Real-Time Calibration of Magnetometers Using the RLS/ML Algorithm
Abstract
1. Introduction
2. Sensor Model and Initial Estimation
2.1. Sensor Model
2.2. Proposed Initial Estimation Method
3. Performing Magnetometer Calibration
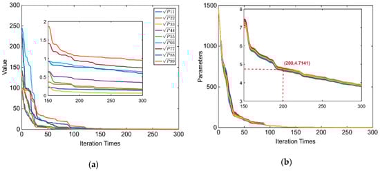
4. Simulation and Experimental Results
4.1. Simulation Results
4.2. Experimental Results
5. Discussion
- ①
- Shortens the computational time due to the iterative operations of RLS;
- ②
- Detects the calibration implementation adaptively by the parameter s in Equation (10);
- ③
- Improves the accuracy of the calibration by utilizing ML algorithm.
6. Conclusions
Author Contributions
Funding
Conflicts of Interest
References
- Hou, M.; Xu, Y.; Liu, X. Robust self-contained pedestrian navigation by fusing the IMU and compass measurements via UFIR filtering. J. Electr. Comput. Eng. 2018. [Google Scholar] [CrossRef]
- Ilyas, M.; Cho, K.; Baeg, S.H.; Park, S. Drift reduction in pedestrian navigation system by exploiting motion constraints and magnetic field. Sensors 2016, 16, 1455. [Google Scholar] [CrossRef] [PubMed]
- Zhang, R.; Hoflinger, F.; Reindl, L. Inertial sensor based indoor localization and monitoring system for emergency responders. IEEE Sens. J. 2013, 13, 838–848. [Google Scholar] [CrossRef]
- Yadav, N.; Bleakley, C. Accurate orientation estimation using AHRS under conditions of magnetic distortion. Sensors 2014, 14, 20008–20024. [Google Scholar] [CrossRef] [PubMed]
- Fan, B.; Li, Q.; Liu, T. How magnetic disturbance influences the attitude and heading in magnetic and inertial sensor-based orientation estimation. Sensors 2018, 18, 76. [Google Scholar] [CrossRef]
- Abyarjoo, F.; Barreto, A.; Cofino, J.; Ortega, F.R. Implementing a sensor fusion algorithm for 3D orientation detection with inertial/magnetic sensors. In Innovations and Advances in Computing, Informatics, Systems Sciences, Networking and Engineering; Springer: Cham, Switzerland, 2015; pp. 305–310. [Google Scholar]
- Zhu, X.; Zhao, T.; Cheng, D.; Zhou, Z. A three-step calibration method for tri-axial field sensors in a 3D magnetic digital compass. Meas. Sci. Technol. 2017, 28, 055106. [Google Scholar] [CrossRef]
- Guo, X.; Tang, J.; Li, J.; Wang, C.; Shen, C.; Liu, J. Determine turntable coordinate system considering its non-orthogonality. Rev. Sci. Instrum. 2019, 90, 033704. [Google Scholar] [CrossRef]
- Gebre-Egziabher, D.; Elkaim, G.H.; David Powell, J.; Parkinson, B.W. Calibration of strapdown magnetometers in magnetic field domain. J. Aerosp. Eng. 2006, 19, 87–102. [Google Scholar] [CrossRef]
- Renaudin, V.; Afzal, M.H.; Lachapelle, G. Complete triaxis magnetometer calibration in the magnetic domain. J. Sens. 2010. [Google Scholar] [CrossRef]
- Zhang, Z.Q.; Yang, G.Z. Micromagnetometer calibration for accurate orientation estimation. IEEE Trans. Biomed. Eng. 2014, 62, 553–560. [Google Scholar] [CrossRef]
- Gebre-Egziabher, D.; Elkaim, G.H.; Powell, J.D.; Parkinson, B.W. A non-linear, two-step estimation algorithm for calibrating solid-state strapdown magnetometers. In Proceedings of the 8th International St. Petersburg Conference on Navigation Systems (IEEE/AIAA), St. Petersburg, Russia, 27–31 May 2001. [Google Scholar]
- Vasconcelos, J.F.; Elkaim, G.; Silvestre, C.; Oliveira, P.; Cardeira, B. Geometric approach to strapdown magnetometer calibration in sensor frame. IEEE Trans. Aerosp. Electron. Syst. 2011, 47, 1293–1306. [Google Scholar] [CrossRef]
- Costanzi, R.; Fanelli, F.; Monni, N.; Ridolfi, A.; Allotta, B. An attitude estimation algorithm for mobile robots under unknown magnetic disturbances. IEEE/ASME Trans. Mechatron. 2016, 21, 1900–1911. [Google Scholar] [CrossRef]
- Wu, Y.; Shi, W. On calibration of three-axis magnetometer. IEEE Sens. J. 2015, 15, 6424–6431. [Google Scholar] [CrossRef]
- Crassidis, J.L.; Lai, K.L.; Harman, R.R. Real-time attitude-independent three-axis magnetometer calibration. J. Guid. Control Dyn. 2005, 28, 115–120. [Google Scholar] [CrossRef]
- Grandvallet, B.; Zemouche, A.; Boutayeb, M.; Changey, S. Real-time attitude-independent three-axis magnetometer calibration for spinning projectiles: A sliding window approach. IEEE Trans. Control Syst. Technol. 2013, 22, 255–264. [Google Scholar] [CrossRef]
- Li, X.; Li, Z. A new calibration method for tri-axial field sensors in strap-down navigation systems. Meas. Sci. Technol. 2012, 23, 105105. [Google Scholar] [CrossRef]
- Salehi, S.; Mostofi, N.; Bleser, G. A practical in-field magnetometer calibration method for IMUs. In Proceedings of the IROS Workshop on Cognitive Assistive Systems: Closing the Action-Perception Loop, Vilamoura, Portugal, 7 October 2012; pp. 39–44. [Google Scholar]
- Kok, M.; Schön, T.B. Magnetometer calibration using inertial sensors. IEEE Sens. J. 2016, 16, 5679–5689. [Google Scholar] [CrossRef]
- Wu, Y.; Zou, D.; Liu, P.; Yu, W. Dynamic magnetometer calibration and alignment to inertial sensors by Kalman filtering. IEEE Trans. Control Syst. Technol. 2018, 26, 716–723. [Google Scholar] [CrossRef]
- Wu, Y.; Luo, S. On misalignment between magnetometer and inertial sensors. IEEE Sens. J. 2016, 16, 6288–6297. [Google Scholar] [CrossRef]
- Wahdan, A.; Georgy, J.; Noureldin, A. Three-dimensional magnetometer calibration with small space coverage for pedestrians. IEEE Sens. J. 2015, 15, 598–609. [Google Scholar] [CrossRef]
- Metge, J.; Mégret, R.; Giremus, A.; Berthoumieu, Y.; Décamps, T. Calibration of an inertial-magnetic measurement unit without external equipment, in the presence of dynamic magnetic disturbances. Meas. Sci. Technol. 2014, 25, 125106. [Google Scholar] [CrossRef]
- Hol, J.D. Sensor Fusion and Calibration of Inertial Sensors, Vision, Ultra-Wideband and GPS; Linköping University Electronic Press: Linköping, Sweden, 2011. [Google Scholar]
- Zhang, H.; Wu, Y.; Wu, W.; Wu, M.; Hu, X. Improved multi-position calibration for inertial measurement units. Meas. Sci. Technol. 2009, 21, 015107. [Google Scholar] [CrossRef]













| Methods | |||
|---|---|---|---|
| RLS | 0.0119 (0.0053) | 0.4845 (0.2127) | 0.0093 (0.0039) |
| RLS + ML | 0.0047 (0.0030) | 0.2035 (0.1140) | 0.0040 (0.0023) |
| Methods | |||
|---|---|---|---|
| LS | 0.0388 (0.0402) | 0.9062 (0.7369) | 0.0134 (0.0134) |
| RLS | 0.0269 (0.0244) | 0.8019 (0.5461) | 0.0115 (0.0098) |
| LS + ML | 0.0310 (0.0301) | 0.7314 (0.5830) | 0.0111 (0.0105) |
| RLS + ML | 0.0309 (0.0300) | 0.7280 (0.5803) | 0.0111 (0.0105) |
© 2020 by the authors. Licensee MDPI, Basel, Switzerland. This article is an open access article distributed under the terms and conditions of the Creative Commons Attribution (CC BY) license (http://creativecommons.org/licenses/by/4.0/).
Share and Cite
Cao, G.; Xu, X.; Xu, D. Real-Time Calibration of Magnetometers Using the RLS/ML Algorithm. Sensors 2020, 20, 535. https://doi.org/10.3390/s20020535
Cao G, Xu X, Xu D. Real-Time Calibration of Magnetometers Using the RLS/ML Algorithm. Sensors. 2020; 20(2):535. https://doi.org/10.3390/s20020535
Chicago/Turabian StyleCao, Guocan, Xiang Xu, and Dacheng Xu. 2020. "Real-Time Calibration of Magnetometers Using the RLS/ML Algorithm" Sensors 20, no. 2: 535. https://doi.org/10.3390/s20020535
APA StyleCao, G., Xu, X., & Xu, D. (2020). Real-Time Calibration of Magnetometers Using the RLS/ML Algorithm. Sensors, 20(2), 535. https://doi.org/10.3390/s20020535

