A Usability Study of Physiological Measurement in School Using Wearable Sensors
Abstract
1. Introduction
- the usability and efficiency of the devices when recording at school; we evaluate the practical feasibility of monitoring physiological signals using wearable sensors in school, where students were allowed to move freely without the instruction to perform any specific task. Handling of devices, recording interference, frequency, and amount of missing data were assessed to quantify the feasibility to measure physiological signals in the field at school.
- signal processing issues in real-life recording; we examined how to deal with invalid EDA signals due to loose sensors, and we evaluated the adequacy of using automatic EDA toolboxes to detect artifacts. This forms the main part of the study. Particularly, this part will be relevant to a broader range of real-life settings than only the school.
- the general pattern of EDA and HR in a classroom setting; to fill the gap between laboratory experiments in an education context and real-world measurement with unrestricted movement and unknown contexts, we chose to focus on the class lectures that can be assumed not to involve vigorous physical activities. We examined time courses of physiological signals of students from start to end of a class lecture.
2. Methods
2.1. Participants
2.2. Sensors and Procedure
2.3. Analysis
- Raw EDA signal: mean and median.
- Phasic component: mean and median.
- Tonic component: mean and median.
- Peak amplitude: mean and median; peaks were detected by Ledalab defined as the point where underlying EDA “driver” slope changes its sign.
- Number of peaks: number of all peaks, number of peaks with amplitude higher than 0.05 S, number of peaks with amplitude higher than 1 S
3. Results
3.1. Usability
3.1.1. Participants’ Handling of the Devices
3.1.2. First Impression: Missing Data and Overall Data Quality
3.2. Signal Processing of Real Life Eda
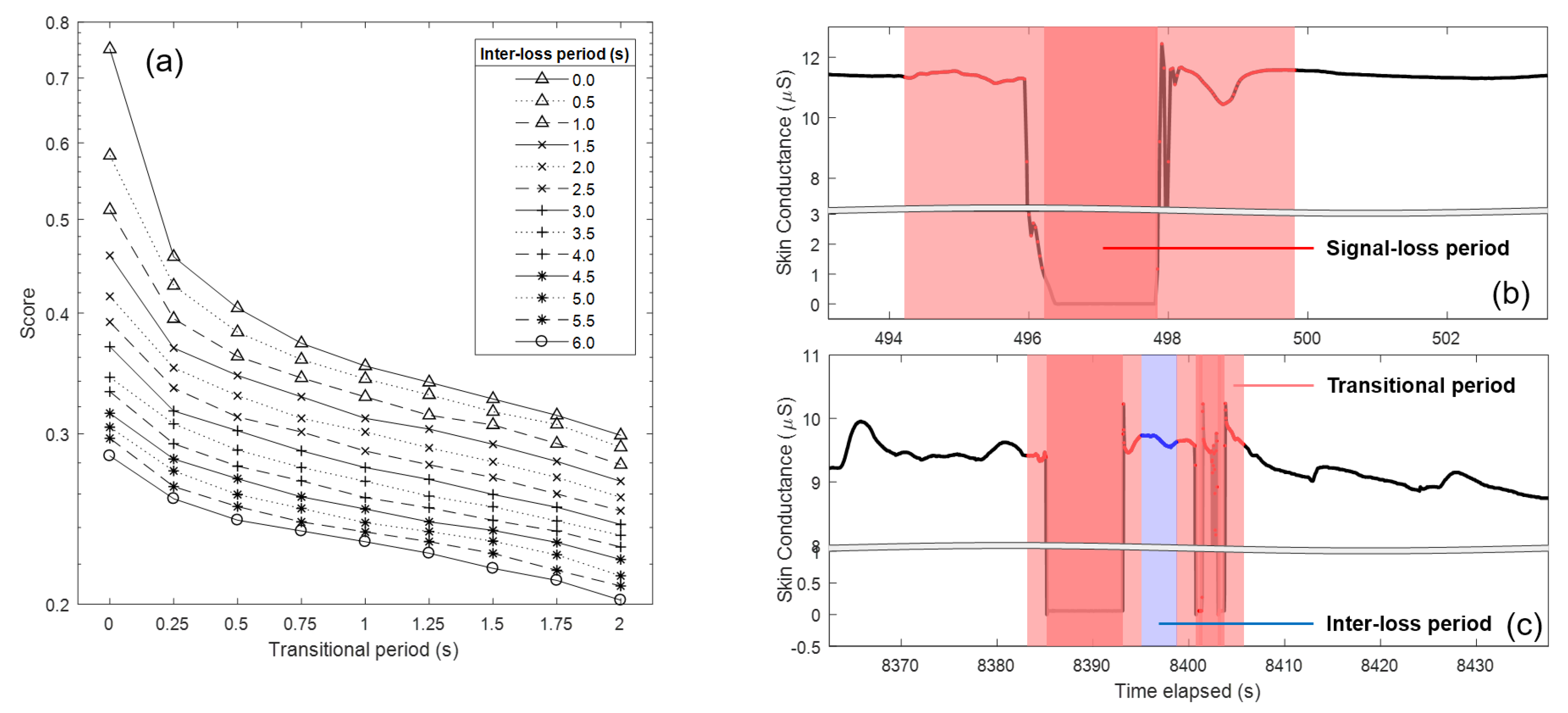
3.2.1. Signal-Loss Due to Loose Sensor
3.2.2. Quantization Error and Its Effect on Extracting Scr
3.2.3. Movement Artifacts and Artifacts Due to Unknown Factors
3.3. General Pattern
4. Discussion
Author Contributions
Funding
Acknowledgments
Conflicts of Interest
Ethical Statements
Abbreviations
| Ag/AgCl | silver/silver chloride |
| BPM | beats per minute |
| CDA | continuous decomposition analysis |
| DC | direct current |
| EDA | electrodermal activity |
| FIR | finite impulse response |
| HR | heart rate |
| SCL | skin conductance level |
| SCR | skin conductance response |
| SD | standard deviation |
| S-G | Savitzky–Golay |
References
- Brouwer, A.M.; Hogervorst, M.A. A new paradigm to induce mental stress: The Sing-a-Song Stress Test (SSST). Front. Neurosci. 2014, 8, 224. [Google Scholar] [CrossRef] [PubMed]
- Hogervorst, M.A.; Brouwer, A.M.; van Erp, J.B.F. Combining and comparing EEG, peripheral physiology and eye-related measures for the assessment of mental workload. Front. Neurosci. 2014, 8, 322. [Google Scholar] [CrossRef] [PubMed]
- Dawson, M.E.; Schell, A.M.; Courtney, C.G. The skin conductance response, anticipation, and decision-making. J. Neurosci. Psychol. Econ. 2011, 4, 111–116. [Google Scholar] [CrossRef]
- Stuldreher, I.V.; Thammasan, N.; van Erp, J.B.F.; Brouwer, A.M. Physiological synchrony in EEG, electrodermal activity and heart rate reflects shared selective auditory attention. J. Neural Eng. 2020, 17, 046028. [Google Scholar] [CrossRef] [PubMed]
- Baig, M.Z.; Kavakli, M. A Survey on Psycho-Physiological Analysis and Measurement Methods in Multimodal Systems. Multimodal Technol. Interact. 2019, 3, 37. [Google Scholar] [CrossRef]
- Brouwer, A.M.; Zander, T.O.; van Erp, J.B.F.; Korteling, J.E.; Bronkhorst, A.W. Using neurophysiological signals that reflect cognitive or affective state: Six recommendations to avoid common pitfalls. Front. Neurosci. 2015, 9, 136. [Google Scholar] [CrossRef] [PubMed]
- Akbar, F.; Mark, G.; Pavlidis, I.; Gutierrez-Osuna, R. An Empirical Study Comparing Unobtrusive Physiological Sensors for Stress Detection in Computer Work. Sensors 2019, 19, 3766. [Google Scholar] [CrossRef]
- Coffman, D.L.; Cai, X.; Li, R.; Leonard, N.R. Challenges and Opportunities in Collecting and Modeling Ambulatory Electrodermal Activity Data. JMIR Biomed. Eng. 2020, 5, e17106. [Google Scholar] [CrossRef]
- Peake, J.M.; Kerr, G.; Sullivan, J.P. A Critical Review of Consumer Wearables, Mobile Applications, and Equipment for Providing Biofeedback, Monitoring Stress, and Sleep in Physically Active Populations. Front. Physiol. 2018, 9, 743. [Google Scholar] [CrossRef]
- Spear, L.P. Heightened stress responsivity and emotional reactivity during pubertal maturation: Implications for psychopathology. Dev. Psychopathol. 2009, 21, 87–97. [Google Scholar] [CrossRef]
- Hollenstein, T.; McNeely, A.; Eastabrook, J.; Mackey, A.; Flynn, J. Sympathetic and parasympathetic responses to social stress across adolescence. Dev. Psychobiol. 2012, 54, 207–214. [Google Scholar] [CrossRef] [PubMed]
- Somerville, L.H.; Jones, R.M.; Ruberry, E.J.; Dyke, J.P.; Glover, G.; Casey, B.J. The Medial Prefrontal Cortex and the Emergence of Self-Conscious Emotion in Adolescence. Psychol. Sci. 2013, 24, 1554–1562. [Google Scholar] [CrossRef] [PubMed]
- van den Bos, E.; de Rooij, M.; Miers, A.C.; Bokhorst, C.L.; Westenberg, P.M. Adolescents’ Increasing Stress Response to Social Evaluation: Pubertal Effects on Cortisol and Alpha-Amylase During Public Speaking. Child Dev. 2014, 85, 220–236. [Google Scholar] [CrossRef] [PubMed]
- Kessler, R.C.; Berglund, P.; Demler, O.; Jin, R.; Merikangas, K.R.; Walters, E.E. Lifetime Prevalence and Age-of-Onset Distributions of DSM-IV Disorders in the National Comorbidity Survey Replication. Arch. Gen. Psychiatry 2005, 62, 593–602. [Google Scholar] [CrossRef] [PubMed]
- Wang, C.; Cesar, P. Physiological Measurement on Studentsundefined Engagement in a Distributed Learning Environment. In Proceedings of the 2nd International Conference on Physiological Computing Systems, Loire Valley, France, 11–13 February 2015; SCITEPRESS-Science and Technology Publications, Lda: Setubal, Portugal, 2015; pp. 149–156. [Google Scholar] [CrossRef]
- McNeal, K.S.; Spry, J.M.; Mitra, R.; Tipton, J.L. Measuring Student Engagement, Knowledge, and Perceptions of Climate Change in an Introductory Environmental Geology Course. J. Geosci. Educ. 2014, 62, 655–667. [Google Scholar] [CrossRef]
- Gashi, S.; Di Lascio, E.; Santini, S. Using Students’ Physiological Synchrony to Quantify the Classroom Emotional Climate. In Proceedings of the 2018 ACM International Joint Conference and 2018 International Symposium on Pervasive and Ubiquitous Computing and Wearable Computers, Singapore, 8–12 October 2018; Association for Computing Machinery: New York, NY, USA, 2018; pp. 698–701. [Google Scholar] [CrossRef]
- Di Lascio, E.; Gashi, S.; Santini, S. Unobtrusive Assessment of Students’ Emotional Engagement during Lectures Using Electrodermal Activity Sensors. Proc. ACM Interact. Mob. Wearable Ubiquitous Technol. 2018, 2, 103. [Google Scholar] [CrossRef]
- Senthil, S.; Wong, M.L. Measuring students’ engagement using wireless heart rate sensors. In Proceedings of the 2017 International Conference on Smart Technologies for Smart Nation (SmartTechCon), Bangalore, India, 17–19 August 2017; pp. 699–704. [Google Scholar]
- Di Lascio, E.; Gashi, S.; Krasic, D.; Santini, S. In-Classroom Self-Tracking for Teachers and Students: Preliminary Findings from a Pilot Study. In Proceedings of the 2017 ACM International Joint Conference on Pervasive and Ubiquitous Computing and the 2017 ACM International Symposium on Wearable Computers, Maui, HI, USA, 13–15 September 2017; Association for Computing Machinery: New York, NY, USA, 2017; pp. 865–870. [Google Scholar]
- Arroyo, I.; Cooper, D.G.; Burleson, W.; Woolf, B.P.; Muldner, K.; Christopherson, R. Proceedings of the 2009 Conference on Artificial Intelligence in Education: Building Learning Systems that Care: From Knowledge Representation to Affective Modelling; Emotion Sensors Go To School; IOS Press: Brighton, UK, 2009. [Google Scholar]
- Schaefer, S.E.; Van Loan, M.; German, J.B. A Feasibility Study of Wearable Activity Monitors for Pre-Adolescent School-Age Children. Prev. Chronic Dis. 2014, 11, 130262. [Google Scholar] [CrossRef]
- Darnell, D.K.; Krieg, P.A. Student engagement, assessed using heart rate, shows no reset following active learning sessions in lectures. PLoS ONE 2019, 14, 1–13. [Google Scholar] [CrossRef]
- Kapp, D.; Schaaff, K.; Ottenbacher, J.; Heuer, S.; Bachis, S. Isolating the Effects of Emotional Stimuli in EDA Measurement. Movisens. 2017. Available online: https://www.movisens.com/wp-content/downloads/WPedaMove_Effects_of_Stimuli.pdf (accessed on 20 September 2020).
- Boucsein, W. Electrodermal Activity; Springer Science+Business Media, LLC: New York, NY, USA, 2012. [Google Scholar]
- Albulbul, A. Evaluating Major Electrode Types for Idle Biological Signal Measurements for Modern Medical Technology. Bioengineering 2016, 3, 20. [Google Scholar] [CrossRef]
- Movisens. EdaMove 4. 2020. Available online: https://docs.movisens.com/Sensors/EdaMove4/ (accessed on 1 September 2020).
- Society for Psychophysiological Research Ad Hoc Committee on Electrodermal Measures. Publication recommendations for electrodermal measurements. Psychophysiology 2012, 49, 1017–1034. [Google Scholar] [CrossRef]
- Dawson, M.E.; Schell, A.M.; Filion, D.L. The Electrodermal System. In Handbook of Psychophysiology, 4th ed.; Cacioppo, J.T., Tassinary, L.G., Berntson, G.G., Eds.; Cambridge Handbooks in Psychology, Cambridge University Press: Cambridge, UK, 2016. [Google Scholar] [CrossRef]
- Benedek, M.; Kaernbach, C. A continuous measure of phasic electrodermal activity. J. Neurosci. Methods 2010, 190, 80–91. [Google Scholar] [CrossRef] [PubMed]
- Brouwer, A.M.; van Beurden, M.; Nijboer, L.; Derikx, L.; Binsch, O.; Gjaltema, C.; Noordzij, M. A Comparison of Different Electrodermal Variables in Response to an Acute Social Stressor. In Symbiotic Interaction; Ham, J., Spagnolli, A., Blankertz, B., Gamberini, L., Jacucci, G., Eds.; Springer International Publishing: Cham, Switzerland, 2018; pp. 7–17. [Google Scholar]
- Sano, A.; Taylor, S.; McHill, A.W.; Phillips, A.J.; Barger, L.K.; Klerman, E.; Picard, R. Identifying Objective Physiological Markers and Modifiable Behaviors for Self-Reported Stress and Mental Health Status Using Wearable Sensors and Mobile Phones: Observational Study. J. Med. Internet Res. 2018, 20, e210. [Google Scholar] [CrossRef]
- Van Beers, J.J.; Stuldreher, I.V.; Thammasan, N.; Brouwer, A.M. A Comparison between Laboratory and Wearable Sensors in the Context of Physiological Synchrony. In Proceedings of the 2020 International Conference on Multimodal Interaction, Utrecht, The Netherlands, 25–29 October 2020; Association for Computing Machinery: New York, NY, USA, 2020. in press. [Google Scholar]
- Hernandez Rivera, J. Towards Wearable Stress Measurement. Ph.D. Thesis, Massachusetts Institute of Technology, Cambridge, MA, USA, 2015. [Google Scholar]
- Julian-Almarcegui, C.; Vandevijvere, S.; Gottrand, F.; Beghin, L.; Dallongeville, J.; Sjostrom, M.; Leclercq, C.; Manios, Y.; Widhalm, K.; Ferreira De Morares, A.C.; et al. Association of heart rate and blood pressure among European adolescents with usual food consumption: The HELENA study. Nutr. Metab. Cardiovasc. Dis. 2016, 26, 541–548. [Google Scholar] [CrossRef] [PubMed]
- Ekelund, U.; Sjöström, M.; Yngve, A.; Nilsson, A. Total daily energy expenditure and pattern of physical activity measured by minute-by-minute heart rate monitoring in 14–15 year old Swedish adolescents. Eur. J. Clin. Nutr. 2000, 54, 195–202. [Google Scholar] [CrossRef]
- Kleckner, I.; Feldman, M.; Goodwin, M.S.; Quigley, K. Framework for Selecting and Benchmarking Mobile Devices in Psychophysiological Research. PsyArXiv 2019. [Google Scholar] [CrossRef]
- Coleman, M.E. A technicians’ perspective: Tips and techniques for using disposable tab electrocardiogram electrodes; an easy to remember method for preventing electrocardiogram lead interchange. J. Electrocardiol. 2006, 39, 355–357. [Google Scholar] [CrossRef] [PubMed]
- Shaffer, F.; Combatalade, D.; Peper, E.; Meehan, Z.M. A Guide to Cleaner Electrodermal Activity Measurements. Biofeedback 2016, 44, 90–100. [Google Scholar] [CrossRef]
- Caruelle, D.; Gustafsson, A.; Shams, P.; Lervik-Olsen, L. The use of electrodermal activity (EDA) measurement to understand consumer emotions—A literature review and a call for action. J. Bus. Res. 2019, 104, 146–160. [Google Scholar] [CrossRef]
- Kleckner, I.R.; Jones, R.M.; Wilder-Smith, O.; Wormwood, J.B.; Akcakaya, M.; Quigley, K.S.; Lord, C.; Goodwin, M.S. Simple, Transparent, and Flexible Automated Quality Assessment Procedures for Ambulatory Electrodermal Activity Data. IEEE Trans. Biomed. Eng. 2018, 65, 1460–1467. [Google Scholar] [CrossRef]
- Doberenz, S.; Roth, W.T.; Wollburg, E.; Maslowski, N.I.; Kim, S. Methodological considerations in ambulatory skin conductance monitoring. Int. J. Psychophysiol. 2011, 80, 87–95. [Google Scholar] [CrossRef]
- Schwartz, M.; Andrasik, F. Biofeedback, Fourth Edition: A Practitioner’s Guide; Guilford Publications: New York, NY, USA, 2016. [Google Scholar]
- Wallis, K. A Note on the Calculation of Entropy from Histograms; MPRA Paper 52856; University Library of Munich: Munich, Germany, 2006. [Google Scholar]
- Fowles, D.C.; Christie, M.J.; Edelberg, R.; GRINGS, W.W.; Lykken, D.T.; Venables, P.H. Publication Recommendations for Electrodermal Measurements. Psychophysiology 1981, 18, 232–239. [Google Scholar] [CrossRef] [PubMed]
- Posada-Quintero, H.F.; Chon, K.H. Innovations in Electrodermal Activity Data Collection and Signal Processing: A Systematic Review. Sensors 2020, 20, 479. [Google Scholar] [CrossRef] [PubMed]
- Borovac, A.; Stuldreher, I.V.; Thammasan, N.; Brouwer, A.M. Validation of wearables for electrodermal activity (EdaMove) and heart rate (Wahoo Tickr). In Proceedings of the 12th International Conference on Methods and Techniques in Behavioral Research, Krakow, Poland, 13–15 October 2021. [Google Scholar]
- Chaparro, L. Chapter 8—Sampling Theory. In Signals and Systems Using MATLAB, 2nd ed.; Academic Press: Boston, MA, USA, 2015; pp. 493–534. [Google Scholar]
- Widrow, B.; Kollár, I. Quantization Noise: Roundoff Error in Digital Computation, Signal Processing, Control, and Communications; Cambridge University Press: Cambridge, UK, 2008. [Google Scholar]
- Hernandez, J.; Riobo, I.; Rozga, A.; Abowd, G.D.; Picard, R.W. Using Electrodermal Activity to Recognize Ease of Engagement in Children during Social Interactions. In Proceedings of the 2014 ACM International Joint Conference on Pervasive and Ubiquitous Computing, Seattle, WA, USA, 13–17 September 2014; Association for Computing Machinery: New York, NY, USA, 2014; pp. 307–317. [Google Scholar] [CrossRef]
- Maereg, A.T.; Secco, E.L.; Agidew, T.F.; Reid, D.; Nagar, A.K. A Low-Cost, Wearable Opto-Inertial 6-DOF Hand Pose Tracking System for VR. Technologies 2017, 5, 49. [Google Scholar] [CrossRef]
- Gautam, A.; Simoes-Capela, N.; Schiavone, G.; Acharyya, A.; de Raedt, W.; Van Hoof, C. A Data Driven Empirical Iterative Algorithm for GSR Signal Pre-Processing. In Proceedings of the 2018 26th European Signal Processing Conference (EUSIPCO), Rome, Italy, 3–7 September 2018; pp. 1162–1166. [Google Scholar]
- Savitzky, A.; Golay, M.J.E. Smoothing and Differentiation of Data by Simplified Least Squares Procedures. Anal. Chem. 1964, 36, 1627–1639. [Google Scholar] [CrossRef]
- Huang, H.; Hu, S.; Sun, Y. A Discrete Curvature Estimation Based Low-Distortion Adaptive Savitzky–Golay Filter for ECG Denoising. Sensors 2019, 19, 1617. [Google Scholar] [CrossRef] [PubMed]
- Mitz, A.R.; Chacko, R.V.; Putnam, P.T.; Rudebeck, P.H.; Murray, E.A. Using pupil size and heart rate to infer affective states during behavioral neurophysiology and neuropsychology experiments. J. Neurosci. Methods 2017, 279, 1–12. [Google Scholar] [CrossRef]
- Thammasan, N.; Stuldreher, I.V.; Wismeijer, D.; Poel, M.; van Erp, J.; Brouwer, A.M. A novel, simple and objective method to detect movement artefacts in electrodermal activity. In Proceedings of the 2019 8th International Conference on Affective Computing and Intelligent Interaction (ACII), Cambridge, UK, 3–6 September 2019; pp. 1–7. [Google Scholar]
- Bradley, M.M.; Lang, P.J. The International Affective Digitized Sounds (IADS-2): Affective Ratings of Sounds and Instruction Manual; Technical Report B-3; University of Florida: Gainesville, FL, USA, 2007. [Google Scholar]
- Taylor, S.; Jaques, N.; Chen, W.; Fedor, S.; Sano, A.; Picard, R. Automatic identification of artifacts in electrodermal activity data. In Proceedings of the 2015 37th Annual International Conference of the IEEE Engineering in Medicine and Biology Society (EMBC), Milan, Italy, 25–29 August 2015; pp. 1934–1937. [Google Scholar]
- Tsiamyrtzis, P.; Dcosta, M.; Shastri, D.; Prasad, E.; Pavlidis, I. Delineating the Operational Envelope of Mobile and Conventional EDA Sensing on Key Body Locations. In Proceedings of the 2016 CHI Conference on Human Factors in Computing Systems, San Jose, CA, USA, 7–12 May 2016; CHI’16. Association for Computing Machinery: New York, NY, USA, 2016; pp. 5665–5674. [Google Scholar] [CrossRef]
- Van Lier, H.G.; Pieterse, M.E.; Garde, A.; Postel, M.G.; de Haan, H.A.; Vollenbroek-Hutten, M.M.R.; Schraagen, J.M.; Noordzij, M.L. A standardized validity assessment protocol for physiological signals from wearable technology: Methodological underpinnings and an application to the E4 biosensor. Behav. Res. Methods 2019. [Google Scholar] [CrossRef]
- Zangróniz, R.; Martínez-Rodrigo, A.; Pastor, J.M.; López, M.T.; Fernández-Caballero, A. Electrodermal Activity Sensor for Classification of Calm/Distress Condition. Sensors 2017, 17, 2324. [Google Scholar] [CrossRef]
- Lam, B.; Hong, J.Y.; Ong, Z.T.; Gan, W.S. Reliability of Wrist-Worn Sensors for Measuring Physiological Responses in Soundscape Assessments. In Proceedings of the 47th International Congress and Exposition on Noise Control Engineering, Chicago, IL, USA, 26–29 August 2018. [Google Scholar]
- Russell, M.A.; Gajos, J.M. Annual research review: Ecological momentary assessment studies in child psychology and psychiatry. J. Child Psychol. Psychiatry 2020, 61, 376–394. [Google Scholar] [CrossRef]
- Dockray, S.; O’Neill, S.; Jump, O. Measuring the Psychobiological Correlates of Daily Experience in Adolescents. J. Res. Adolesc. 2019, 29, 595–612. [Google Scholar] [CrossRef]
- Kelsey, M.; Akcakaya, M.; Kleckner, I.R.; Palumbo, R.V.; Barrett, L.F.; Quigley, K.S.; Goodwin, M.S. Applications of sparse recovery and dictionary learning to enhance analysis of ambulatory electrodermal activity data. Biomed. Signal Process. Control. 2018, 40, 58–70. [Google Scholar] [CrossRef]
- Zhang, Y.; Haghdan, M.; Xu, K.S. Unsupervised Motion Artifact Detection in Wrist-Measured Electrodermal Activity Data. In Proceedings of the 2017 ACM International Symposium on Wearable Computers, Maui, HI, USA, 11–15 September 2017; Association for Computing Machinery: New York, NY, USA, 2017; pp. 54–57. [Google Scholar] [CrossRef]
- Braithwaite, J.J.; Watson, D.G.; Jones, R.; Rowe, M. A Guide for Analysing Electrodermal Activity (EDA) and Skin Conductance Responses (SCRs) for Psychological Experiments; Technical Report; University of Birmingham: Birmingham, UK, 2015. [Google Scholar]
- De Looff, P.; Cornet, L.; Embregts, P.; Nijman, H.; Didden, H. Associations of sympathetic and parasympathetic activity in job stress and burnout: A systematic review. PLoS ONE 2018, 13, e0205741. [Google Scholar] [CrossRef] [PubMed]
- O’Connor, D.B.; Thayer, J.F.; Vedhara, K. Stress and Health: A Review of Psychobiological Processes. Annu. Rev. Psychol. 2020, 72. [Google Scholar] [CrossRef]
- Poitras, V.J.; Gray, C.E.; Borghese, M.M.; Carson, V.; Chaput, J.P.; Janssen, I.; Katzmarzyk, P.T.; Pate, R.R.; Connor Gorber, S.; Kho, M.E.; et al. Systematic review of the relationships between objectively measured physical activity and health indicators in school-aged children and youth. Appl. Physiol. Nutr. Metab. 2016, 41, S197–S239. [Google Scholar] [CrossRef]
- Palumbo, R.V.; Marraccini, M.E.; Weyandt, L.L.; Wilder-Smith, O.; McGee, H.A.; Liu, S.; Goodwin, M.S. Interpersonal Autonomic Physiology: A Systematic Review of the Literature. Personal. Soc. Psychol. Rev. 2017, 21, 99–141. [Google Scholar] [CrossRef]












| Metric | Explanation | Normalization |
|---|---|---|
| Counts of jump artifacts (C1) | The absolute slope between an EDA datapoint and the following four datapoints (equivalent to 125 ms) were computed and averaged. Next, an arbitrary threshold was set as the minimum between the value of 2SD of the EDA signal and the value of 1.25 S, equivalent to the change of 10 S/s as recommended in [41]. We then counted the number of slopes that exceeded this threshold per participant in order to detect the frequency of “jump” artifacts. | normalization across settings, then averaging across participants |
| Mean of slope outliers (M1) | Mean and SD of the slopes in the previous metric were calculated. Next, we selected the slopes that deviated from the mean for more than 10 folds of SD and then computed the mean of these “outlier” slopes. | zero-mean adjustment, then averaging across participants, and then averaging across settings |
| Counts of short epochs (C2) | We counted the number of remaining EDA segments whose lengths were shorter than 10 s. The removal of the inter-loss period was expected to contribute to the decrement of this metric. | normalization across settings, then averaging across participants |
| Decreased entropy (M2) | The removal of unreliable EDA data should reduce the entropy of the signal. In each 10-second window, we computed the Shannon entropy based on probability distribution using the histogram technique [44]. Subsequently, we calculated the average of entropy per participant. | zero-mean adjustment, then averaging across participants, and then averaging across settings |
| Data loss (M3) | We calculated the ratio of loss data, due to the removal of the transitional and inter-loss period, to the total amount of data. | zero-mean adjustment, then averaging across participants, and then averaging across settings |
© 2020 by the authors. Licensee MDPI, Basel, Switzerland. This article is an open access article distributed under the terms and conditions of the Creative Commons Attribution (CC BY) license (http://creativecommons.org/licenses/by/4.0/).
Share and Cite
Thammasan, N.; Stuldreher, I.V.; Schreuders, E.; Giletta, M.; Brouwer, A.-M. A Usability Study of Physiological Measurement in School Using Wearable Sensors. Sensors 2020, 20, 5380. https://doi.org/10.3390/s20185380
Thammasan N, Stuldreher IV, Schreuders E, Giletta M, Brouwer A-M. A Usability Study of Physiological Measurement in School Using Wearable Sensors. Sensors. 2020; 20(18):5380. https://doi.org/10.3390/s20185380
Chicago/Turabian StyleThammasan, Nattapong, Ivo V. Stuldreher, Elisabeth Schreuders, Matteo Giletta, and Anne-Marie Brouwer. 2020. "A Usability Study of Physiological Measurement in School Using Wearable Sensors" Sensors 20, no. 18: 5380. https://doi.org/10.3390/s20185380
APA StyleThammasan, N., Stuldreher, I. V., Schreuders, E., Giletta, M., & Brouwer, A.-M. (2020). A Usability Study of Physiological Measurement in School Using Wearable Sensors. Sensors, 20(18), 5380. https://doi.org/10.3390/s20185380

