; Ikhlassi, A.; Kim, J. HOT MWIR InAs/InAsSb T2SL discrete photodetector development. In Proceedings of the Infrared Technology and Applications XLIV, Orlando, FL, USA, 15–19 April 2018. [Google Scholar] [CrossRef]
- Soibel, A.; Ting, D.Z.; Rafol, S.B.; Fisher, A.M.; Keo, S.A.; Khoshakhlagh, A.; Gunapala, S.D. Mid-wavelength infrared InAsSb/InAs nBn detectors and FPAs with very low dark current density. Appl. Phys. Lett. 2019, 114, 161103. [Google Scholar] [CrossRef]
- Hao, R.; Ren, Y.; Liu, S.; Guo, J.; Wang, G.; Xu, Y.; Niu, Z. Fabrication and characterization of high lattice matched InAs/InAsSb superlattice infrared photodetector. J. Cryst. Growth 2017, 470, 33–36. [Google Scholar] [CrossRef]
- Plis, E.; Myers, S.; Ramirez, D.; Schuler-Sandy, T.; Krishna, S. Dark current reduction in InAs/InAsSb superlattice mid-wave infrared detectors through restoration etch. Electron. Lett. 2015, 51, 2009–2010. [Google Scholar] [CrossRef]
- Soibel, A.; Hill, C.J.; Keo, S.A.; Höglund, L.; Rosenberg, R.; Kowalczyk, R.; Khoshakhlagh, A.; Fisher, A.; Ting, D.Z.; Gunapala, S.D. Room temperature performance of mid-wavelength infrared InAsSb nBn detectors. Appl. Phys. Lett. 2014, 105, 023512. [Google Scholar] [CrossRef]
- Craig, A.P.; Thompson, M.D.; Tian, Z.-B.; Krishna, S.; Krier, A.; Marshall, A.R. InAsSb-based nBn photodetectors: Lattice mismatched growth on GaAs and low-frequency noise performance. Semicond. Sci. Technol. 2015, 30, 105011. [Google Scholar] [CrossRef]
- Rogalski, A.; Antoszewski, J.; Faraone, L. Third-generation infrared photodetector arrays. J. Appl. Phys. 2009, 105, 091101. [Google Scholar] [CrossRef]
- Razeghi, M. Sb-based third generation at Center for Quantum Devices. In Proceedings of the Infrared Technology and Applications XLVI, Anaheim, CA, USA, 26–30 April 2020; Volume 114070T. [Google Scholar]
- Adams, A.; Rittenberg, E. Advances in detectors: HOT ir sensors improve IR camera size, weight, and power. Laser Focus World 2014, 50, 83. [Google Scholar]
- Klipstein, P.C.; Gross, Y.; Aronov, D.; Ben Ezra, M.; Berkowicz, E.; Cohen, Y.; Fraenkel, R.; Glozman, A.; Grossman, S.; Klin, O.; et al. Low SWaP MWIR detector based on XBn focal plane array. In Proceedings of the Infrared Technology and Applications XXXIX, Baltimore, MD, USA, 29 April–3 May 2013; Volume 87041S. [Google Scholar]
- Gershon, G.; Avnon, E.; Brumer, M.; Freiman, W.; Karni, Y.; Niderman, T.; Ofer, O.; Rosenstock, T.; Seref, D.; Shiloah, N.; et al. 10 μm pitch family of InSb and XBn detectors for MWIR imaging. In Proceedings of the Infrared Technology and Applications XLIII, Anaheim, CA, USA, 9–13 April 2017; Volume 10177. [Google Scholar] [CrossRef]
- Klipstein, P.C.; Avnon, E.; Benny, Y.; Berkowicz, E.; Cohen, Y.; Dobromislin, R.; Fraenkel, R.; Gershon, G.; Glozman, A.; Hojman, E.; et al. Development and Production of Array Barrier Detectors at SCD. J. Electron. Mater. 2017, 46, 5386–5393. [Google Scholar] [CrossRef]
- Caulfield, J.; Curzan, J.; Lewis, J.; Dhar, N. Small pixel oversampled IR focal plane arrays. In Proceedings of the Infrared Technology and Applications XLI, Baltimore, MD, USA, 20–24 April 2015; Volume 9451. [Google Scholar] [CrossRef]
- Savich, G.R.; Pedrazzani, J.R.; Sidor, D.E.; Maimon, S.; Wicks, G. Dark current filtering in unipolar barrier infrared detectors. Appl. Phys. Lett. 2011, 99, 121112. [Google Scholar] [CrossRef]
- Gunapala, S.D.; Rafol, S.B.; Ting, D.Z.; Soibel, A.; Khoshakhlagh, A.; Keo, S.A.; Pepper, B.J.; Fisher, A.M.; Hill, C.J.; Luong, E.; et al. Infrared Digital Focal Plane Arrays for Earth Remote Sensing Instruments. Proceedings 2019, 27, 54. [Google Scholar] [CrossRef]
- Gunapala, S.D.; Ting, D.Z.; Rafol, S.B.; Soibel, A.; Khoshakhlagh, A.; Keo, S.A.; Pepper, B.J.; Fisher, A.M.; Hill, C.J.; Pagano, T.; et al. Antimonides T2SL mid-wave and long-wave infrared focal plane arrays for Earth remote sensing applications. In Proceedings of the Quantum Sensing and Nano Electronics and Photonics XVII, San Francisco, CA, USA, 1–6 February 2020; Volume 112880. [Google Scholar]










































































| Category | MBE | MOCVD |
|---|---|---|
| Growth | Fast switching for proper interfaces. | High growth rate for bulk layers. |
| Able to grow thermodynamically forbidden materials. | Growth near thermodynamic equilibrium, excellent quality/crystallinity. | |
| No hydrogen passivation, no burn in inherent to MOCVD. | Ability to control background doping. | |
| Uniformity easier to tune, largely set by reactor geometry. | ||
| Economic | Longer individual campaigns, less setup variability. | Shorter maintenance periods. |
| More flexibility for source and reactor configuration changes. | ||
| Overhead does not scale with run rate. Contribution per wafer increases with wafer volume. | Economic to idle. Overhead cost scales with run rate. | |
| Lower material cost/wafer. | Higher safety risk, increasing scrutiny of legislative bodies worldwide. |
| Semiconductor | Si | Ge | GaAs | AlAs | InP | InGaAs | AlInAs | InAs | GaSb | AlSb | InSb | HgTe | CdTe |
|---|---|---|---|---|---|---|---|---|---|---|---|---|---|
| Family | IV | IV | III–V | III–V | III–V | III–V | III–V | III–V | III–V | III–V | III–V | II–VI | II–VI |
| Lattice constant (Å)/structure | 5.431 (D) | 5.658 (D) | 5.653 (ZB) | 5.661 (ZB) | 5.870 (ZB) | 5.870 (ZB) | 5.870 (ZB) | 6.058 (ZB) | 6.096 (ZB) | 6.136 (ZB) | 6.479 (ZB) | 6.453 (ZB) | 6.476 (ZB) |
| Bulk modulus (Gpa) | 98 | 75 | 75 | 74 | 71 | 69 | 66 | 58 | 56 | 55 | 47 | 43 | 42 |
| Band gap (eV) | 1.124 (id) | 0.660 (id) | 1.426 (d) | 2.153 (id) | 1.350 (d) | 0.735 (d) | 0.354 (d) | 0.730 (d) | 1.615 (id) | 0.175 (d) | −0.141 (d) | 1.475 (d) | |
| Electron effective mass | 0.26 | 0.39 | 0.067 | 0.29 | 0.077 | 0.041 | 0.024 | 0.042 | 0.14 | 0.014 | 0.028 | 0.090 | |
| Hole effective mass | 0.19 | 0.12 | 0.082 (L) 0.45 (H) | 0.11 (L) 0.40 (H) | 0.12 (L) 0.55 (H) | 0.05 (L) 0.60 (H) | 0.025 (L) 0.37 (H) | 0.4 | 0.98 | 0.018 (L) 0.4 (H) | 0.40 | 0.66 | |
| Electron mobility (cm2/Vs) | 1450 | 3900 | 8500 | 294 | 5400 | 13800 | 3 × 104 | 5000 | 200 | 8 × 104 | 26500 | 1050 | |
| Hole mobility (cm2/Vs) | 505 | 1900 | 400 | 105 | 180 | 500 | 880 | 420 | 800 | 320 | 104 | ||
| Electron saturation velocity (107 cm/s) | 1.0 | 0.70 | 1.0 | 0.85 | 1.0 | 4.0 | 4.0 | ||||||
| Thermal cond. (W/cmK) | 1.31 | 0.31 | 0.5 | 0.7 | 0.27 | 0.4 | 0.7 | 0.15 | 0.06 | ||||
| Relative dielectric constant | 11.9 | 16.0 | 12.8 | 10.0 | 12.5 | 15.1 | 15.7 | 12.0 | 17.9 | 21 | 10.2 | ||
| Substrate | Si, Ge | GaAs | InP | InAs, GaSb | InSb | CdZnTe, GaAs, Si | |||||||
| MW/LW detection mechanism | Heterojunction internal photoemission | QWIP, QDIP | QWIP | Bulk (MW) Superllatice (MW/LW) Band-to-band (B-B) | Bulk BtB | Bulk BtB | |||||||
| T(K) | InAs | InSb | GaSb | InAs0.35Sb0.65 | |
|---|---|---|---|---|---|
| Lattice structure | cub.(ZnS) | cub.(ZnS) | cub.(ZnS) | cub.(ZnS) | |
| Lattice constant a (nm) | 300 | 0.60584 | 0.647877 | 0.6094 | 0.636 |
| Thermal expansion coefficient α (10−6 K−1) | 300 80 | 5.02 | 5.04 6.50 | 6.02 | |
| Density ρ (g/cm3) | 300 | 5.68 | 5.7751 | 5.61 | |
| Melting point Tm (K) | 1210 | 803 | 985 | ||
| Energy gap Eg (eV) | 4.2 | 0.42 | 0.2357 | 0.822 | 0.138 |
| 80 | 0.414 | 0.228 | 0.136 | ||
| 300 | 0.359 | 0.180 | 0.725 | 0.100 | |
| Thermal coefficient of Eg | 100–300 | –2.8 × 10−4 | –2.8 × 10−4 | ||
| Effective masses: | |||||
| 4.2 | 0.023 | 0.0145 | 0.042 | ||
| 300 | 0.022 | 0.0116 | 0.0101 | ||
| 4.2 | 0.026 | 0.0149 | |||
| 4.2 | 0.43 | 0.41 | 0.28 | 0.41 | |
| Momentum matrix element P (eVcm) | 9.2 × 10−8 | 9.4 × 10−8 | |||
| Mobilities: | 77 | 8 × 104 | 106 | ||
| μe (cm2/Vs) | 300 | 3 × 104 | 8 × 104 | 5 × 103 | 5 × 105 |
| 77 | 1 × 104 | 2.4 × 103 | 5 × 104 | ||
| μh (cm2/Vs) | 300 | 500 | 800 | 880 | |
| Intrinsic carrier concentration ni (cm−3) | 77 | 6.5 × 103 | 2.6 × 109 | 2.0 × 1012 | |
| 200 | 7.8 × 1012 | 9.1 × 1014 | 8.6 × 1015 | ||
| 300 | 9.3 × 1014 | 1.9 × 1016 | 4.1 × 1016 | ||
| Refractive index nr | 3.44 | 3.96 | 3.8 | ||
| Static dielectric constant εs | 14.5 | 17.9 | 15.7 | ||
| High frequency dielectric constant ε∞ | 11.6 | 16.8 | 14.4 | ||
| Optical phonons: | |||||
| LO (cm−1) | 242 | 193 | ≈220 | ||
| TO (cm−1) | 220 | 185 | ≈200 |
| SL Period [nm] | Polarity | Size [µm] | Absorber Thickness [µm] | T [K] | λc [µm] | Jd (T,Vb) [A/cm2] | Rv (λ,T,Vb);QE [A/W] | D*( λ, T, Vb) [cmHz1/2/W] | References | |
|---|---|---|---|---|---|---|---|---|---|---|
| InAs/InAs0.62Sb0.38 | 18.4 | nBn | s = 410 | 2.2 | 77 | 13.2 | 5 × 10−4 (77, −0.3 V) | 0.24 (12, 77, −0.3) | 1 × 108 (12, 77, −0.3) | Kim et al. [163] |
| InAs/InAs0.57Sb0.43 | 14.7 | d = 100–400 | 2.3 | 77 | 14.6 | 0.7 (77, −0.3 V) | 4.8 (12.8, 77, −0.3); ~46% | 4.6 × 1011 (4.5, 150, −0.2) | Hoang et al. [164] | |
| InAs/InAs0.45Sb0.55 | 10.5 | pN | s = 100–400 | 2.6 | 77 | 10 | 4.4 × 10−4 (77, −0.09 V) | 3.5 (7.9, 77, −0.09); ~54% | 2.8 × 1011 (7.9, 77, −0.09) | Haddadi et al. [165] |
| Dual band InAs/AlAs/InAs/ InAs0.48Sb0.52 InAs/InAs0.48Sb0.52 | 6.3 10.5 | nBn | s = 100–400 | 2 | 77 | 5.1 9.5 | 1 × 10−7 (77, 0.1 V) 5.7 × 10−4 (77, −0.15 V) | 1.5 (4, 77, 0.1); ~45% 2.25 (7, 77, −0.15); ~40% | 8.2 × 1012 (4, 77, 0.1) 1.6 × 1011 (7, 77, −0.15) | Haddadi et al. [166] |
| InAs/InAs0.50Sb0.50 | 12 | nBn | s = 100–400 | 2 | 77 | 10 | 8 × 10−5 (77, −0.08 V) | 2.65 (7.5, 77, −0.8); ~43% | 4.7 × 1011 (7.5, 77, −0.08) | Haddadi et al. [167] |
| Dual band InAs/AlAs/InAs/ InAs0.48Sb0.52 InAs/InAs0.48Sb0.52 | 22 25 | nBn | s = 100–400 | 4 | 77 | 8.7 12.5 | 1.13 × 10−6 (77, 0.04 V) 1.7 × 10−4 (77, −0.1 V) | 3.37A/W (6.45, 77, 0.04); 65% 3.7 A/W (9, 77, −0.1); 50% | 5.1 × 1012 (6.45, 77, 0.04) 4.5 × 1011 (9, 77, −0.1) | Haddadi et al. [168] |
| InAs/InAsSb T2SLs | d = 0.25, 1 | 208 | 5.0 | 1 × 10−4 (208, −0.3 V) | 1.35 (4.1, 208, −0.3 V) | 2.6 × 1010 (4.1, 208, −0.3 V) | Teledyne Judson [139] | |||
| InAs/InAs0.65Sb0.35 | 5.5 | nBn | d = 60–300 | 3 | 150 | 4.6 | 4 × 10−5 (150, −2.5 V) | Perez et al. [170] | ||
| InAs/InAs0.66Sb0.34 | 5 | nBn | s = 250 | 2.6 | 150 | 5.4 | 4.5 × 10−4 (150, −0.2 V) | ~52% | 4.6 × 1011 (4.5, 150, −0.2 V) | Ting et al. [171,172] |
| InAs/InAs0.65Sb0.35 | 12 | pin | s = 400 | 2 | 77 | 8.0 | 9 × 10−4 (77, −20 mV) | 1.26 (7.5, 77, −); ~21% | 5.4 × 1010 (7.5, 77, −) | Wu et al. [173] |
| InAs/InAs0.79Sb0.21 | 6.6 | pin | 0.2–1.9 | 150 | 5.0 | 3.3 × 10−4 (150, −20 mV) | 1.76 (4, 150, 0); ~55% | 1.2 × 1011 (4, 150, −0.02) | Wu et al. [174] | |
| InAs/InAs0.65Sb0.35 | 5.15 | nBn | d = 60–310 | 3 | 150 | 5 | 1 × 10−3 (150, −0.5 V) | Durlin et al. [175] | ||
| InAs/InAs0.5Sb0.5 | 7.4 | pBn | d = 100–400 | 2.1 | 150 | 4.4 | 1.16 × 10−5 (150, −0.05 V) | 1.48 (4.4, 150, −0.05); 47% | 7.1 × 1011 (4.4, 150, −0.05) | Wu et al. [176] |
| InAs/InAs0.84Sb0.16 monolithically Si-integrated | 13.3 | nBn | d = 50 | 4 | 200 | 5.5 | 1.4 × 10−2 (200, −0.1) | 0.88 (5, 200, −0.1); 25% | 1.5 × 1010 (5.0, 200, −0.1) | Delli et al. [177] |
| InAs/InAs0.8Sb0.2 | 13.5 | p-n | d = 320 | 1 | 150 | 4.5 | 9.1 × 10−6 | 0.78 (4.5, 150); 25% | 3.4 × 1011 (4.5, 150) | Wu et al. [178] |
| InAs/AlAsSb/InAs/InAsSb/ AlAsSb/InAsSb | - | p-i-n | s = 100–400 | 1 | 300 | 1.8 | 9.6 × 10−5 (300, −0.05) | 0.47 (1.8, 300); 37% | 6.45 × 1010 (1.8, 300, −0.05) | Haddadi et al. [179] |
| Flat-Band Energy Diagrams | Example of Detector Structure | Description | Reference |
|---|---|---|---|
nBn![]() | ![]() | The top contact, absorber, and bottom contact layers are built of of T2SLs InAs/InAsSb. As a unipolar barrier located between the top contact and absorber, about 100-nm thick AlAsSb Be-doped to 1015 cm−3 is used. The top contact and absorber layers are n.i.d while the bottom contact is Te-doped to 1017 cm−3. | [171] |
pBn barrier![]() | ![]() | The epitaxial growth starts with a 700 nm thick n+-doped GaSb/InAs0.91Sb0.09 buffer layer, next a 500 nm thick n+-doped bottom contact layer, a 2.1 μm n.i.d active layer, a 500 nm electron barrier, and a 300 nm thick p-type top contact. The top/bottom contacts and active layer are built of T2SLs InAs/InAsSb. Si and Be are used for n-type and p-type dopants, respectively. | [176] |
pBp![]() | ![]() | The contact layers and absorber are built of T2SLs InAs/GaSb. The barrier layer is based on a T2SLs InAs/AlSb. The proper lattice match to the GaSb substrate is ensured by InSb-like interfaces. | [189] |
CBIRD (Complementary barrier infrared detector)![]() | ![]() | The detector is built of a lightly p-type T2SLs InAs/GaSb active layer being sandwiched between n-type T2SLs InAs/AlSb hole barrier (hB) and wider T2SLs InAs/GaSb electron barrier (eB). The barriers are designed to exhibit zero CBO and VBO in relation to the active layer. A heavily doped n-type InAsSb layer adjacent to the eB plays the role of the bottom contact. The SRH and trap-assisted tunneling (TAT) are reduced by the N-p heterojunction between the hB and active layer. | [190] |
![]() nBn Detector Array Architecture | ![]() IRC912 nBn (IRCameras) sales@ircameras.com | ![]() Blackbird XBn HOT (SCD) https://www.scd.co.il/products/ |
| Parameter | Performance | |
| Array format | 1280 × 1024 | 1280 × 1024 |
| Pixel pitch | 12 μm | 10 μm |
| FPA temperature | 150 K | |
| FPA spectral range | 1–5.3 μm | 1–4.2 μm |
| NEDT | <35 mK | <25 mK at 70% well fill capacity |
| Well capacity | 2 Me− | 0.3 Me−, 0.2 Me−, 02 Me−, 3.5 Me−, |
| Maximum frame rate | 119 | 60 Hz full frame |
| Optics | f/2.3, f/4 | f/1.5, f/2, f/3.4, f/4 |
| Cooler options | 5 W | Rotary 0.5W cooler (standard) |
| Weight | <7 pounds | ~720 gr. |
| Size | 5.1″ × 5.8″ × 8″ | Length (optical axis) −140 mm |
| MWIR | LWIR | |
|---|---|---|
| Format | 640 × 512 | 640 × 512 |
| Pixel size | 24 × 24 µm2 | 24 × 24 µm2 |
| Cut-off wavelength | 5.37 μm (160 K) | 12.5 µm (60 K) |
| Quantum efficiency | 52% (150 K, no A/R coating) | 30% (60 K) |
| Dark current | 9.6 × 10−5 A/cm2 (−0.2 V, 157 K) (~4.5 × Rule’07) | 2.6 × 10−5 A/cm2 (−0.05 V, 60 K) |
| Detectivity | 3 × 1011 Jones (150 K, f/2 optics, 300 K background) | |
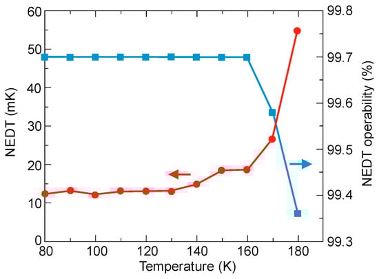
| NEDT | 18.7 mK (160 K); 26.6 mK (170 K) | 16.3 mK (62 K) |
| Operability | 99.7% (160 K); 99.6% (170 K) | 99.7% (60 K) |
| Bolometer | HgCdTe | QWIP | T2 SLs InAs/GaSb | InAsSb-Based | |
|---|---|---|---|---|---|
| Maturity level | TRL 9 | TRL 9 | TRL 9 | TRL 7–8 | TRL 7–8 |
| Status | Applications where medium to low performance is required. | Application where high performance is required. | Commercial | Research and development. | Research and development. |
| Operating temp. | Un-cooled | Cooled | Cooled | Cooled | Cooled/TE cooled |
| Manufacturability | Excellent | Poor | Excellent | Very good | Very good |
| Cost | Low | High | Medium | Medium | Medium |
| Prospect for large format | Excellent | Very good | Excellent | Excellent | Excellent |
| Availability of large substrate | Excellent | Poor | Excellent | Very good | Very good |
| Military applications | Weapon sight, night vision goggles, missile seekers, small UAV sensors, unattended ground sensors. | Missile intercept, tactical ground and air born imaging, hyper spectral, missile seeker, missile tracking, space based sensing. | Being evaluated for some military applications and astronomy sensing. | Being evaluated for some military applications. | Being developed in university and evaluated industry research environment. |
| Limitations | Low sensitivity and long time constants, mechanical stability. | Performance susceptible to manufacturing variations. Difficult to extend to >14-µm cutoff. | Narrow bandwith and low sensitivity. | Requires a further investment and fundamental material breakthrough to mature. | Degradation of detector performance in a space environment due to the radiation-induced minority carrier lifetime degradation. |
| Advantages | Low cost and requires no active cooling, leverages standard Si manufacturing equipment. | Near theoretical performance, will remain material of choice for minimum of the next several years. High performance of substrate-removed arrays for space missions. | Low cost applications. Leverages commercial manufacturing processes. Very uniform material. | Theoretically better then HgCdTe, leverages commercial III–V fabrication techniques. | MWIR devices with significantly higher operating temperature than InSb. |
Publisher’s Note: MDPI stays neutral with regard to jurisdictional claims in published maps and institutional affiliations. |
© 2020 by the authors. Licensee MDPI, Basel, Switzerland. This article is an open access article distributed under the terms and conditions of the Creative Commons Attribution (CC BY) license (http://creativecommons.org/licenses/by/4.0/).
Share and Cite
Rogalski, A.; Martyniuk, P.; Kopytko, M.; Madejczyk, P.; Krishna, S. InAsSb-Based Infrared Photodetectors: Thirty Years Later On. Sensors 2020, 20, 7047. https://doi.org/10.3390/s20247047
Rogalski A, Martyniuk P, Kopytko M, Madejczyk P, Krishna S. InAsSb-Based Infrared Photodetectors: Thirty Years Later On. Sensors. 2020; 20(24):7047. https://doi.org/10.3390/s20247047
Chicago/Turabian StyleRogalski, Antoni, Piotr Martyniuk, Malgorzata Kopytko, Pawel Madejczyk, and Sanjay Krishna. 2020. "InAsSb-Based Infrared Photodetectors: Thirty Years Later On" Sensors 20, no. 24: 7047. https://doi.org/10.3390/s20247047
APA StyleRogalski, A., Martyniuk, P., Kopytko, M., Madejczyk, P., & Krishna, S. (2020). InAsSb-Based Infrared Photodetectors: Thirty Years Later On. Sensors, 20(24), 7047. https://doi.org/10.3390/s20247047











