A Novel Ultra-Low Loss Rectangle-Based Porous-Core PCF for Efficient THz Waveguidance: Design and Numerical Analysis
Abstract
1. Introduction
- A Zeonex-based PCF is modeled as a THz waveguide where both the core and cladding regions are modelled with rectangles.
- A noteworthy improvement is achieved which includes very low EML and low dispersion.
- The model also provides a lower CL and high core power fraction. The other parameters, such as birefringence, effective area, and numerical aperture are estimated for this model.
2. Design Methodology
3. Fabrication Feasibilities
4. Numerical and Mathematical Methods
5. Results and Discussions
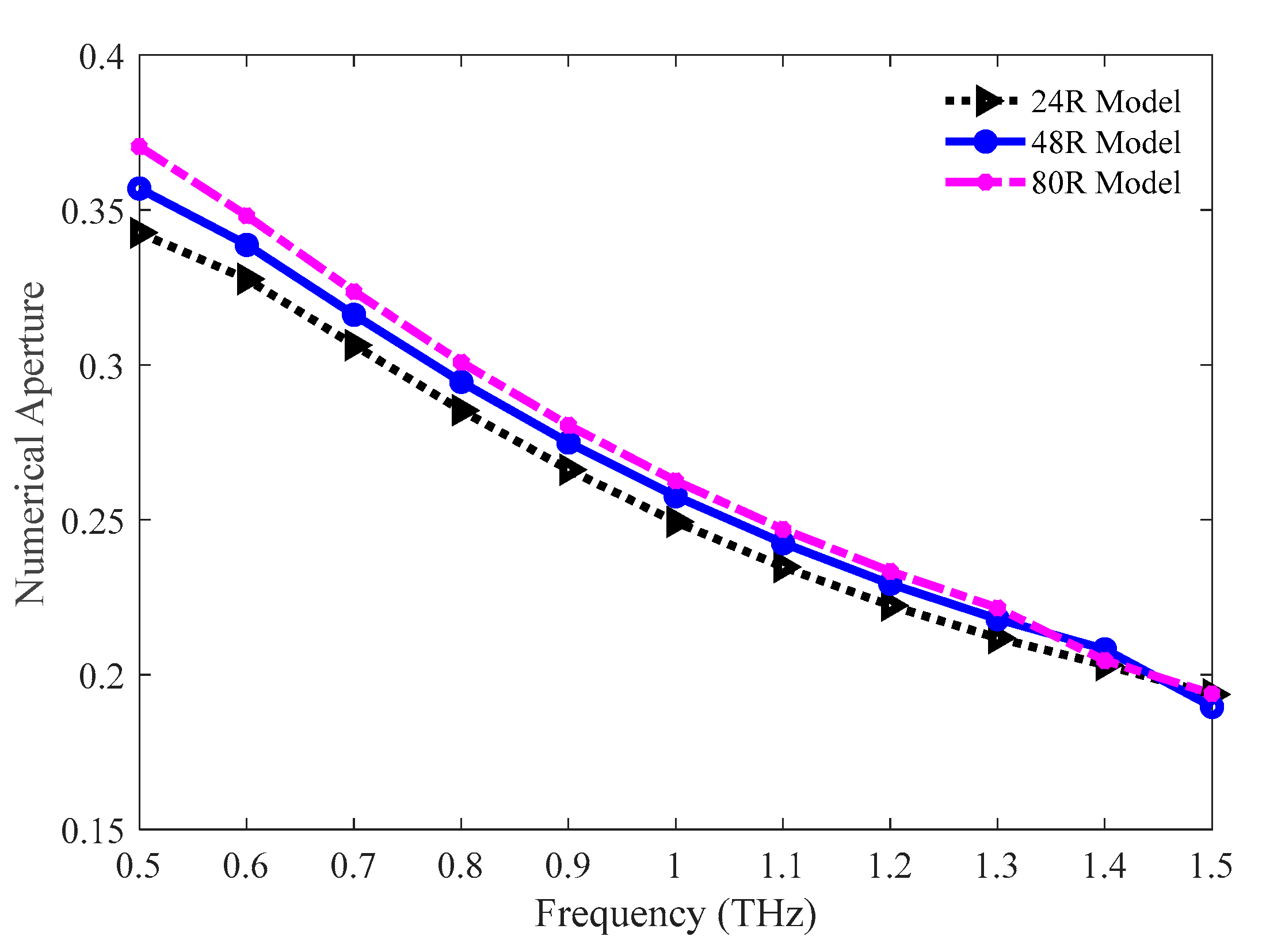
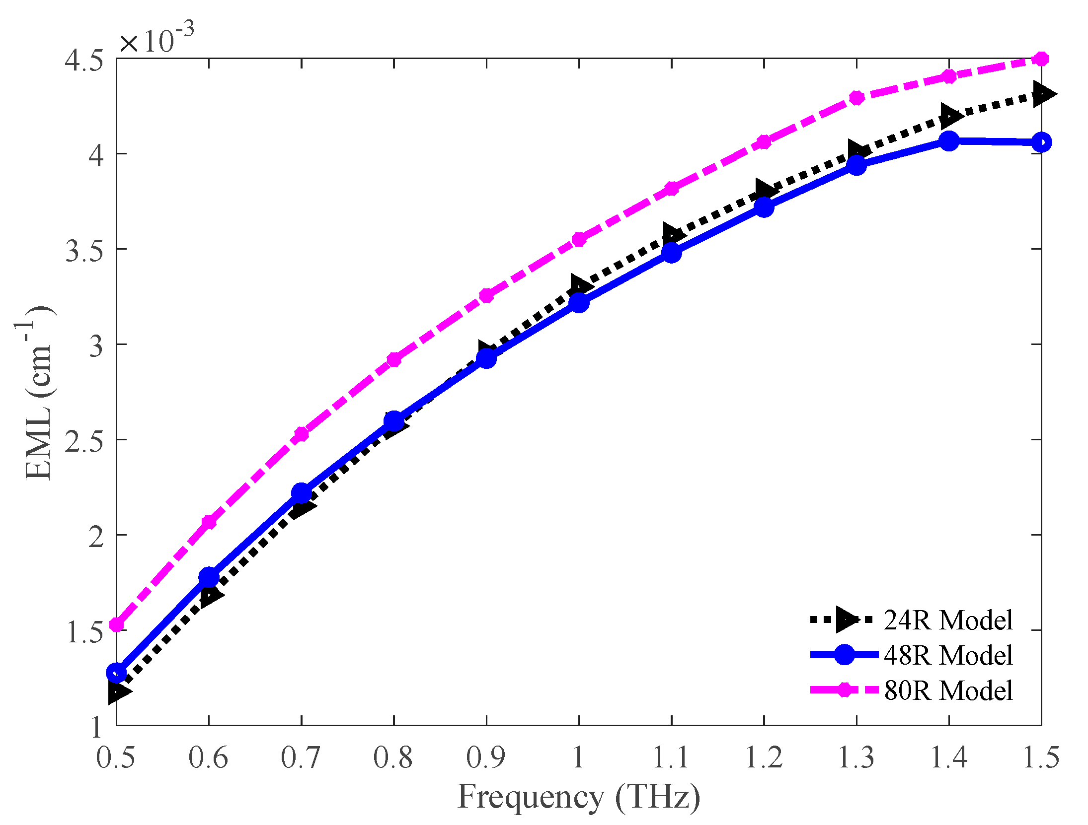
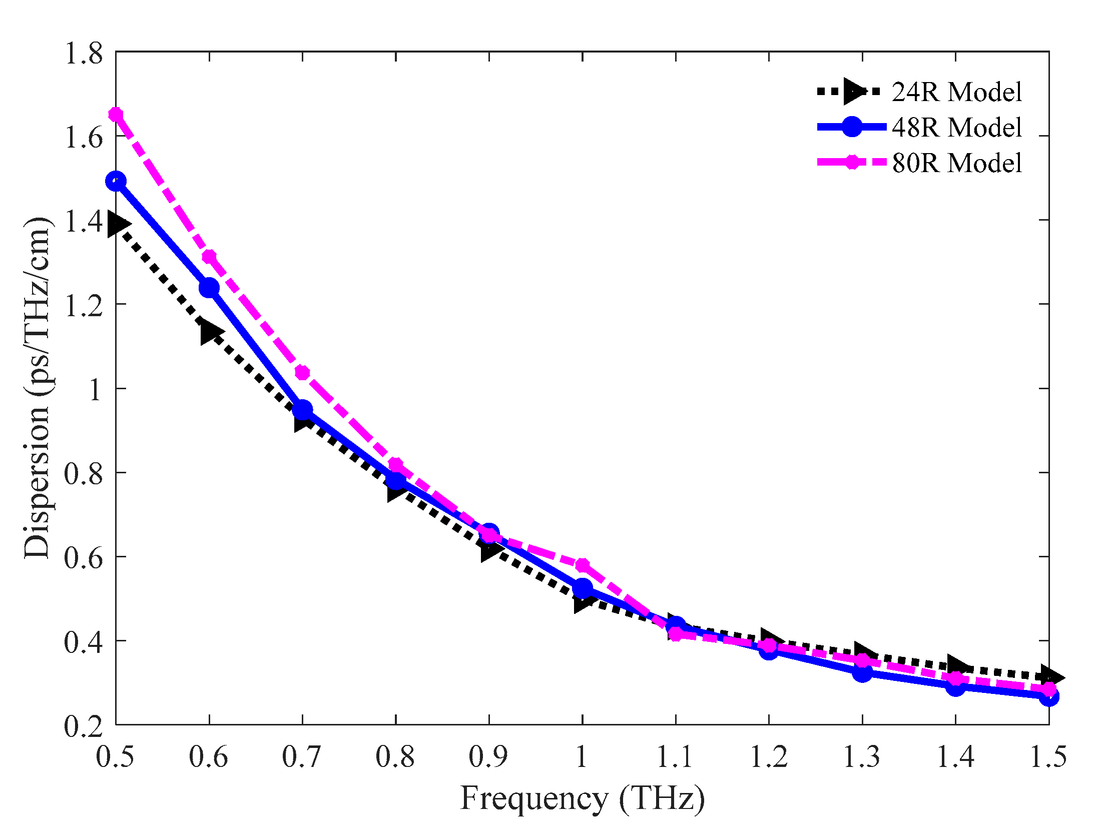
5.1. Optimum Model Selection
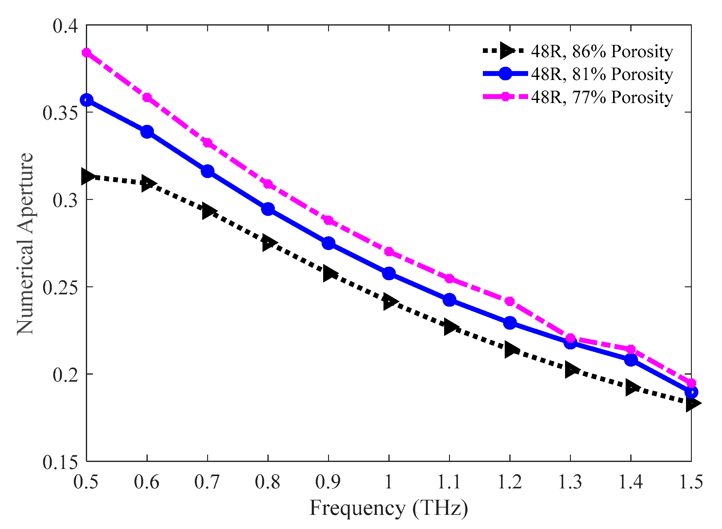
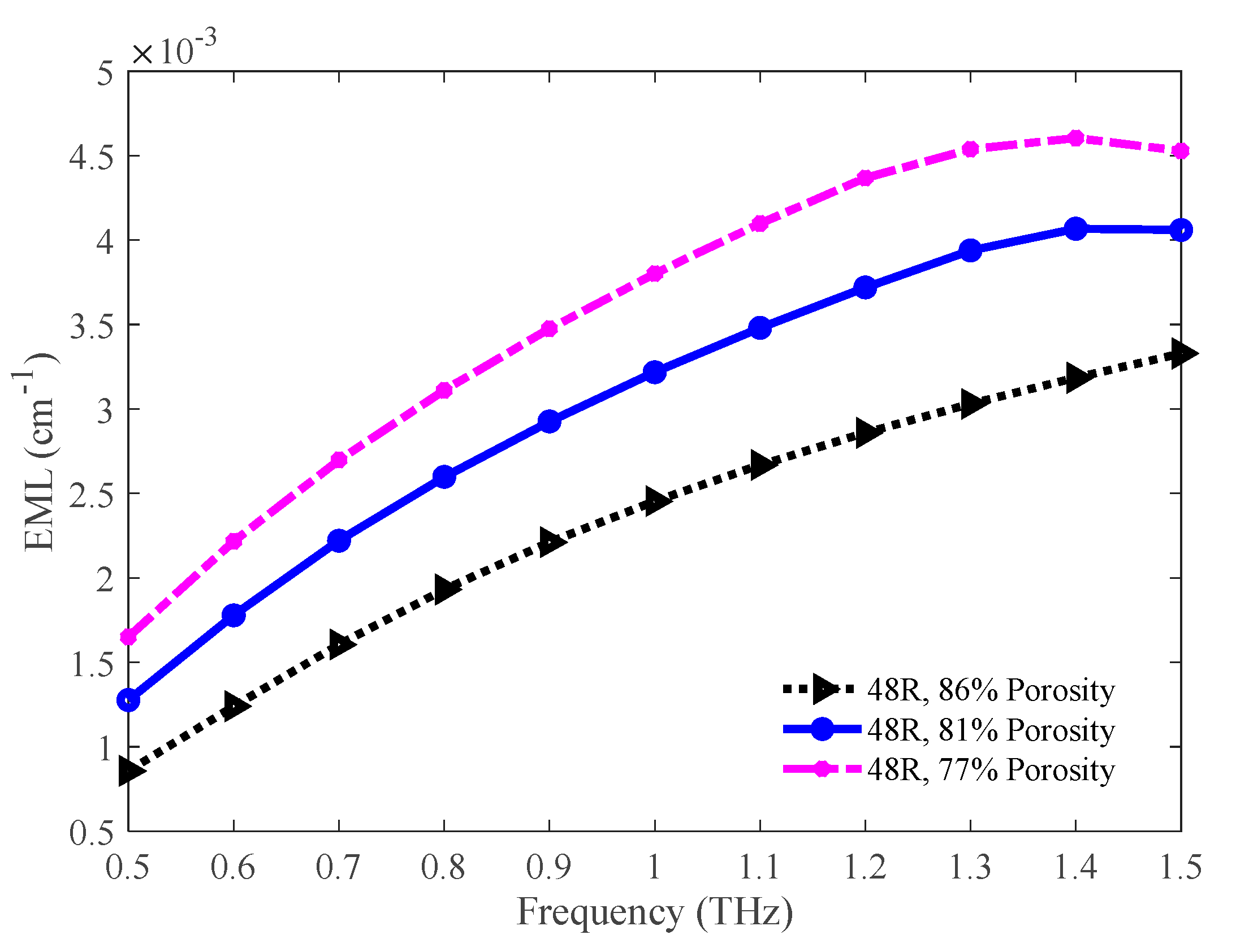
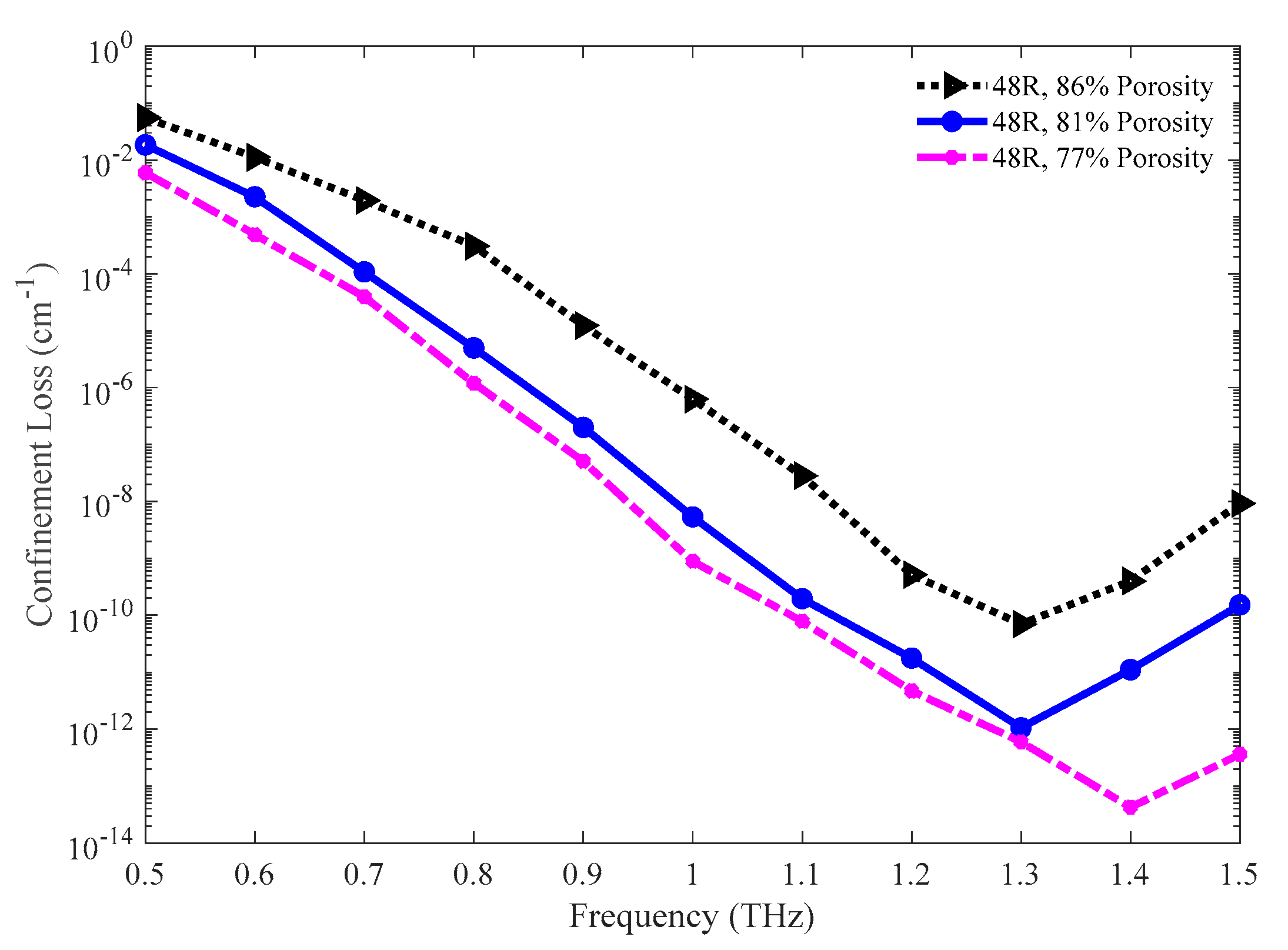
5.2. Optimum Porosity Selection
6. Conclusions
Author Contributions
Funding
Acknowledgments
Conflicts of Interest
References
- Islam, M.S.; Sultana, J.; Ahmed, K.; Islam, M.R.; Dinovitser, A.; Ng, B.W.-H.; Abbott, D. A novel approach for spectroscopic chemical identification using photonic crystal fiber in the terahertz regime. IEEE Sens. J. 2017, 18, 575–582. [Google Scholar] [CrossRef]
- Sultana, J.; Islam, M.S.; Islam, M.; Abbott, D. High numerical aperture, highly birefringent novel photonic crystal fibre for medical imaging applications. Electron. Lett. 2017, 54, 61–62. [Google Scholar] [CrossRef]
- Mizuno, M.; Fukunaga, K.; Saito, S.; Hosako, I. Analysis of calcium carbonate for differentiating between pigments using terahertz spectroscopy. J. Eur. Opt. Soc. Rapid Publ. 2009, 4. [Google Scholar] [CrossRef]
- Woodward, R.M. Terahertz Technology in Global Homeland Security. In Optics and Photonics in Global Homeland Security; International Society for Optics and Photonics: Orlando, FL, USA, 2005; pp. 22–31. [Google Scholar]
- Islam, M.S.; Sultana, J.; Rana, S.; Islam, M.R.; Faisal, M.; Kaijage, S.F.; Abbott, D. Extremely low material loss and dispersion flattened TOPAS based circular porous fiber for long distance terahertz wave transmission. Opt. Fiber Technol. 2017, 34, 6–11. [Google Scholar] [CrossRef]
- Nagatsuma, T.; Ducournau, G.; Renaud, C.C. Advances in terahertz communications accelerated by photonics. Nat. Photonics 2016, 10, 371–379. [Google Scholar] [CrossRef]
- Köhler, R.; Tredicucci, A.; Beltram, F.; Beere, H.E.; Linfield, E.H.; Davies, A.G.; Ritchie, D.A.; Iotti, R.C.; Rossi, F. Terahertz semiconductor-heterostructure laser. Nature 2002, 417, 156–159. [Google Scholar] [CrossRef]
- Wu, Q.; Litz, M.; Zhang, X.C. Broadband detection capability of ZnTe electro-optic field detectors. Appl. Phys. Lett. 1996, 68, 2924–2926. [Google Scholar] [CrossRef]
- Wang, K.-L.; Mittleman, D.M. Metal wires for terahertz waveguiding. Nature 2004, 432, 376–379. [Google Scholar] [CrossRef]
- Chen, L.-J.; Chen, H.-W.; Kao, T.-F.; Lu, J.-Y.; Sun, C.-K. Low-loss subwavelength plastic fiber for terahertz waveguiding. Opt. Lett. 2006, 31, 308–310. [Google Scholar] [CrossRef]
- Lai, C.-H.; Hsueh, Y.-C.; Chen, H.-W.; Huang, Y.-J.; Chang, H.-C.; Sun, C.-K. Low-index terahertz pipe waveguides. Opt. Lett. 2009, 34, 3457–3459. [Google Scholar] [CrossRef]
- Hossain, M.A.; Namihira, Y. Light source design using Kagome-lattice hollow core photonic crystal fibers. Opt. Rev. 2014, 21, 490–495. [Google Scholar] [CrossRef]
- Skorobogatiy, M.; Dupuis, A. Ferroelectric all-polymer hollow Bragg fibers for terahertz guidance. Appl. Phys. Lett. 2007, 90, 113514. [Google Scholar] [CrossRef]
- Pristinski, D.; Du, H. Solid-core photonic crystal fiber as a Raman spectroscopy platform with a silica core as an internal reference. Opt. Lett. 2006, 31, 3246–3248. [Google Scholar] [CrossRef] [PubMed]
- Gric, T.; Nickelson, L.; Asmontas, S. Electrodynamical characteristic particularity of open metamaterial square and circular waveguides. Prog. Electromagn. Res. 2010, 109, 361–379. [Google Scholar] [CrossRef][Green Version]
- Nickelson, L.; Gric, T.; Asmontas, S.; Martavicius, R. Electrodynamical Analyses of Dielectric and Metamaterial Hollow-core CylindricalWaveguides. Elektron. Elektrotech. 2008, 82, 3–8. [Google Scholar]
- Kaijage, S.F.; Ouyang, Z.; Jin, X. Porous-core photonic crystal fiber for low loss terahertz wave guiding. IEEE Photonics Technol. Lett. 2013, 25, 1454–1457. [Google Scholar] [CrossRef]
- Islam, R.; Habib, M.S.; Hasanuzzaman, G.; Ahmad, R.; Rana, S.; Kaijage, S.F. Extremely high-birefringent asymmetric slotted-core photonic crystal fiber in THz regime. IEEE Photonics Technol. Lett. 2015, 27, 2222–2225. [Google Scholar] [CrossRef]
- Hasan, M.R.; Anower, M.S.; Islam, M.A.; Razzak, S. Polarization-maintaining low-loss porous-core spiral photonic crystal fiber for terahertz wave guidance. Appl. Opt. 2016, 55, 4145–4152. [Google Scholar] [CrossRef]
- Islam, R.; Habib, M.S.; Hasanuzzaman, G.; Rana, S.; Sadath, M.A. Novel porous fiber based on dual-asymmetry for low-loss polarization maintaining THz wave guidance. Opt. Lett. 2016, 41, 440–443. [Google Scholar] [CrossRef]
- Islam, R.; Habib, M.S.; Hasanuzzaman, G.; Rana, S.; Sadath, M.A.; Markos, C. A novel low-loss diamond-core porous fiber for polarization maintaining terahertz transmission. IEEE Photonics Technol. Lett. 2016, 28, 1537–1540. [Google Scholar] [CrossRef]
- Wu, Z.; Shi, Z.; Xia, H.; Zhou, X.; Deng, Q.; Huang, J.; Jiang, X.; Wu, W. Design of highly birefringent and low-loss oligoporous-core THz photonic crystal fiber with single circular air-hole unit. IEEE Photonics J. 2016, 8, 1–11. [Google Scholar] [CrossRef]
- Ahmed, K.; Chowdhury, S.; Paul, B.K.; Islam, M.S.; Sen, S.; Islam, M.I.; Asaduzzaman, S. Ultrahigh birefringence, ultralow material loss porous core single-mode fiber for terahertz wave guidance. Appl. Opt. 2017, 56, 3477–3483. [Google Scholar] [CrossRef] [PubMed]
- Islam, M.S.; Sultana, J.; Atai, J.; Abbott, D.; Rana, S.; Islam, M.R. Ultra low-loss hybrid core porous fiber for broadband applications. Appl. Opt. 2017, 56, 1232–1237. [Google Scholar] [CrossRef] [PubMed]
- Luo, J.; Tian, F.; Qu, H.; Li, L.; Zhang, J.; Yang, X.; Yuan, L. Design and numerical analysis of a THz square porous-core photonic crystal fiber for low flattened dispersion, ultrahigh birefringence. Appl. Opt. 2017, 56, 6993–7001. [Google Scholar] [CrossRef] [PubMed]
- Stolz, J.; Fideu, P.; Herrmann, A. Homogenization of Fiber Composite Material Properties: An Adaptive Mulitiphysics Implementation. Available online: https://www.comsol.it/paper/download/570781/stolz_paper.pdf (accessed on 1 October 2020).
- Woyessa, G.; Fasano, A.; Markos, C.; Stefani, A.; Rasmussen, H.K.; Bang, O. Zeonex microstructured polymer optical fiber: Fabrication friendly fibers for high temperature and humidity insensitive Bragg grating sensing. Opt. Mater. Express 2017, 7, 286–295. [Google Scholar] [CrossRef]
- Bise, R.T.; Trevor, D.J. Sol-gel derived microstructured fiber: Fabrication and characterization. In Optical Fiber Communication Conference; Optical Society of America: Anaheim, CA, USA, 2005; p. OWL6. [Google Scholar]
- Ebendorff-Heidepriem, H.; Schuppich, J.; Dowler, A.; Lima-Marques, L.; Monro, T.M. 3D-printed extrusion dies: A versatile approach to optical material processing. Opt. Mater. Express 2014, 4, 1494–1504. [Google Scholar] [CrossRef]
- Ghazanfari, A.; Li, W.; Leu, M.C.; Hilmas, G.E. A novel freeform extrusion fabrication process for producing solid ceramic components with uniform layered radiation drying. Addit. Manuf. 2017, 15, 102–112. [Google Scholar] [CrossRef]
- Barton, G.; van Eijkelenborg, M.A.; Henry, G.; Large, M.C.; Zagari, J. Fabrication of microstructured polymer optical fibres. Opt. Fiber Technol. 2004, 10, 325–335. [Google Scholar] [CrossRef]
- Yang, J.; Zhao, J.; Gong, C.; Tian, H.; Sun, L.; Chen, P.; Lin, L.; Liu, W. 3D printed low-loss THz waveguide based on Kagome photonic crystal structure. Opt. Express 2016, 24, 22454–22460. [Google Scholar] [CrossRef]
- Wu, Z.; Ng, W.-R.; Gehm, M.E.; Xin, H. Terahertz electromagnetic crystal waveguide fabricated by polymer jetting rapid prototyping. Opt. Express 2011, 19, 3962–3972. [Google Scholar] [CrossRef]
- Ebendorff-Heidepriem, H.; Monro, T.M. Extrusion of complex preforms for microstructured optical fibers. Opt. Express 2007, 15, 15086–15092. [Google Scholar] [CrossRef] [PubMed]
- Atakaramians, S.; Afshar, S.; Ebendorff-Heidepriem, H.; Nagel, M.; Fischer, B.M.; Abbott, D.; Monro, T.M. THz porous fibers: Design, fabrication and experimental characterization. Opt. Express 2009, 17, 14053–14062. [Google Scholar] [CrossRef] [PubMed]
- Islam, M.S.; Sultana, J.; Rifat, A.A.; Dinovitser, A.; Ng, B.W.-H.; Abbott, D. Terahertz sensing in a hollow core photonic crystal fiber. IEEE Sens. J. 2018, 18, 4073–4080. [Google Scholar] [CrossRef]
- Nellen, S.; Globisch, B.; Kohlhaas, R.; Stanze, D.; Göbel, T.; Barry, L.; Schell, M. Fiber-coupled, photoconductive heterodyne receiver operating at frequencies up to 1 THz. In CLEO: Science and Innovations; Optical Society of America: San Jose, CA, USA, 2017; p. SM3J-7. [Google Scholar]
- Yang, T.; Ding, C.; Ziolkowski, R.W.; Guo, Y.J. A terahertz (THz) single-polarization-single-mode (SPSM) photonic crystal fiber (PCF). Materials 2019, 12, 2442. [Google Scholar] [CrossRef] [PubMed]
- Islam, M.S.; Sultana, J.; Dinovitser, A.; Ng, B.W.-H.; Abbott, D. A novel Zeonex based oligoporous-core photonic crystal fiber for polarization preserving terahertz applications. Opt. Commun. 2018, 413, 242–248. [Google Scholar] [CrossRef]
- Paul, B.K.; Ahmed, K.; Vigneswaran, D.; Ahmed, F.; Roy, S.; Abbott, D. Quasi-photonic crystal fiber-based spectroscopic chemical sensor in the terahertz spectrum: Design and analysis. IEEE Sens. J. 2018, 18, 9948–9954. [Google Scholar] [CrossRef]
- Guobin, R.; Zhi, W.; Shuqin, L.; Yan, L.; Shuisheng, J. Full-vectorial analysis of complex refractive-index photonic crystal fibers. Opt. Express 2004, 12, 1126–1135. [Google Scholar] [CrossRef]
- Hasanuzzaman, G.; Rana, S.; Habib, M.S. A novel low loss, highly birefringent photonic crystal fiber in THz regime. IEEE Photonics Technol. Lett. 2016, 28, 899–902. [Google Scholar] [CrossRef]
- Islam, M.S.; Rana, S.; Islam, M.R.; Faisal, M.; Rahman, H.; Sultana, J. Porous core photonic crystal fibre for ultra-low material loss in THz regime. IET Commun. 2016, 10, 2179–2183. [Google Scholar] [CrossRef]
- Bulbul, A.A.M.; Jibona, R.H.; Das, S.K.D.; Roy, T.; Saha, M.A.; Hossain, M.B. PCF Based Formalin Detection by Exploring the Optical Properties in THz Regime. Nanosci. Nanotechnol. Asia 2020, 10, 1–8. [Google Scholar] [CrossRef]
- Ademgil, H. Highly sensitive octagonal photonic crystal fiber based sensor. Optik 2014, 125, 6274–6278. [Google Scholar] [CrossRef]
- Bulbul, A.A.M.; Hossain, M.B.; Dutta, R.; Hassan, M. Zeonex-based Tetra-rectangular Core-photonic Crystal Fiber for NaCl Detection. Nanosci. Nanotechnol.-Asia 2020, 10, 1–9. [Google Scholar] [CrossRef]
- Islam, M.S.; Sultana, J.; Faisal, M.; Islam, M.R.; Dinovitser, A.; Ng, B.W.; Abbott, D. A modified hexagonal photonic crystal fiber for terahertz applications. Opt. Mater. 2018, 79, 336–339. [Google Scholar] [CrossRef]
- Paul, B.K.; Moctader, M.G.; Ahmed, K.; Khalek, M.A. Nanoscale GaP strips based photonic crystal fiber with high nonlinearity and high numerical aperture for laser applications. Results Phys. 2018, 10, 374–378. [Google Scholar] [CrossRef]
- Rahman, M.M.; Mou, F.A.; Bhuiyan, M.I.H.; Islam, M.R. Photonic crystal fiber based terahertz sensor for cholesterol detection in human blood and liquid foodstuffs. Sens. Bio-Sens. Res. 2020, 29, 100356. [Google Scholar] [CrossRef]
- Rana, S.; Rakin, A.S.; Subbaraman, H.; Leonhardt, R.; Abbott, D. Low loss and low dispersion fiber for transmission applications in the terahertz regime. IEEE Photonics Technol. Lett. 2017, 29, 830–833. [Google Scholar] [CrossRef]
- Islam, M.S.; Sultana, J.; Dinovitser, A.; Faisal, M.; Islam, M.R.; Ng, B.W.-H.; Abbott, D. Zeonex-based asymmetrical terahertz photonic crystal fiber for multichannel communication and polarization maintaining applications. Appl. Opt. 2018, 57, 666–672. [Google Scholar] [CrossRef] [PubMed]
- Kumar Paul, B.; Haque, M.; Ahmed, K.; Sen, S. A novel hexahedron photonic crystal fiber in terahertz propagation: Design and analysis. Photonics 2019, 6, 32. [Google Scholar] [CrossRef]
- Yakasai, I.; Abas, P.E.; Kaijage, S.F.; Caesarendra, W.; Begum, F. Proposal for a quad-elliptical photonic crystal fiber for terahertz wave guidance and sensing chemical warfare liquids. Photonics 2019, 6, 78. [Google Scholar] [CrossRef]





















| Model Type | Bir | Eff. Area (μm2) | NA | EML (cm−1) | Conf. Loss (cm−1) | Dispersion (ps/THz/cm) | PF in x-Pol (%) | PF in y-Pol (%) |
|---|---|---|---|---|---|---|---|---|
| 24 R | 0.0158 | 36.08 × 104 | 0.212 | 0.0040 | 1.73 × 10−9 | 0.3659 | 64.98 | 53.02 |
| 48 R | 0.0153 | 34.00 × 104 | 0.218 | 0.0039 | 1.06 × 10−12 | 0.3251 | 64.90 | 63.94 |
| 80 R | 0.0152 | 32.84 × 104 | 0.221 | 0.0043 | 1.25 × 10−10 | 0.3529 | 64.63 | 64.94 |
| Model Porosity | Bir | Eff. Area (μm2) | NA | EML (cm−1) | Conf. Loss (cm−1) | Dispersion (ps/THz/cm) | PF in x-Pol (%) | PF in y-Pol (%) |
|---|---|---|---|---|---|---|---|---|
| 86% | 0.0143 | 3963 × 104 | 0.202 | 0.003 | 7.03 × 10−11 | 0.3045 | 62.84 | 59.84 |
| 81% | 0.0153 | 34.00 × 104 | 0.218 | 0.0039 | 1.06 × 10−12 | 0.3251 | 64.90 | 63.94 |
| 77% | 0.0167 | 3313 × 104 | 0.22 | 0.0045 | 5.96 × 10−13 | 0.3004 | 62.60 | 62.04 |
| Year [Ref.] | Frequency (THz) | Dispersion (ps/THz/cm) | Bir | Eff. Area (μm2) | NA | EML (cm−1) | Conf. Loss (cm−1) | PF (%) |
|---|---|---|---|---|---|---|---|---|
| 2015 [18] | 1.0 | 0.5 | 0.075 | ― | ― | 0.12 | 0.069 | 22.00 |
| 2016 [19] | 1.0 | 1.42 | 0.048 | ― | ― | 0.12 | 5.16 × 10−6 | 31.00 |
| 2016 [20] | 1.0 | 0.9 | 0.045 | ― | ― | 0.08 | ― | 33.00 |
| 2016 [22] | 3.2 | 0.51 | 0.03 | ― | ― | 0.6 | 2.3 × 10−5 | 46.00 |
| 2016 [21] | 0.7 | 2.92 | 0.0105 | 2.3 × 105 | ― | 0.076 | 0.576 | ― |
| 2017 [23] | 1.0 | ― | 0.012 | ― | ― | 0.0689 | ― | ― |
| 2017 [50] | 0.7 | 0.38 | ― | ― | ― | 0.0118 | 1.0 | 17.00 |
| 2017 [25] | 1.0 | 0.5 | 0.063 | 1.24 × 105 | ― | 0.081 | 1.96 × 10−3 | 46.90 |
| 2018 [51] | 1.1 | 1.35 | 0.063 | 1.2 × 105 | ― | 0.06 | 5.45 × 10−13 | 45.00 |
| 2019 [52] | 1.0 | 4.0 | ― | 1.1 × 105 | 0.45 | 0.1 | 1.38 × 10−12 | 57.50 |
| 2019 [53] | 1.2 | 1.4 | 0.096 | 4.7 × 104 | ― | 0.055 | 5.0 × 10−5 | 28.67 |
| 2020 [Proposed] | 1.3 | 0.3251 | 0.0153 | 3.4 × 105 | 0.22 | 0.0039 | 1.06 × 10−12 | 64.90 |
Publisher’s Note: MDPI stays neutral with regard to jurisdictional claims in published maps and institutional affiliations. |
© 2020 by the authors. Licensee MDPI, Basel, Switzerland. This article is an open access article distributed under the terms and conditions of the Creative Commons Attribution (CC BY) license (http://creativecommons.org/licenses/by/4.0/).
Share and Cite
Bulbul, A.A.-M.; Imam, F.; Awal, M.A.; Mahmud, M.A.P. A Novel Ultra-Low Loss Rectangle-Based Porous-Core PCF for Efficient THz Waveguidance: Design and Numerical Analysis. Sensors 2020, 20, 6500. https://doi.org/10.3390/s20226500
Bulbul AA-M, Imam F, Awal MA, Mahmud MAP. A Novel Ultra-Low Loss Rectangle-Based Porous-Core PCF for Efficient THz Waveguidance: Design and Numerical Analysis. Sensors. 2020; 20(22):6500. https://doi.org/10.3390/s20226500
Chicago/Turabian StyleBulbul, Abdullah Al-Mamun, Farjana Imam, Md. Abdul Awal, and M. A. Parvez Mahmud. 2020. "A Novel Ultra-Low Loss Rectangle-Based Porous-Core PCF for Efficient THz Waveguidance: Design and Numerical Analysis" Sensors 20, no. 22: 6500. https://doi.org/10.3390/s20226500
APA StyleBulbul, A. A.-M., Imam, F., Awal, M. A., & Mahmud, M. A. P. (2020). A Novel Ultra-Low Loss Rectangle-Based Porous-Core PCF for Efficient THz Waveguidance: Design and Numerical Analysis. Sensors, 20(22), 6500. https://doi.org/10.3390/s20226500

