Optimal Cooperative Guidance Laws for Two UAVs Under Sensor Information Deficiency Constraints
Abstract
1. Introduction
1.1. Cooperative Control of Networked Systems
1.2. Related Works
1.3. Contributions of This Paper
2. Problem Statement
2.1. Kinematics Relations for Cooperative Engagement
2.2. Nested Dynamical Systems with Sensor Information Deficiency Constraints
2.3. State Separation
- For player 1:where .
- For player 2:where and .
2.4. Uncorrelated Variance Propagation
2.5. Cost Separation
- Part 1:
- Part 2:
- Part 3:
3. Main Results
3.1. Decentralized Two-Player Optimal Controller
3.2. Optimal Cooperative Guidance Laws for Two UAVs Relative Approach Angle Control
3.2.1. Centralized Solution with Full Information Sharing
3.2.2. Decentralized Solution with Information Deficiency Constraints
3.2.3. Potential Issues on Practical Implementation
4. Numerical Experiments
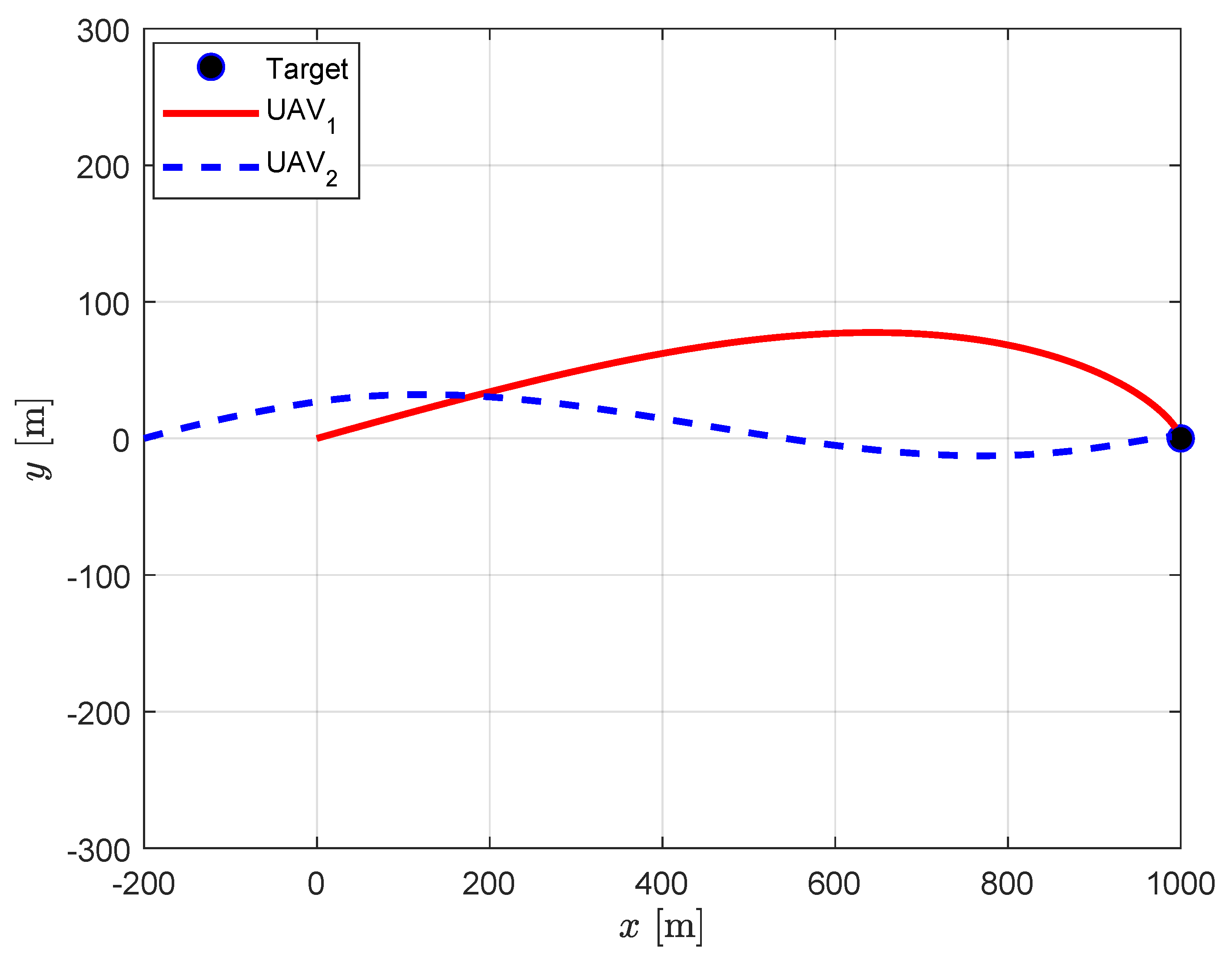
4.1. Centralized Cooperation under Full Information Sharing
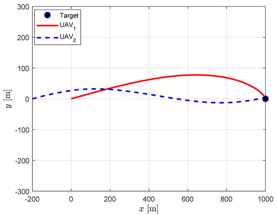
4.2. Decentralized Cooperation under Information Deficiency
5. Conclusions
Author Contributions
Funding
Conflicts of Interest
References
- Jeon, I.S.; Lee, J.I.; Tahk, M.J. Homing guidance law for cooperative attack of multiple missiles. J. Guid. Control Dyn. 2010, 33, 275–280. [Google Scholar] [CrossRef]
- Lee, J.I.; Jeon, I.S.; Tahk, M.J. Guidance law to control impact time and angle. IEEE Trans. Aerosp. Electron. Syst. 2007, 43, 301–310. [Google Scholar]
- Jeon, I.S.; Lee, J.I.; Tahk, M.J. Impact-time-control guidance law for anti-ship missiles. IEEE Trans. Control Syst. Technol. 2006, 14, 260–266. [Google Scholar] [CrossRef]
- Acevedo, J.J.; Maza, I.; Ollero, A.; Arrue, B.C. An Efficient Distributed Area Division Method for Cooperative Monitoring Applications with Multiple UAVs. Sensors 2020, 20, 3448. [Google Scholar] [CrossRef]
- Casbeer, D.W.; Kingston, D.B.; Beard, R.W.; McLain, T.W. Cooperative forest fire surveillance using a team of small unmanned air vehicles. Int. J. Syst. Sci. 2006, 37, 351–360. [Google Scholar] [CrossRef]
- Gu, J.; Su, T.; Wang, Q.; Du, X.; Guizani, M. Multiple moving targets surveillance based on a cooperative network for multi-UAV. IEEE Commun. Mag. 2018, 56, 82–89. [Google Scholar] [CrossRef]
- Fonod, R.; Shima, T. Estimation enhancement by cooperatively imposing relative intercept angles. J. Guid. Control Dyn. 2017, 40, 1711–1725. [Google Scholar] [CrossRef]
- Hoffmann, G.M.; Tomlin, C.J. Mobile sensor network control using mutual information methods and particle filters. IEEE Trans. Autom. Control 2009, 55, 32–47. [Google Scholar] [CrossRef]
- Choi, H.L.; Lee, S.J. A potential-game approach for information-maximizing cooperative planning of sensor networks. IEEE Trans. Control Syst. Technol. 2015, 23, 2326–2335. [Google Scholar] [CrossRef]
- Kaplan, A.; Kingry, N.; Uhing, P.; Dai, R. Time-optimal path planning with power schedules for a solar-powered ground robot. IEEE Trans. Autom. Sci. Eng. 2016, 14, 1235–1244. [Google Scholar] [CrossRef]
- He, S.; Shin, H.S.; Tsourdos, A. Trajectory optimization for target localization with bearing-only measurement. IEEE Trans. Robot. 2019, 35, 653–668. [Google Scholar] [CrossRef]
- Spangelo, I.; Egeland, O. Generation of energy-optimal trajectories for an autonomous underwater vehicle. In Proceedings of the 1992 IEEE International Conference on Robotics and Automation, Nice, France, 12–14 May 1992; pp. 2107–2108. [Google Scholar]
- He, S.; Lee, C.H.; Shin, H.S.; Tsourdos, A. Optimal Guidance and Its Applications in Missiles and UAVs; Springer: Berlin/Heidelberg, Germany, 2020. [Google Scholar]
- Bryson, A.E. Applied Optimal Control: Optimization, Estimation and Control; CRC Press: Boca Raton, FL, USA, 1975. [Google Scholar]
- Kirk, D.E. Optimal Control Theory: An Introduction; Courier Corporation: New York, NY, USA, 2012. (Original Work Published 1970). [Google Scholar]
- Ryoo, C.K.; Cho, H.; Tahk, M.J. Optimal guidance laws with terminal impact angle constraint. J. Guid. Control Dyn. 2005, 28, 724–732. [Google Scholar] [CrossRef]
- Ryoo, C.K.; Cho, H.; Tahk, M.J. Time-to-go weighted optimal guidance with impact angle constraints. IEEE Trans. Control Syst. Technol. 2006, 14, 483–492. [Google Scholar] [CrossRef]
- Kim, M.; Grider, K.V. Terminal guidance for impact attitude angle constrained flight trajectories. IEEE Trans. Aerosp. Electron. Syst. 1973, 9, 852–859. [Google Scholar] [CrossRef]
- Kumar, S.R.; Ghose, D. Impact time and angle control guidance. In Proceedings of the AIAA Guidance, Navigation, and Control Conference, Kissimmee, FL, USA, 5–9 January 2015; p. 0616. [Google Scholar]
- Erer, K.S.; Tekin, R. Impact time and angle control based on constrained optimal solutions. J. Guid. Control Dyn. 2016, 39, 2448–2454. [Google Scholar] [CrossRef]
- Shaferman, V.; Shima, T. Cooperative optimal guidance laws for imposing a relative intercept angle. J. Guid. Control Dyn. 2015, 38, 1395–1408. [Google Scholar] [CrossRef]
- Shakeri, R.; Al-Garadi, M.A.; Badawy, A.; Mohamed, A.; Khattab, T.; Al-Ali, A.K.; Harras, K.A.; Guizani, M. Design challenges of multi-UAV systems in cyber-physical applications: A comprehensive survey and future directions. IEEE Commun. Surv. Tutor. 2019, 21, 3340–3385. [Google Scholar] [CrossRef]
- Orfanus, D.; de Freitas, E.P.; Eliassen, F. Self-organization as a supporting paradigm for military UAV relay networks. IEEE Commun. Lett. 2016, 20, 804–807. [Google Scholar] [CrossRef]
- Liu, D.; Xu, Y.; Wang, J.; Xu, Y.; Anpalagan, A.; Wu, Q.; Wang, H.; Shen, L. Self-organizing relay selection in UAV communication networks: A matching game perspective. IEEE Wirel. Commun. 2019, 26, 102–110. [Google Scholar] [CrossRef]
- Teacy, W.L.; Nie, J.; McClean, S.; Parr, G. Maintaining connectivity in UAV swarm sensing. In Proceedings of the 2010 IEEE Globecom Workshops, Miami, FL, USA, 6–10 December 2010; pp. 1771–1776. [Google Scholar]
- Dutta, R.; Sun, L.; Pack, D. A decentralized formation and network connectivity tracking controller for multiple unmanned systems. IEEE Trans. Control Syst. Technol. 2017, 26, 2206–2213. [Google Scholar] [CrossRef]
- Bemporad, A.; Heemels, M.; Johansson, M. Networked Control Systems; Springer: Berlin/Heidelberg, Germany, 2010; Volume 406. [Google Scholar]
- Witsenhausen, H.S. A counterexample in stochastic optimum control. SIAM J. Control 1968, 6, 131–147. [Google Scholar] [CrossRef]
- Ho, Y.C.; Chu, K.H. Team decision theory and information structures in optimal control problems–Part I. IEEE Trans. Autom. Control 1972, 17, 15–22. [Google Scholar] [CrossRef]
- Rotkowitz, M.; Lall, S. Decentralized control information structures preserved under feedback. In Proceedings of the 41st IEEE Conference on Decision and Control, Las Vegas, NV, USA, 10–13 December 2002; Volume 1, pp. 569–575. [Google Scholar]
- Lessard, L.; Lall, S. Quadratic invariance is necessary and sufficient for convexity. In Proceedings of the 2011 American Control Conference, San Francisco, CA, USA, 29 June–1 July 2011; pp. 5360–5362. [Google Scholar]
- Swigart, J.; Lall, S. An explicit dynamic programming solution for a decentralized two-player optimal linear-quadratic regulator. In Proceedings of the Mathematical Theory of Networks and Systems, Budapest, Hungary, 5–9 July 2010. [Google Scholar]
- Kim, J.H.; Lall, S. A unifying condition for separable two player optimal control problems. In Proceedings of the 2011 50th IEEE Conference on Decision and Control and European Control Conference (CDC-ECC), Orlando, FL, USA, 12–15 December 2011; pp. 3818–3823. [Google Scholar]
- Kim, J.H.; Lall, S. Separable optimal cooperative control problems. In Proceedings of the 2012 American Control Conference (ACC), Montreal, QC, Canada, 27–29 June 2012; pp. 5868–5873. [Google Scholar]
- Kim, J.H.; Lall, S. Explicit solutions to separable problems in optimal cooperative control. IEEE Trans. Autom. Control 2014, 60, 1304–1319. [Google Scholar] [CrossRef]
- Kim, J.H.; Lall, S.; Ryoo, C.K. Optimal cooperative control of dynamically decoupled systems. In Proceedings of the 2012 IEEE 51st IEEE Conference on Decision and Control (CDC), Maui, HI, USA, 10–13 December 2012; pp. 4852–4857. [Google Scholar]
- Zarchan, P. Tactical and Strategic Missile Guidance; American Institute of Aeronautics and Astronautics, Inc.: Washington, DC, USA, 2012. [Google Scholar]
- Wang, Y.; Lei, H.; Ye, J.; Bu, X. Backstepping Sliding Mode Control for Radar Seeker Servo System Considering Guidance and Control System. Sensors 2018, 18, 2927. [Google Scholar] [CrossRef] [PubMed]
- Fang, F.; Cai, Y.; Yu, Z. Adaptive estimation and cooperative guidance for active aircraft defense in stochastic scenario. Sensors 2019, 19, 979. [Google Scholar] [CrossRef]







| Parameters | UAV1 | UAV2 | Target |
|---|---|---|---|
| [m] | 0 | −200 | 1000 |
| [deg] | 10 | 10 | - |
| [m/s] | 100 | 100 | 0 |
| UAV1 | UAV2 | |
|---|---|---|
| Approach angle [deg] | −29.32 | 0.53 |
| Impact time [s] | 10.12 | 11.95 |
| UAV1 | UAV2 | |
|---|---|---|
| Approach angle [deg] | −30.36 | −0.47 |
| Impact time [s] | 10.12 | 11.96 |
© 2020 by the authors. Licensee MDPI, Basel, Switzerland. This article is an open access article distributed under the terms and conditions of the Creative Commons Attribution (CC BY) license (http://creativecommons.org/licenses/by/4.0/).
Share and Cite
Lee, D.; Choi, H.-L.; Kim, J.-H. Optimal Cooperative Guidance Laws for Two UAVs Under Sensor Information Deficiency Constraints. Sensors 2020, 20, 4790. https://doi.org/10.3390/s20174790
Lee D, Choi H-L, Kim J-H. Optimal Cooperative Guidance Laws for Two UAVs Under Sensor Information Deficiency Constraints. Sensors. 2020; 20(17):4790. https://doi.org/10.3390/s20174790
Chicago/Turabian StyleLee, Daniel, Han-Lim Choi, and Jong-Han Kim. 2020. "Optimal Cooperative Guidance Laws for Two UAVs Under Sensor Information Deficiency Constraints" Sensors 20, no. 17: 4790. https://doi.org/10.3390/s20174790
APA StyleLee, D., Choi, H.-L., & Kim, J.-H. (2020). Optimal Cooperative Guidance Laws for Two UAVs Under Sensor Information Deficiency Constraints. Sensors, 20(17), 4790. https://doi.org/10.3390/s20174790

