FDTD Simulation: Simultaneous Measurement of the Refractive Index and the Pressure Using Microdisk Resonator with Two Whispering-Gallery Modes
Abstract
1. Introduction
2. Theoretical Model and Working Principle
3. Sensing Performance and Analysis
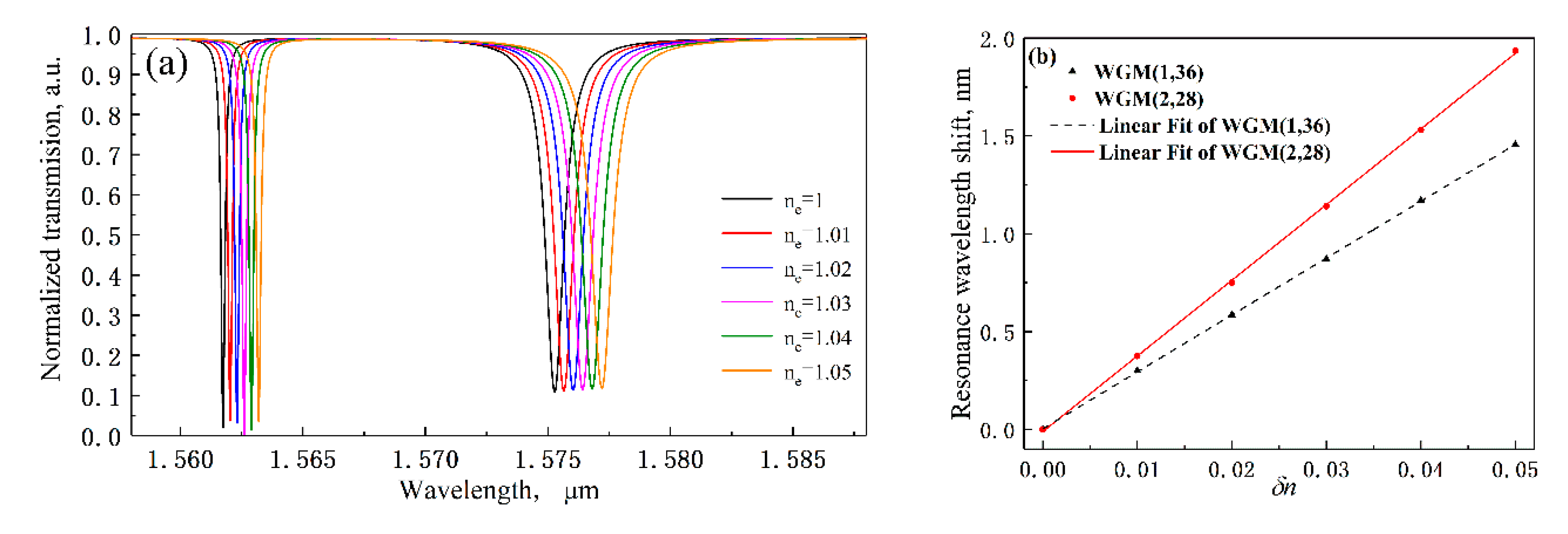
3.1. The External RI Response of the MDR
3.2. The Pressure Response of the MDR
4. Conclusions
Author Contributions
Funding
Conflicts of Interest
References
- Vollmer, F.; Arnold, S. Whispering-gallery-mode biosensing: Label-free detection down to single molecules. Nat. Methods 2008, 5, 591–596. [Google Scholar] [CrossRef] [PubMed]
- Rosenblit, M.; Horak, P.; Helsby, S.; Folman, R. Single-atom detection using whispering-gallery modes of microdisk resonators. Phys. Rev. A 2004, 70, 053808. [Google Scholar] [CrossRef]
- Zhang, Y.N.; Zhao, Y.; Zhou, T.; Wu, Q. Applications and developments of on-chip biochemical sensors based on optofluidic photonic crystal cavities. Lab Chip 2018, 18, 57–74. [Google Scholar] [CrossRef] [PubMed]
- Boleininger, A.; Lake, T.; Hami, S.; Vallance, C. Whispering Gallery Modes in Standard Optical Fibres for Fibre Profiling Measurements and Sensing of Unlabelled Chemical Species. Sensors 2010, 10, 1765–1781. [Google Scholar] [CrossRef] [PubMed]
- Li, J.; Fan, R.; Hu, H.; Yao, C. Hydrogen sensing performance of silica microfiber elaborated with Pd nanoparticles. Mater. Lett. 2018, 212, 211–213. [Google Scholar] [CrossRef]
- Shao, L.; Jiang, X.F.; Yu, X.C.; Li, B.B.; Clements, W.R.; Vollmer, F.; Wang, W.; Xiao, Y.F.; Gong, Q. Detection of Single Nanoparticles and Lentiviruses Using Microcavity Resonance Broadening. Adv. Mater. 2013, 25, 5616–5620. [Google Scholar] [CrossRef]
- Su, J.; Goldberg, A.F.; Stoltz, B.M. Label-free detection of single nanoparticles and biological molecules using microtoroid optical resonators. Light Sci. Appl. 2016, 5, e16001. [Google Scholar] [CrossRef]
- Grist, S.M.; Schmidt, S.A.; Flueckiger, J.; Donzella, V.; Shi, W.; Talebi Fard, S.; Kirk, J.T.; Ratner, D.M.; Cheung, K.C.; Chrostowski, L. Silicon photonic micro-disk resonators for label-free biosensing. Opt. Express 2013, 21, 7994–8006. [Google Scholar] [CrossRef] [PubMed]
- Foreman, M.R.; Swaim, J.D.; Vollmer, F. Whispering gallery mode sensors. Adv. Opt. Photonics 2015, 7, 168–240. [Google Scholar] [CrossRef]
- Dantham, V.R.; Holler, S.; Barbre, C.; Keng, D.; Kolchenko, V.; Arnold, S. Label-Free Detection of Single Protein Using a Nanoplasmonic-Photonic Hybrid Microcavity. Nano Lett. 2013, 13, 3347–3351. [Google Scholar] [CrossRef]
- Yi, X.; Xiao, Y.-F.; Liu, Y.-C.; Li, B.-B.; Chen, Y.-L.; Li, Y.; Gong, Q. Multiple-Rayleigh-scatterer-induced mode splitting in a high-Q whispering-gallery-mode microresonator. Phys. Rev. A 2011, 83, 023803. [Google Scholar] [CrossRef]
- Shen, Y.; Chen, D.-R.; Shen, J.-T. Statistical theory of nanoparticle sensing using a whispering-gallery-mode resonator. Phys. Rev. A 2012, 85, 063808. [Google Scholar] [CrossRef]
- Shen, Y.; Shen, J.-T. Nanoparticle sensing using whispering-gallery-mode resonators: Plasmonic and Rayleigh scatterers. Phys. Rev. A 2012, 85, 013801. [Google Scholar] [CrossRef]
- He, L.; Özdemir, Ş.K.; Zhu, J.; Monifi, F.; Yılmaz, H.; Yang, L. Statistics of multiple-scatterer-induced frequency splitting in whispering gallery microresonators and microlasers. New J. Phys. 2013, 15, 073030. [Google Scholar] [CrossRef]
- Shen, Y.; Shen, J.-T. Numerical investigation of Rayleigh nanoparticlesensing using a whispering-gallery-mode resonator. JOSA B 2012, 29, 2897–2900. [Google Scholar] [CrossRef]
- Arnold, S.; Keng, D.; Shopova, S.I.; Holler, S.; Zurawsky, W.; Vollmer, F. Whispering gallery mode carousel - a photonic mechanism for enhanced nanoparticle detection in biosensing. Opt. Express 2009, 17, 6230–6238. [Google Scholar] [CrossRef]
- Hoste, J.W.; Werquin, S.; Claes, T.; Bienstman, P. Conformational analysis of proteins with a dual polarisation silicon microring. Opt. Express 2014, 22, 2807–2820. [Google Scholar] [CrossRef]
- Ghali, H.; Chibli, H.; Nadeau, J.; Bianucci, P.; Peter, Y.A. Real-Time Detection of Staphylococcus Aureus Using Whispering Gallery Mode Optical Microdisks. Biosensors 2016, 6, 20. [Google Scholar] [CrossRef]
- Soltani, M.; Yegnanarayanan, S.; Adibi, A. Ultra-high Q planar silicon microdisk resonators for chip-scale silicon photonics. Opt. Express 2007, 15, 4694–4704. [Google Scholar] [CrossRef]
- Delezoide, C.; Salsac, M.; Lautru, J.; Leh, H.; Nogues, C.; Zyss, J.; Buckle, M.; Ledoux-Rak, I.; Nguyen, C.T. Vertically coupled polymer microracetrack resonators for label-free biochemical sensors. IEEE Photonics Technol. Lett. 2011, 24, 270–272. [Google Scholar] [CrossRef]
- Swaim, J.D.; Knittel, J.; Bowen, W.P. Detection of nanoparticles with a frequency locked whispering gallery mode microresonator. Appl. Phys. Lett. 2013, 102, 183106. [Google Scholar] [CrossRef]
- Smith, E.J.; Schulze, S.; Kiravittaya, S.; Mei, Y.; Sanchez, S.; Schmidt, O.G. Lab-in-a-Tube: Detection of Individual Mouse Cells for Analysis in Flexible Split-Wall Microtube Resonator Sensors. Nano Lett. 2011, 11, 4037–4042. [Google Scholar] [CrossRef] [PubMed]
- Li, L.; Zhang, P.; Wang, W.M.; Lin, H.; Zerdoum, A.B.; Geiger, S.J.; Liu, Y.; Xiao, N.; Zou, Y.; Ogbuu, O. Foldable and cytocompatible sol-gel TiO2 photonics. Sci. Rep. 2015, 5, 1–10. [Google Scholar] [CrossRef] [PubMed]
- Xu, X.; Subbaraman, H.; Hosseini, A.; Lin, C.Y.; Kwong, D.; Chen, R.T. Stamp printing of silicon-nanomembrane-based photonic devices onto flexible substrates with a suspended configuration. Opt. Lett. 2012, 37, 1020–1022. [Google Scholar] [CrossRef] [PubMed]
- Zou, Y.; Moreel, L.; Lin, H.; Zhou, J.; Li, L.; Danto, S.; Musgraves, J.D.; Koontz, E.; Richardson, K.; Dobson, K.D. Solution Processing and Resist-Free Nanoimprint Fabrication of Thin Film Chalcogenide Glass Devices: Inorganic–Organic Hybrid Photonic Integration. Adv. Opt. Mater. 2014, 2, 759–764. [Google Scholar] [CrossRef]
- Chen, Y.; Li, H.; Li, M. Flexible and tunable silicon photonic circuits on plastic substrates. Sci. Rep. 2012, 2, 622. [Google Scholar] [CrossRef]
- Ling, T.; Chen, S.L.; Guo, L.J. Fabrication and characterization of high Q polymer micro-ring resonator and its application as a sensitive ultrasonic detector. Opt. Express 2011, 19, 861–869. [Google Scholar] [CrossRef]
- Zhang, C.; Ling, T.; Chen, S.-L.; Guo, L.J. Ultrabroad bandwidth and highly sensitive optical ultrasonic detector for photoacoustic imaging. ACS Photonics 2014, 1, 1093–1098. [Google Scholar] [CrossRef]
- Li, R.Z.; Zhang, T.; Yu, Y.; Jiang, Y.J.; Zhang, X.Y.; Wang, L.D. Flexible multilayer substrate based optical waveguides: Applications to optical sensing. Sens. Actuators A 2014, 209, 57–61. [Google Scholar] [CrossRef]
- Wan, F.; Qian, G.; Li, R.; Tang, J.; Zhang, T. High sensitivity optical waveguide accelerometer based on Fano resonance. Appl. Opt. 2016, 55, 6644–6648. [Google Scholar] [CrossRef]
- Westerveld, W.J.; Pozo, J.; Harmsma, P.J.; Schmits, R.; Tabak, E.; van den Dool, T.C.; Leinders, S.M.; van Dongen, K.W.; Urbach, H.P.; Yousefi, M. Characterization of a photonic strain sensor in silicon-on-insulator technology. Opt. Lett. 2012, 37, 479–481. [Google Scholar] [CrossRef] [PubMed][Green Version]
- Fan, L.; Varghese, L.T.; Xuan, Y.; Wang, J.; Niu, B.; Qi, M. Direct fabrication of silicon photonic devices on a flexible platform and its application for strain sensing. Opt. Express 2012, 20, 20564–20575. [Google Scholar] [CrossRef] [PubMed]
- Park, J.; Ozdemir, S.K.; Monifi, F.; Chadha, T.; Huang, S.H.; Biswas, P.; Yang, L. Titanium dioxide whispering gallery microcavities. Adv. Opt. Mater. 2014, 2, 711–717. [Google Scholar] [CrossRef]
- Xu, L.; Jiang, X.; Zhao, G.; Ma, D.; Tao, H.; Liu, Z.; Omenetto, F.G.; Yang, L. High-Q silk fibroin whispering gallery microresonator. Opt. Express 2016, 24, 20825–20830. [Google Scholar] [CrossRef] [PubMed]
- Li, L.; Lin, H.; Qiao, S.; Zou, Y.; Danto, S.; Richardson, K.; Musgraves, J.D.; Lu, N.; Hu, J. Integrated flexible chalcogenide glass photonic devices. Nat. Photonics 2014, 8, 643–649. [Google Scholar] [CrossRef]
- Liu, P.; Shi, Y. Simultaneous measurement of refractive index and temperature using a dual polarization ring. Appl. Opt. 2016, 55, 3537–3541. [Google Scholar] [CrossRef]
- Ma, T.; Yuan, J.; Sun, L.; Kang, Z.; Yan, B.; Sang, X.; Wang, K.; Wu, Q.; Liu, H.; Gao, J. Simultaneous measurement of the refractive index and temperature based on microdisk resonator with two whispering-gallery modes. IEEE Photonics J. 2017, 9, 1–13. [Google Scholar] [CrossRef]
- Zhang, P.; Wang, Y.; He, D.; Xiao, M. Numerical analysis of simultaneous measurement of the refractive index and the pressure utilizing the mode splitting in a single-opening microring resonator. Opt. Commun. 2019, 434, 167–174. [Google Scholar] [CrossRef]
- Ye, W.N.; Xu, D.X.; Janz, S.; Cheben, P.; Picard, M.J.; Lamontagne, B.; Tarr, N.G. Birefringence control using stress engineering in silicon-on-insulator waveguides. J. Lightwave Technol. 2005, 23, 1308–1318. [Google Scholar] [CrossRef]
- Huang, Y.; Paloczi, G.T.; Yariv, A.; Zhang, C.; Dalton, L.R. Fabrication and replication of polymer integrated optical devices using electron-beam lithography and soft lithography. J. Phys. Chem. B 2004, 108, 8606–8613. [Google Scholar] [CrossRef]
- Chao, C.Y.; Guo, L.J. Design and optimization of microring resonators in biochemical sensing applications. J. Lightwave Technol. 2006, 24, 1395–1402. [Google Scholar] [CrossRef]
- Vollmer, F.; Yang, L. Review Label-free detection with high-Q microcavities: A review of biosensing mechanisms for integrated devices. J. Nanophotonics 2012, 1, 267–291. [Google Scholar] [CrossRef] [PubMed]
- Vörös, J. The density and refractive index of adsorbing protein layers. Biophys. J. 2004, 87, 553–561. [Google Scholar] [CrossRef] [PubMed]
- Tsigaridas, G.N. A study on refractive index sensors based on optical micro-ring resonators. Photonic Sens. 2017, 7, 217–225. [Google Scholar] [CrossRef]










| 0.026 | 200 | 0.845 | 1.091 | 0.02534 | 187.928 |
| 0.026 | 750 | 1.191 | 1.450 | 0.02592 | 759.363 |
| 0.048 | 200 | 1.481 | 1.939 | 0.04742 | 178.062 |
| 0.048 | 750 | 1.841 | 2.313 | 0.04682 | 768.483 |
| Optical Resonator | Sensing Factor | Radius (μm) | Modes | Quality Factor | SRI (nm/RIU) | DL of RI (RIU) | SPressure (pm/kPa) | DL of Pressure (kPa) | Ref |
|---|---|---|---|---|---|---|---|---|---|
| Microring | RI, Temperature | 20 | WGM (TE0) WGM (TM0) | 5447 5462 | 104 319 | 1.2 × 10−4 3.8 × 10−4 | - | - | 36 |
| Microdisk | RI, Temperature | 2 | WGM (0,36) WGM (1,28) | ~1500 ~200 | 45.8 72.9 | 8.59 × 10−4 1.92 × 10−3 | - | - | 37 |
| SOMRR | RI, Pressure | 3 | WGM (SM) WGM (AM) | 738 395 | 77.07 69.54 | 2.72 × 10−4 5.64 × 10−4 | 5.01 5.72 | 4.79 16.86 | 38 |
| Microdisk | RI, Pressure | 2 | WGM (1,36) WGM (2,28) | 5990 1200 | 29.07 38.68 | 8.96 × 10−5 3.39 × 10−4 | 0.576 0.589 | 4.524 22.283 | Our work |
© 2020 by the authors. Licensee MDPI, Basel, Switzerland. This article is an open access article distributed under the terms and conditions of the Creative Commons Attribution (CC BY) license (http://creativecommons.org/licenses/by/4.0/).
Share and Cite
Zhang, P.; He, D.; Zhang, C.; Yan, Z. FDTD Simulation: Simultaneous Measurement of the Refractive Index and the Pressure Using Microdisk Resonator with Two Whispering-Gallery Modes. Sensors 2020, 20, 3955. https://doi.org/10.3390/s20143955
Zhang P, He D, Zhang C, Yan Z. FDTD Simulation: Simultaneous Measurement of the Refractive Index and the Pressure Using Microdisk Resonator with Two Whispering-Gallery Modes. Sensors. 2020; 20(14):3955. https://doi.org/10.3390/s20143955
Chicago/Turabian StyleZhang, Ping, Dongyue He, Chen Zhang, and Zhiruo Yan. 2020. "FDTD Simulation: Simultaneous Measurement of the Refractive Index and the Pressure Using Microdisk Resonator with Two Whispering-Gallery Modes" Sensors 20, no. 14: 3955. https://doi.org/10.3390/s20143955
APA StyleZhang, P., He, D., Zhang, C., & Yan, Z. (2020). FDTD Simulation: Simultaneous Measurement of the Refractive Index and the Pressure Using Microdisk Resonator with Two Whispering-Gallery Modes. Sensors, 20(14), 3955. https://doi.org/10.3390/s20143955
