An Optimal Flow Admission and Routing Control Policy for Resource Constrained Networks
Abstract
1. Introduction
2. Literature
3. Model Description and Formulation
3.1. Model Description
3.2. Model Formulation
4. Characterization of the Optimal Arc Policy
4.1. Reward Function Properties
4.2. Reward Function Bounds
- Admission policy: The optimal admission control policy is a state-dependent threshold-type, with threshold curve , such that a type-2 packet is admitted to queue 1 if and only if where .
- Routing policy: The optimal routing control policy is a state-dependent threshold-type, with threshold curves and , such that:
- Type-1 packet is routed to queue 2 if and only if and , where .
- Type-2 packet is routed to queue 2 if and only if , where .
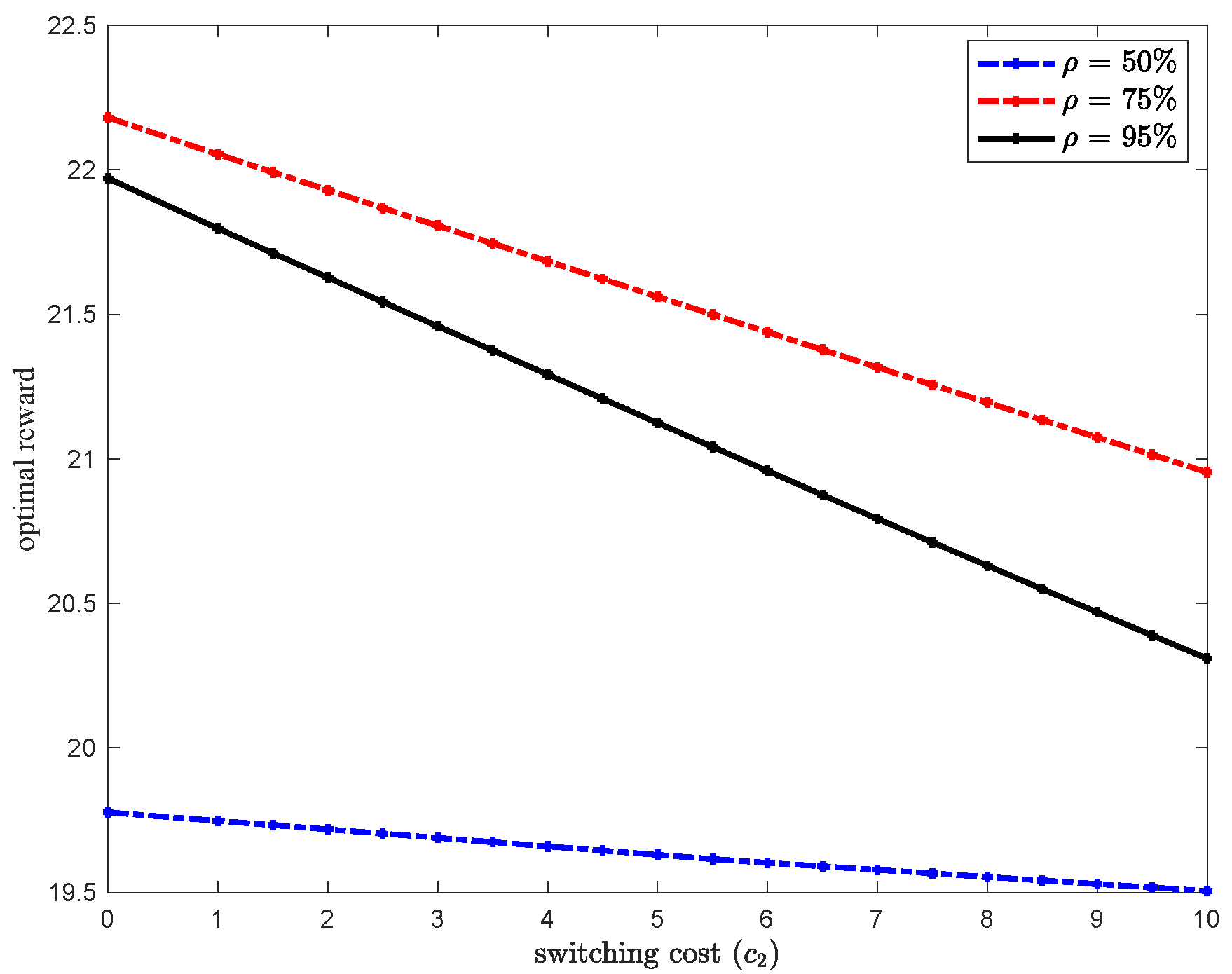
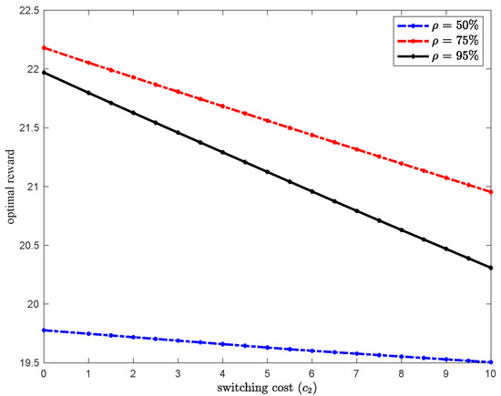
5. Sensitivity Analysis of the Optimal Policy
6. Heuristic Control Policy
| Algorithm 1. Proposed heuristic control policy. |
|
7. Conclusions
Funding
Conflicts of Interest
Appendix A
- Step 1: we observe that Properties 2 and 3 hold for .
- Step 2: we assume 2 and 3 hold for some .
- Step 3: we prove that 2 and 3 hold for .
- case 1: assume
- case 2: assume and
- case 3: assume and .
- case 4: assume and
- case 5: assume and
- case 6: assume and
- case 1: assume
- case 2: assume
- case 3: assume
- case 4: assume
- case 5: assume
- Note that, by Property 2 the following inequalities hold.We prove the property for each case.
- (a)
- case 1: assume
- (b)
- case 2: assume
- (c)
- case 3: assume
- (d)
- case 4: assume
- (e)
- case 5: assume
- Note that, by Property 2 the following inequalities hold. . We prove the property for each case.
- (a)
- case 1: assume
- (b)
- case 2: assume
- (c)
- case 3: assume
- (d)
- case 4: assume
- (e)
- case 5: assume
- ForNote that the expression of given in Equation (A4) is a special case of the one of given in Equation (A3) where and is substituted by , therefore satisfies Property 3. Finally, it is straightforward (using the induction argument) to show that satisfies Properties 2 and 3, hence satisfies Property 1. This completes the proof of Lemma A1.
References
- Puccinelli, D.; Haenggi, M. Wireless sensor networks: Applications and challenges of ubiquitous sensing. IEEE Circuits Syst. Mag. 2005, 5, 19–31. [Google Scholar] [CrossRef]
- Rabby, M.K.M.; Alam, M.S. A priority based energy harvesting scheme for charging embedded sensor nodes in wireless body area networks. PLoS ONE 2019, 14, e0214716. [Google Scholar] [CrossRef] [PubMed]
- Anguita, D.; Brizzolara, D.; Parodi, G. Building an Underwater Wireless Sensor Network Based on Optical: Communication: Research Challenges and Current Results. In Proceedings of the 2009 Third International Conference on Sensor Technologies and Applications, Glyfada, Greece, 18–23 June 2009; pp. 476–479. [Google Scholar]
- Hassan, J. Future of Applications In Mobile wireless Sensor Networks. In Proceedings of the 2018 1st International Conference on Computer Applications Information Security (ICCAIS), Riyadh, Kingdom of Saudi Arabia, 4–6 April 2018; pp. 1–6. [Google Scholar]
- Nishikawa, Y.; Sasamura, T.; Ishizuka, Y.; Sugimoto, S.; Iwasaki, S.; Wang, H.; Fujishima, T.; Fujimoto, T.; Yamashita, K.; Suzuki, T.; et al. Design of stable wireless sensor network for slope monitoring. In Proceedings of the 2018 IEEE Topical Conference on Wireless Sensors and Sensor Networks (WiSNet), Anaheim, CA, USA, 14–17 January 2018; pp. 8–11. [Google Scholar]
- Sun, Z.; Akyildiz, I.F. Connectivity in Wireless Underground Sensor Networks. In Proceedings of the 2010 7th Annual IEEE Communications Society Conference on Sensor, Mesh and Ad Hoc Communications and Networks (SECON), Boston, MA, USA, 21–25 June 2010; pp. 1–9. [Google Scholar]
- Bogdanoski, M.; Shuminoski, T.; Risteski, A. Analysis of the SYN flood DoS attack. Int. J. Comput. Netw. Inf. Secur. 2013, 5, 1–11. [Google Scholar] [CrossRef]
- Oncioiu, R.; Simion, E. Approach to Prevent SYN Flood DoS Attacks in Cloud. In Proceedings of the 2018 International Conference on Communications (COMM), Bucharest, Romania, 14–16 June 2018; pp. 447–452. [Google Scholar]
- Eberhardt, J.; Tai, S. On or Off the Blockchain? Insights on Off-Chaining Computation and Data. In Proceedings of the European Conference on Service-Oriented and Cloud Computing, Oslo, Norway, 27–29 September 2017; pp. 3–15. [Google Scholar] [CrossRef]
- Gupta, M.K.; Hemachandra, N.; Venkateswaran, J. Some parametrized dynamic priority policies for 2-class M/G/1 queues: Completeness and applications. arXiv 2018, arXiv:1804.03564. [Google Scholar]
- Dimitris, B.; Niño-Mora, J. Optimization of Multiclass Queueing Networks with Changeover Times via the Achievable Region Approach: Part II, the Multi-Station Case. Math. Oper. Res. 1999, 24, 331–361. [Google Scholar]
- Hassin, R.; Puerto, J.; Fernandez, F.R. The use of relative priorities in optimizing the performance of a queueing system. Eur. J. Oper. Res. 2009, 193, 476–483. [Google Scholar] [CrossRef][Green Version]
- Gupta, M.K.; Hemachandra, N. On 2-moment completeness of non pre-emptive, non anticipative work conserving scheduling policies in some single class queues. In Proceedings of the 2015 13th International Symposium on Modeling and Optimization in Mobile, Ad Hoc, and Wireless Networks (WiOpt), Mumbai, India, 25–29 May 2015; pp. 267–274. [Google Scholar]
- Rawal, A.; Kavitha, V.; Gupta, M.K. Optimal surplus capacity utilization in polling systems via fluid models. In Proceedings of the 2014 12th International Symposium on Modeling and Optimization in Mobile, Ad Hoc, and Wireless Networks (WiOpt), Hammamet, Tunisia, 12–16 May 2014; pp. 381–388. [Google Scholar]
- Li, C.; Neely, M.J. Delay and rate-optimal control in a multi-class priority queue with adjustable service rates. In Proceedings of the 2012 Proceedings IEEE INFOCOM, Orlando, FL, USA, 25–30 March 2012; pp. 2976–2980. [Google Scholar]
- Sinha, S.K.; Rangaraj, N.; Hemachandra, N. Pricing surplus server capacity for mean waiting time sensitive customers. Eur. J. Oper. Res. 2010, 205, 159–171. [Google Scholar] [CrossRef]
- Puterman, M.L. Markov Decision Processes; John Wiley and Sons Inc.: Hoboken, NJ, USA, 2005. [Google Scholar]
- Gouvy, N.; Hamouda, E.; Mitton, N.; Zorbas, D. Energy efficient multi-flow routing in mobile Sensor Networks. In Proceedings of the 2013 IEEE Wireless Communications and Networking Conference (WCNC), Shanghai, China, 7–10 April 2013; pp. 1968–1973. [Google Scholar]
- Zhang, D.; Li, G.; Zheng, K.; Ming, X.; Pan, Z. An Energy-Balanced Routing Method Based on Forward-Aware Factor for Wireless Sensor Networks. IEEE Trans. Ind. Inform. 2014, 10, 766–773. [Google Scholar] [CrossRef]
- Zhang, D.G.; Liu, S.; Zhang, T.; Liang, Z. Novel unequal clustering routing protocol considering energy balancing based on network partition and distance for mobile education. J. Netw. Comput. Appl. 2017, 88, 1–9. [Google Scholar] [CrossRef]
- Zhang, D.; Zheng, K.; Zhang, T.; Wang, X. A novel multicast routing method with minimum transmission for WSN of cloud computing service. Soft Comput. 2014, 19, 1817–1827. [Google Scholar] [CrossRef]
- Dressler, F. Self-Organization in Sensor and Actor Networks; John Wiley and Sons Ltd.: Chichester, UK, 2007. [Google Scholar]
- Pathan, A. Security of Self-Organizing Networks: MANET, WSN, WMN, VANET; CRC Press: Boca Raton, FL, USA, 2011. [Google Scholar]
- Gu, X.; Yu, J.; Yu, D.; Wang, G.; Lv, Y. ECDC: An energy and coverage-aware distributed clustering protocol for wireless sensor networks. Comput. Electr. Eng. 2014, 40, 384–398. [Google Scholar] [CrossRef]
- Le, N.T.; Jang, M. Energy-efficient coverage guarantees scheduling and routing strategy for wireless sensor networks. Int. J. Distrib. Sens. Netw. 2015, 11, 612383. [Google Scholar] [CrossRef]
- More, A.; Raisinghani, V. A survey on energy efficient coverage protocols in wireless sensor networks. J. King Saud Univ. Comput. Inf. Sci. 2017, 29, 428–448. [Google Scholar] [CrossRef]
- Alghamdi, T. Energy efficient protocol in wireless sensor network: Optimized cluster head selection model. Telecommun. Syst. 2020, 74, 331–345. [Google Scholar] [CrossRef]
- Wang, Z.; Chen, Y.; Liu, B. A sensor node scheduling algorithm for heterogeneous wireless sensor networks. Int. J. Distrib. Sens. Netw. 2019, 15. [Google Scholar] [CrossRef]
- Shih, E.; Cho, S.; Lee, F.S.; Calhoun, B.H.; Chandrakasan, A. Design Considerations for Energy-Efficient Radios in Wireless Microsensor Networks. J. VLSI Signal Process. Syst. Signal Image Video Technol. 2004, 37, 77–94. [Google Scholar] [CrossRef]
- Santhi, V.; Natarajan, A.M. Active Queue Management Algorithm for TCP Networks Congestion Control. Eur. J. Sci. Res. 2011, 54, 245–257. [Google Scholar]
- Comer, D.E. Internetworking with TCP/IP, 5th ed.; Prentice Hall: Upper Saddle River, NJ, USA, 2006. [Google Scholar]
- Floyd, S.; Jacobson, V. Random Early Detection (RED) gateways for Congestion Avoidance. IEEE/ACM Trans. Netw. 1993, 1, 397–413. [Google Scholar] [CrossRef]
- Robertazzi, T.G. Computer Networks and Systems: Queueing Theory and Performance Evaluation-Queueing Theorty and Performance Evaluation, 3rd ed.; Springer: Berlin/Heidelberg, Germany, 2012. [Google Scholar]
- Kleinrock, L. Queueing Systems, Volume 2: Computer Applications; Wiley: Hoboken, NJ, USA, 1976. [Google Scholar]
- Kleinrock, L. Queuing Systems, Volume 1: Theory; Wiley: Hoboken, NJ, USA, 1975. [Google Scholar]
- Lenin, R.B.; Ramaswamy, S. Performance analysis of wireless sensor networks using queuing networks. Ann. Oper. Res. 2015, 233, 237–261. [Google Scholar] [CrossRef]
- Adou, Y.; Markova, E.; Gudkova, I. Performance Measures Analysis of Admission Control Scheme Model for Wireless Network, Described by a Queuing System Operating in Random Environment. In Proceedings of the 2018 10th International Congress on Ultra Modern Telecommunications and Control Systems and Workshops (ICUMT), Moscow, Russia, 5–9 November 2018; pp. 1–5. [Google Scholar]
- Borodakiy, V.Y.; Samouylov, K.E.; Gudkova, I.A.; Ostrikova, D.Y.; Ponomarenko-Timofeev, A.A.; Turlikov, A.M.; Andreev, S.D. Modeling unreliable LSA operation in 3GPP LTE cellular networks. In Proceedings of the 2014 6th International Congress on Ultra Modern Telecommunications and Control Systems and Workshops (ICUMT), St. Petersburg, Russia, 6–8 October 2014; pp. 390–396. [Google Scholar]
- Kempa, W.M. Analytical Model of a Wireless Sensor Network (WSN) Node Operation with a Modified Threshold-Type Energy Saving Mechanism. Sensors 2019, 19, 3114. [Google Scholar] [CrossRef]
- Ghosh, S.; Unnikrishnan, S. Reduced power consumption in wireless sensor networks using queue based approach. In Proceedings of the 2017 International Conference on Advances in Computing, Communication and Control (ICAC3), Mumbai, India, 1–2 December 2017. [Google Scholar]
- Moy, J. Open Shortest Path First (OSPF). Available online: https://tools.ietf.org/html/rfc2328 (accessed on 11 November 2020).
- Hedrick, C. Routing Information Protocol (RIP); Rutgers University: Camden, NJ, USA, 1988. [Google Scholar]
- Zhang, X.; Zhou, Z.; Cheng, D. Efficient path routing strategy for flows with multiple priorities on scale-free networks. PLoS ONE 2017, 12, e0172035. [Google Scholar] [CrossRef] [PubMed]
- Groenevelt, R.; Koole, G.; Nain, P. On the bias vector of a two-class preemptive priority queue. Math. Methods Oper. Res. 2002, 55, 107–120. [Google Scholar] [CrossRef]
- Brouns, G.A.; van der Wal, J. Optimal threshold policies in a two-class preemptive priority queue with admission and termination control. Queueing Syst. 2006, 54, 21–33. [Google Scholar] [CrossRef][Green Version]
- Xu, S. A duality approach to admission and scheduling controls of queues. Queueing Syst. Theory Appl. 1994, 16, 272–300. [Google Scholar] [CrossRef]
- Righter, R. Expulsion and scheduling control for multiclass queues with heterogeneous servers. Queueing Syst. Theory Appl. 2000, 34, 289–300. [Google Scholar] [CrossRef]
- Brouns, G.; van der Wal, J. Optimal threshold policies in a workload model with a variable number of service phases per job. Math. Methods Oper. Res. 2003, 58, 483–501. [Google Scholar] [CrossRef][Green Version]
- Puterman, M. Markov Decision Processes: Discrete Stochastic Dynamic Programming; John Wiley and Sons Inc.: Hoboken, NJ, USA, 1994. [Google Scholar]
- Lippman, A.L. Applying a new device in the optimization of exponential queueing systems. Oper. Res. 1975, 23, 687–710. [Google Scholar] [CrossRef]
- Khorov, E.; Kiryanov, A.; Loginov, V.; Lyakhov, A. Head-of-line blocking avoidance in multimedia streaming over wireless networks. In Proceedings of the 2014 IEEE 25th Annual International Symposium on Personal, Indoor, and Mobile Radio Communication (PIMRC), Washington DC, USA, 2–5 September 2014; pp. 1142–1146. [Google Scholar] [CrossRef]
- Elhafsi, E.H.; Molle, M.; Manjunath, D. On the application of forking nodes to product-form queueing networks. Int. J. Commun. Syst. 2008, 21, 135–165. [Google Scholar] [CrossRef]
- Kumar, A.; Manjunath, D.K.J. Communication Networking: An Analytical Approach; Morgan Kaufman: San Francisco, CA, USA, 2004. [Google Scholar]
- Bellman, R. Dynamic Programming; Princeton University Press: Princeton, NJ, USA, 1957. [Google Scholar]
- Howard, R. Dynamic Programming and Markov Processes; Massachusetts Institute of Technology Press: Cambridge, UK, 1960. [Google Scholar]
- Liu, Z.; Nain, P.; Towsley, D. Sample path methods in the control of queues. Queueing Syst. 1995, 21, 293–335. [Google Scholar] [CrossRef]
- Weber, R.R.; Stidham, S. Optimal control of service rates in networks of queues. Adv. Appl. Probab. 1987, 19, 202–218. [Google Scholar] [CrossRef]
- Bertsekas, D.P. Dynamic Programming and Optimal Control, 2nd ed.; Athena scientific: Belmont, MA, USA, 2001; Volume 2. [Google Scholar]
- ElHafsi, M.; Fang, J.; Hamouda, E. Optimal production and inventory control of multi-class mixed backorder and lost sales demand class models. Eur. J. Oper. Res. 2020. [Google Scholar] [CrossRef]





| 0.45 | 0.22 | 0.35 | 0.20 | 91 | 80 | 54 | 2.70 |
| 0.44 | 0.43 | 0.29 | 0.16 | 72 | 64 | 39 | 0.55 |
| 0.34 | 0.11 | 0.22 | 0.12 | 63 | 48 | 26 | 3.02 |
| 0.41 | 0.35 | 0.28 | 0.16 | 91 | 89 | 83 | 0.65 |
| 0.44 | 0.08 | 0.23 | 0.13 | 45 | 41 | 40 | 3.38 |
| 0.39 | 0.17 | 0.26 | 0.15 | 66 | 63 | 25 | 2.10 |
| 0.47 | 0.26 | 0.35 | 0.20 | 60 | 39 | 28 | 3.86 |
| 0.81 | 0.75 | 0.35 | 0.20 | 104 | 68 | 41 | 0.01 |
| 0.89 | 0.83 | 0.17 | 0.09 | 87 | 55 | 48 | 0.00 |
| 0.66 | 0.32 | 0.08 | 0.05 | 97 | 70 | 12 | 0.00 |
| 0.74 | 0.58 | 0.35 | 0.20 | 100 | 84 | 31 | 0.21 |
| 0.52 | 0.44 | 0.35 | 0.20 | 82 | 47 | 23 | 1.37 |
| 0.94 | 0.83 | 0.23 | 0.13 | 66 | 32 | 32 | 0.58 |
| 1.05 | 0.72 | 0.53 | 0.89 | 95 | 51 | 28 | 1.80 |
| 1.19 | 0.64 | 0.55 | 0.92 | 90 | 41 | 37 | 2.00 |
| 0.72 | 0.58 | 0.39 | 0.65 | 81 | 40 | 20 | 3.31 |
| 1.17 | 0.84 | 0.60 | 1.01 | 90 | 63 | 6 | 0.10 |
| 0.89 | 0.74 | 0.81 | 0.49 | 95 | 70 | 23 | 1.62 |
| 0.95 | 0.76 | 0.86 | 0.51 | 36 | 24 | 19 | 4.27 |
| 0.99 | 0.69 | 0.84 | 0.50 | 31 | 12 | 7 | 2.06 |
| 1.20 | 0.75 | 0.97 | 0.58 | 63 | 39 | 12 | 2.06 |
| 1.15 | 0.65 | 0.90 | 0.54 | 89 | 62 | 28 | 1.33 |
| 0.81 | 0.61 | 0.71 | 0.43 | 79 | 50 | 25 | 2.55 |
| 1.08 | 0.67 | 0.87 | 0.52 | 94 | 56 | 22 | 1.84 |
| 1.23 | 0.73 | 0.98 | 0.59 | 57 | 48 | 31 | 1.40 |
| 0.81 | 0.56 | 0.68 | 0.41 | 88 | 66 | 47 | 1.78 |
| 1.23 | 0.56 | 0.89 | 0.54 | 95 | 89 | 86 | 0.88 |
| 1.05 | 0.41 | 0.73 | 0.44 | 98 | 65 | 13 | 0.61 |
| 1.15 | 0.79 | 0.97 | 0.58 | 76 | 51 | 7 | 0.84 |
| 0.86 | 0.26 | 0.35 | 0.20 | 104 | 83 | 65 | 0.01 |
| 0.53 | 0.40 | 0.21 | 0.12 | 76 | 39 | 16 | 0.02 |
| 0.95 | 0.73 | 0.17 | 0.10 | 78 | 54 | 31 | 0.00 |
| 0.33 | 0.26 | 0.09 | 0.05 | 93 | 74 | 59 | 0.01 |
| 0.79 | 0.57 | 0.12 | 0.07 | 98 | 55 | 29 | 0.00 |
| 0.78 | 0.69 | 0.05 | 0.03 | 61 | 25 | 17 | 0.00 |
| 1.03 | 0.82 | 0.56 | 0.74 | 98 | 91 | 77 | 0.70 |
| 1.08 | 0.81 | 0.56 | 0.75 | 59 | 53 | 10 | 0.55 |
| 0.71 | 0.61 | 0.40 | 0.53 | 80 | 47 | 19 | 1.80 |
| 0.84 | 0.56 | 0.42 | 0.56 | 69 | 66 | 50 | 0.85 |
| 0.83 | 0.43 | 0.38 | 0.51 | 86 | 51 | 21 | 0.56 |
| 0.91 | 0.70 | 0.48 | 0.65 | 99 | 72 | 11 | 0.42 |
| 0.81 | 0.52 | 0.40 | 0.53 | 73 | 19 | 11 | 2.49 |
| 0.70 | 0.51 | 0.36 | 0.48 | 43 | 25 | 10 | 2.22 |
| 0.60 | 0.55 | 0.34 | 0.46 | 89 | 41 | 36 | 4.29 |
| 0.59 | 0.52 | 0.33 | 0.44 | 84 | 70 | 64 | 2.57 |
| 0.65 | 0.31 | 0.29 | 0.38 | 77 | 37 | 36 | 2.81 |
| 0.77 | 0.45 | 0.37 | 0.49 | 52 | 33 | 32 | 3.32 |
| 0.80 | 0.59 | 0.42 | 0.56 | 59 | 45 | 39 | 2.26 |
| 0.90 | 0.47 | 0.41 | 0.55 | 79 | 31 | 25 | 1.65 |
| 0.96 | 0.59 | 0.47 | 0.62 | 100 | 83 | 38 | 0.36 |
| 0.99 | 0.56 | 0.47 | 0.62 | 85 | 28 | 21 | 1.63 |
| 0.43 | 0.41 | 0.25 | 0.34 | 85 | 77 | 20 | 1.67 |
| 0.92 | 0.51 | 0.43 | 0.57 | 73 | 43 | 36 | 1.35 |
| 0.90 | 0.55 | 0.43 | 0.58 | 76 | 66 | 35 | 0.59 |
| 0.67 | 0.66 | 0.40 | 0.53 | 59 | 54 | 21 | 2.23 |
| 0.88 | 0.48 | 0.41 | 0.54 | 94 | 46 | 33 | 0.94 |
| 0.86 | 0.73 | 0.48 | 0.64 | 98 | 39 | 37 | 3.33 |
| 0.70 | 0.45 | 0.34 | 0.46 | 75 | 55 | 46 | 1.62 |
| 0.64 | 0.48 | 0.34 | 0.45 | 87 | 50 | 7 | 0.34 |
| 0.52 | 0.50 | 0.31 | 0.41 | 85 | 78 | 77 | 3.26 |
| 0.87 | 0.82 | 0.51 | 0.68 | 98 | 81 | 64 | 1.42 |
| 0.93 | 0.76 | 0.50 | 0.67 | 81 | 55 | 21 | 1.04 |
| 0.81 | 0.65 | 0.44 | 0.58 | 72 | 40 | 34 | 2.83 |
| 0.86 | 0.36 | 0.37 | 0.49 | 78 | 78 | 21 | 0.25 |
| 0.74 | 0.42 | 0.35 | 0.47 | 65 | 59 | 10 | 0.37 |
| 0.86 | 0.76 | 0.49 | 0.65 | 83 | 46 | 34 | 2.37 |
| 0.88 | 0.45 | 0.40 | 0.53 | 77 | 75 | 66 | 0.61 |
| 0.43 | 0.42 | 0.26 | 0.34 | 95 | 67 | 46 | 3.45 |
| 0.84 | 0.49 | 0.40 | 0.53 | 88 | 38 | 23 | 1.18 |
| 0.69 | 0.58 | 0.38 | 0.51 | 70 | 45 | 32 | 2.65 |
| 0.90 | 0.41 | 0.39 | 0.52 | 79 | 37 | 20 | 0.74 |
| 0.89 | 0.44 | 0.40 | 0.53 | 78 | 38 | 20 | 0.81 |
| 0.90 | 0.87 | 0.53 | 0.71 | 53 | 31 | 18 | 3.34 |
| 0.95 | 0.46 | 0.42 | 0.56 | 96 | 78 | 48 | 0.31 |
| 0.81 | 0.33 | 0.34 | 0.46 | 88 | 80 | 19 | 0.24 |
| 0.93 | 0.83 | 0.53 | 0.70 | 88 | 30 | 22 | 2.90 |
| 0.83 | 0.79 | 0.48 | 0.65 | 83 | 50 | 20 | 1.86 |
| 0.94 | 0.69 | 0.49 | 0.65 | 65 | 62 | 54 | 1.08 |
| 0.86 | 0.45 | 0.40 | 0.53 | 76 | 62 | 51 | 0.74 |
| 0.56 | 0.40 | 0.29 | 0.38 | 109 | 12 | 12 | 3.69 |
| 0.75 | 0.24 | 0.30 | 0.39 | 119 | 90 | 10 | 0.57 |
| 1.13 | 0.25 | 0.41 | 0.55 | 109 | 51 | 45 | 0.40 |
| 0.90 | 0.50 | 0.42 | 0.56 | 113 | 41 | 21 | 0.69 |
| 0.54 | 0.43 | 0.29 | 0.38 | 81 | 42 | 9 | 1.16 |
| 0.65 | 0.45 | 0.33 | 0.44 | 88 | 88 | 37 | 0.76 |
| 1.11 | 0.58 | 0.51 | 0.68 | 98 | 61 | 22 | 0.29 |
| 0.57 | 0.40 | 0.29 | 0.39 | 107 | 102 | 17 | 0.54 |
| 1.15 | 0.65 | 0.54 | 0.72 | 36 | 25 | 13 | 1.33 |
| 1.16 | 0.62 | 0.53 | 0.71 | 91 | 45 | 37 | 0.82 |
| 0.69 | 0.55 | 0.37 | 0.50 | 109 | 56 | 39 | 1.84 |
| 0.73 | 0.53 | 0.38 | 0.50 | 51 | 29 | 14 | 2.19 |
| 0.83 | 0.77 | 0.48 | 0.64 | 109 | 101 | 72 | 1.08 |
| 0.91 | 0.72 | 0.49 | 0.65 | 55 | 51 | 36 | 1.42 |
| 1.01 | 0.39 | 0.42 | 0.56 | 109 | 80 | 65 | 0.29 |
| 0.74 | 0.54 | 0.39 | 0.52 | 89 | 76 | 15 | 0.61 |
| 1.12 | 0.61 | 0.52 | 0.69 | 120 | 38 | 25 | 0.66 |
| 1.08 | 0.80 | 0.56 | 0.75 | 81 | 47 | 19 | 0.87 |
| 0.76 | 0.50 | 0.38 | 0.50 | 64 | 46 | 16 | 0.99 |
| 1.04 | 0.36 | 0.42 | 0.56 | 102 | 100 | 95 | 0.38 |
| 0.86 | 0.80 | 0.50 | 0.66 | 109 | 93 | 42 | 1.03 |
Publisher’s Note: MDPI stays neutral with regard to jurisdictional claims in published maps and institutional affiliations. |
© 2020 by the author. Licensee MDPI, Basel, Switzerland. This article is an open access article distributed under the terms and conditions of the Creative Commons Attribution (CC BY) license (http://creativecommons.org/licenses/by/4.0/).
Share and Cite
Hamouda, E. An Optimal Flow Admission and Routing Control Policy for Resource Constrained Networks. Sensors 2020, 20, 6566. https://doi.org/10.3390/s20226566
Hamouda E. An Optimal Flow Admission and Routing Control Policy for Resource Constrained Networks. Sensors. 2020; 20(22):6566. https://doi.org/10.3390/s20226566
Chicago/Turabian StyleHamouda, Essia. 2020. "An Optimal Flow Admission and Routing Control Policy for Resource Constrained Networks" Sensors 20, no. 22: 6566. https://doi.org/10.3390/s20226566
APA StyleHamouda, E. (2020). An Optimal Flow Admission and Routing Control Policy for Resource Constrained Networks. Sensors, 20(22), 6566. https://doi.org/10.3390/s20226566
