Low-Cost Automated Design of Compact Branch-Line Couplers
Abstract
1. Introduction
2. Simulation Models and Design Tools
2.1. Transmission Line-Based Sections vs. Compact Cells
2.2. Compact Cell and BLC Models
2.3. Problem Formulation
2.4. Surrogate-Assisted Optimization
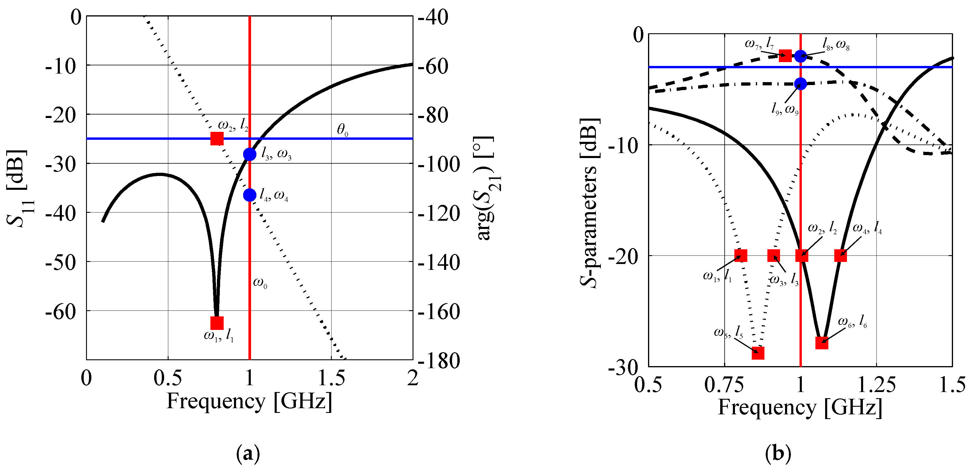
2.5. Feature-Based Representation of Structure Responses
2.6. Optimization Engine
- (1)
- Set j = 0, z(j) = z0, r(j) = 1;
- (2)
- Evaluate Ff(z(j)) and select model Fl = P(Rl) for construction of Jacobian;
- (3)
- (Optional) Perform cell-level PE at z(j) as described in Section 2.5; select model Fs = P(Rs) for Jacobian construction;
- (4)
- (5)
- Generate perturbations around z(j), construct the Jacobian and the G(j) model;
- (6)
- Solve (9) to obtain a temporary solution ztmp;
- (7)
- Evaluate Ff(ztmp), calculate ρ as in (12) and adjust radius r(j+1) as in (13);
- (8)
- If ρ > 0 set z(j+1) = ztmp; otherwise set z(j+1) = z(j), j = j + 1 and go to Step 6;
- (9)
- If U(Ff(z(j+1)) < 0 or either of conditions (14)–(16) is satisfied then END; otherwise set j = j + 1 and go to Step 2.
3. Automated Surrogate-Assisted Design of Compact Branch-Line Couplers
3.1. Optimization of the Pre-Defined Cells
3.2. Two-Stage BLC Optimization
3.3. Surrogate-Assisted Optimization
- (1)
- Set j = 0, rtmp(0) = 0.5;
- (2)
- Set y(j) = y2*;
- (3)
- Find y(j+1) through minimization of the objective function (20) by solving (9);
- (4)
- Evaluate Fs(y(j+1)) = P(Bs(y(j+1))) and calculate ρ;
- (5)
- If ρ > 0.5, set rtmp(j+1) = 0.5(rtmp(j) + 1); otherwise set rtmp(j+1) = 0.5(rtmp(j) + 0.1);
- (6)
- If j = 5 set r(0) = rtmp(j+1) and exit; otherwise set j = j + 1 and go to Step 2.
3.4. Summary of the Design Framework
- (1)
- Define coupler-level specifications and determine the electrical parameters of individual BLC sections that correspond to the design requirements;
- (2)
- Find the starting point for cell-level design as described in Section 3.1;
- (3)
- Minimize (17) to select and optimize CCs that are capable of fulfilling the imposed specifications;
- (4)
- Use the selected CCs for construction of the Bc model. Sequentially minimize (20) and (21) to obtain y1* and y2*;
- (5)
4. Numerical Results
4.1. Database of Compact Cells
4.2. Design of Unequal-Split BLC
4.3. Size/Performance Comparison of Compact BLCs
4.4. BLC Re-Design for Substrates with Different Parameters
4.5. Discussion and Measurements
5. Conclusions
Funding
Acknowledgments
Conflicts of Interest
References
- Tajik, A.; Alavijeh, A.S.; Fakharzadeh, M. Asymmetrical 4 × 4 butler matrix and its application for single layer 8 × 8 butler matrix. IEEE Trans. Ant. Prop. 2019, 67, 5372–5379. [Google Scholar] [CrossRef]
- Titz, D.; Ferrero, F.; Pilard, R.; Laporte, C.; Jan, S.; Ezzeddine, H.; Gianes, F.; Gloria, D.; Luxey, C. New wideband miniature branchline coupler on IPD technology for beamforming applications. IEEE Trans. Compon. Packag. Manuf. Technol. 2014, 4, 911–921. [Google Scholar] [CrossRef]
- Shahroury, F.R.; Wu, C. The design of low LO-Power 60-GHz CMOS quadrature-balanced self-switching current-mode mixer. IEEE Microw. Wirel. Comp. Lett. 2008, 18, 692–694. [Google Scholar] [CrossRef]
- de Padova, A.; Longhi, P.E.; Colangeli, S.; Ciccognani, W.; Limiti, E. Design of a GaN-on-Si single-balanced resistive mixer for Ka-band satcom. IEEE Microw. Wirel. Comp. Lett. 2019, 29, 56–58. [Google Scholar] [CrossRef]
- Gillick, M.; Robertson, I.D.; Joshi, J.S. Coplanar waveguide two-stage balanced MMIC amplifier using impedance-transforming lumped-distributed branchline couplers. IEE Proc. Microw. Ant. Prop. 1994, 141, 241–245. [Google Scholar] [CrossRef]
- Tseng, C.; Chang, C. Improvement of return loss bandwidth of balanced amplifier using metamaterial-based quadrature power splitters. IEEE Microw. Wirel. Comp. Lett. 2008, 18, 269–271. [Google Scholar] [CrossRef]
- Han, S.K.; Ha, Y.-S.; Kim, J.; Kang, K.-Y. Characteristics of high power capability for high temperature superconducting microwave multiplexer. Proc. Asia-Pacific Microw. Conf. 1997, 1, 109–112. [Google Scholar]
- Deferm, N.; Reynaert, P. CMOS Front Ends for Millimeter Wave Wireless Communication Systems; Springer: Berlin/Heidelberg, Germany, 2015. [Google Scholar]
- Qiu, S.; Wang, H.; Li, J.; Zhao, H.; Wang, Z.; Wang, J.; Wang, Q.; Plettemeier, D.; Bärhold, M.; Bauer, T.; et al. Towards wearable-inertial-sensor-based gait posture evaluation for subjects with unbalanced gaits. Sensors 2020, 20, 1193. [Google Scholar] [CrossRef]
- Chen, W.; Yu, C.; Tu, C.; Lyu, Z.; Tang, J.; Ou, S.; Fu, Y.; Xue, Z. A survey on hand pose estimation with wearable sensors and computer-vision-based methods. Sensors 2020, 20, 1074. [Google Scholar] [CrossRef] [PubMed]
- Altaf, A.; Seo, M. Dual-band circularly polarized dielectric resonator antenna for WLAN and WiMAX applications. Sensors 2020, 20, 1137. [Google Scholar] [CrossRef] [PubMed]
- Zainudin, N.; Latef, T.A.; Aridas, N.K.; Yamada, Y.; Kamardin, K.; Rahman, N.H.A. Increase of input resistance of a normal-mode helical antenna (NMHA) in human body application. Sensors 2020, 20, 958. [Google Scholar] [CrossRef] [PubMed]
- Tian, Q.; Lin, Y.; Guo, X.; Wang, J.; AlFarraj, O.; Tolba, A. An identity authentication method of a MIoT device based on radio frequency (RF) fingerprint technology. Sensors 2020, 20, 1213. [Google Scholar] [CrossRef] [PubMed]
- Zilani, T.A.; Al-Turjman, F.; Khan, M.B.; Zhao, N.; Yang, X. Monitoring movements of ataxia patient by using UWB technology. Sensors 2020, 20, 931. [Google Scholar] [CrossRef] [PubMed]
- Hou, J.-A.; Weng, Y.-H. Design of compact 90 and 180 couplers with harmonic suppression using lumped-element bandstop resonators. IEEE Trans. Microw. Theory Tech. 2010, 58, 2932–2939. [Google Scholar] [CrossRef]
- Kurgan, P.; Filipcewicz, J.; Kitlinski, M. Development of a compact microstrip resonant cell aimed at efficient microwave component size reduction. IET Microw. Ant. Prop. 2012, 6, 1291–1298. [Google Scholar] [CrossRef]
- Tang, C.-W.; Chen, M.-G. Synthesizing microstrip branch-line couplers with predetermined compact size and bandwidth. IEEE Trans. Microw. Theory Tech. 2007, 55, 1926–1934. [Google Scholar] [CrossRef]
- Ghali, H.; Moselhy, T.A. Miniaturized fractal rat-race, branch-line, and coupled-line hybrids. IEEE Trans. Microw. Theory Tech. 2004, 52, 2513–2520. [Google Scholar] [CrossRef]
- Gai, C.; Jiao, Y.; Zhao, Y. Compact dual-band branch-line coupler with dual transmission lines. IEEE Microw. Wirel. Comp. Lett. 2016, 26, 325–327. [Google Scholar] [CrossRef]
- Chen, W.-L.; Wang, G.-M. Exact design of novel miniaturised fractal-shaped branch-line couplers using phase-equalising method. IET Microw. Ant. Prop. 2008, 2, 773–780. [Google Scholar] [CrossRef]
- Zhou, C.; Yang, H.Y.D. Design considerations of miniaturized least dispersive periodic slow-wave structures. IEEE Trans. Microw. Theory Tech. 2008, 56, 467–474. [Google Scholar] [CrossRef]
- Zhang, F. Miniaturized and harmonics-rejected slow-wave branchline coupler based on microstrip electromagnetic bandgap element. Microw. Opt. Technol. Lett. 2009, 51, 1080–1084. [Google Scholar] [CrossRef]
- Wang, J.; Wang, B.-Z.; Guo, Y.-X.; Ong, L.C.; Xiao, S. A compact slow-wave microstrip branch-line coupler with high performance. IEEE Microw. Wirel. Comp. Lett. 2007, 17, 501–503. [Google Scholar] [CrossRef]
- Kurgan, P.; Filipcewicz, J.; Kitlinski, M. Design considerations for compact microstrip resonant cells dedicated to efficient branch-line miniaturization. Microw. Opt. Technol. Lett. 2012, 54, 1949–1954. [Google Scholar] [CrossRef]
- Eccleston, K.W.; Ong, S.H.M. Compact planar microstripline branch-line and rat-race couplers. IEEE Trans. Microw. Theory Tech. 2003, 51, 2119–2125. [Google Scholar] [CrossRef]
- Liao, S.-S.; Sun, P.-T.; Chin, N.-C.; Peng, J.-T. A novel compact-size branch-line coupler. IEEE Microw. Wirel. Comp. Lett. 2005, 15, 588–590. [Google Scholar] [CrossRef]
- Liao, S.-S.; Peng, J.-T. Compact planar microstrip branch-line couplers using the quasi-lumped elements approach with nonsymmetrical and symmetrical T-shaped structure. IEEE Trans. Microw. Theory Tech. 2006, 54, 3508–3514. [Google Scholar] [CrossRef]
- Mondal, P.; Chakrabarty, A. Design of miniaturised branch-line and rat-race hybrid couplers with harmonics suppression. IET Microw. Ant. Prop. 2009, 3, 109–116. [Google Scholar] [CrossRef]
- Tseng, C.-H.; Chang, C.-L. A rigorous design methodology for compact planar branch-line and rat-race couplers with asymmetrical T-structures. IEEE Trans. Microw. Theory Tech. 2012, 60, 2085–2092. [Google Scholar] [CrossRef]
- Choi, K.-S.; Yoon, K.-C.; Lee, J.-Y.; Lee, C.-K.; Kim, S.-C.; Kim, K.-B.; Lee, J.-C. Compact branch-line coupler with harmonics suppression using meander T-shaped line. Microw. Opt. Technol. Lett. 2014, 56, 1382–1384. [Google Scholar] [CrossRef]
- Selga, J.; Vélez, P.; Coromina, J.; Fernández-Prieto, A.; Bonache, J.; Martín, F. Harmonic suppression in branch-line couplers based on slow-wave transmission lines with simultaneous inductive and capacitive loading. Microw. Opt. Technol. Lett. 2018, 60, 2374–2384. [Google Scholar] [CrossRef]
- Kurgan, P.; Koziel, S. Design of high-performance hybrid branch-line couplers for wideband and space-limited applications. IET Microw. Ant. Prop. 2016, 10, 1339–1344. [Google Scholar] [CrossRef]
- Lian, G.; Wang, Z.; He, Z.; Zhong, Z.; Sun, L.; Yu, M. A new miniaturized microstrip branch-line coupler with good harmonic suppression. Prog. EM Research Lett. 2017, 67, 61–66. [Google Scholar] [CrossRef]
- Mroczka, J. The cognitive process in metrology. Measurement 2013, 46, 2896–2907. [Google Scholar] [CrossRef]
- Kurgan, P.; Koziel, S. Fast surrogate-assisted simulation-driven optimization of compact microwave hybrid couplers. Eng. Opt. 2016, 48, 1109–1120. [Google Scholar] [CrossRef]
- Koziel, S.; Kurgan, P. Rapid design of miniaturised branch-line couplers through concurrent cell optimisation and surrogate-assisted fine-tuning. IET Microw. Ant. Prop. 2015, 9, 957–963. [Google Scholar] [CrossRef]
- Kurgan, P.; Koziel, S. Selection of circuit geometry for miniaturized microwave components based on concurrent optimization of performance and layout area. AEU-Int. J. Electron. Comm. 2019, 108, 287–294. [Google Scholar] [CrossRef]
- Kurgan, P.; Kitlinski, M. Novel doubly perforated broadband microstrip branch-line couplers. Microw. Opt. Technol. Lett. 2009, 51, 2149–2152. [Google Scholar] [CrossRef]
- Koziel, S.; Kurgan, P. Compact cell topology selection for size-reduction-oriented design of microstrip rat-race couplers. Int. J. Rf Microw. CAE 2018, 28, 1–9. [Google Scholar] [CrossRef]
- Kurgan, P.; Koziel, S. Surrogate-assisted EM-driven miniaturization of wideband microwave couplers by means of co-simulation low-fidelity models. Int. J. Rf Microw. CAE 2017, 281–287. [Google Scholar] [CrossRef]
- Caloz, C.; Itoh, T. Electromagnetic Metamaterials: Transmission Line Theory and Microwave Applications; Wiley-IEEE Press: Hoboken, NJ, USA, 2005. [Google Scholar]
- Nocedal, J.; Wright, S. Numerical Optimization, 2nd ed.; Springer: New York, NY, USA, 2006. [Google Scholar]
- Conn, A.; Scheinberg, K.; Vincente, L.N. Introduction to Derivative-Free Optimization; MPS-SIAM Series on Optimization; University City Science Center: Philadelphia, PA, USA, 2009. [Google Scholar]
- Conn, A.; Gould, N.I.M.; Toint, P.L. Trust-Region Methods; MPS-SIAM Series on Optimization; Society for Industrial and Applied Mathematics: Philadelphia, PA, USA, 2000. [Google Scholar]
- Deb, K. Multi-Objective Optimization Using Evolutionary Algorithms; John Wiley & Sons: New York, NY, USA, 2001. [Google Scholar]
- Gorissen, D.; Zhang, L.; Zhang, Q.J.; Dhaene, T. Evolutionary neuro-space mapping technique for modeling of nonlinear microwave devices. IEEE Trans. Microw. Theory Tech. 2011, 59, 213–229. [Google Scholar] [CrossRef]
- Cheng, Q.S.; Bandler, J.W.; Koziel, S. Tuning space mapping: The state of the art. Int. J. RF Microw. CAE 2012, 22, 639–651. [Google Scholar] [CrossRef]
- Bandler, J.W.; Cheng, Q.S.; Dakroury, S.A.; Mohamed, A.S.; Bakr, M.H.; Madsen, K.; Søndergaard, J. Space mapping: The state of the art. IEEE Trans. Microw. Theory Tech. 2004, 52, 337–361. [Google Scholar] [CrossRef]
- Forrester, A.I.J.; Keane, A.J. Recent advances in surrogate-based optimization. Prog. Aerospace Sci. 2009, 45, 50–79. [Google Scholar] [CrossRef]
- Queipo, N.V.; Haftka, R.T.; Shyy, W.; Goel, T.; Vaidynathan, R.; Tucker, P.K. Surrogate-based analysis and optimization. Prog. Aerospace Sci. 2005, 41, 1–28. [Google Scholar] [CrossRef]
- Simpson, T.W.; Pelplinski, J.D.; Koch, P.N.; Allen, J.K. Metamodels for computer-based engineering design: Survey and recommendations. Eng. Comput. 2001, 17, 129–150. [Google Scholar] [CrossRef]
- Koziel, S.; Leifsson, L. (Eds.) Surrogate-Based Modeling and Optimization: Applications in Engineering; Springer: Berlin/Heidelberg, Germany, 2013. [Google Scholar]
- Bekasiewicz, A.; Kurgan, P.; Kitlinski, M. A new approach to a fast and accurate design of microwave circuits with complex topologies. IET Microw. Ant. Prop. 2012, 6, 1616–1622. [Google Scholar] [CrossRef]
- Bekasiewicz, A.; Koziel, S.; Pankiewicz, B. Accelerated simulation-driven design optimisation of compact couplers by means of two-level space mapping. IET Microw. Ant. Prop. 2015, 9, 618–626. [Google Scholar] [CrossRef]
- Koziel, S.; Bekasiewicz, A. Fast simulation-driven feature-based design optimization of compact dual-band microstrip branch-line coupler. Int. J. Rf Microw. CAE 2016, 26, 13–20. [Google Scholar] [CrossRef]
- Zhang, C.; Feng, F.; Zhang, Q.; Bandler, J.W. Enhanced cognition-driven formulation of space mapping for equal-ripple optimisation of microwave filters. IET Microw. Ant. Prop. 2018, 12, 82–91. [Google Scholar] [CrossRef]
- Koziel, S.; Bandler, J.W. Rapid yield estimation and optimization of microwave structures exploiting feature-based statistical analysis. IEEE Trans. Microw. Theory Tech. 2015, 63, 107–114. [Google Scholar] [CrossRef]
- Pozar, D.M. Microwave Engineering, 4th ed.; John Wiley & Sons: Hoboken, NJ, USA, 2012. [Google Scholar]
- Hong, J.-S.; Lancaster, M.J. Microstrip Filters for RF/Microwave Applications; John Wiley & Sons: Hoboken, NJ, USA, 2001. [Google Scholar]
- Rosłoniec, S. Liniowe Obwody Mikrofalowe: Metody Analizy i Syntezy; Wydawnictwa Komunikacji i Łączności: Warszawa, Poland, 1999. [Google Scholar]
- Selga, J.; Coromina, J.; Vélez, P.; Fernández-Prieto, A.; Bonache, J.; Martín, F. Miniaturised and harmonic-suppressed rat-race couplers based on slow-wave transmission lines. IET Microw. Ant. Prop. 2019, 13, 1293–1299. [Google Scholar] [CrossRef]
- Koziel, S.; Echeverría-Ciaurri, D.; Leifsson, L. Surrogate-based methods. In Computational Optimization, Methods and Algorithms; Koziel, S., Yang, X.S., Eds.; Series: Studies in Computational Intelligence; Springer: New York, NY, USA, 2011; pp. 33–60. [Google Scholar]
- Cheng, Q.S.; Bandler, J.W.; Koziel, S. An accurate microstrip hairpin filter design using implicit space mapping. IEEE Microw. Mag. 2008, 9, 79–88. [Google Scholar] [CrossRef]
- Bandler, J.W.; Cheng, Q.S.; Nikolova, N.K.; Ismail, M.A. Implicit space mapping optimization exploiting preassigned parameters. IEEE Trans. Microw. Theory Tech. 2004, 52, 378–385. [Google Scholar] [CrossRef]
- Gustrau, F. RF and Microwave Engineering: Fundamentals of Wireless Communications; John Wiley & Sons: Hoboken, NJ, USA, 2012. [Google Scholar]
- Matthaei, G.L.; Young, L.; Jones, E.M.T. Microwave Filters, Impedance-Matching Networks, and Coupling Structures; Artech House: Norwood, MA, USA, 1980. [Google Scholar]
- Agilent (Keysight) ADS, Ver. 2011.10; Agilent Technologies: Santa Rosa, CA, USA, 2011.
- CST Microwave Studio, Ver. 2013; Dassault Systems: Vélizy-Villacoublay, France, 2013.
- Coello, C.A.C.; Lamont, G.B.; van Veldhuizen, D.A. Evolutionary Algorithms for Solving Multi-Objective Problems, 2nd ed.; Springer: New York, NY, USA, 2007. [Google Scholar]
- Tseng, C.-H.; Chen, H.-J. Compact Rat-Race Coupler Using Shunt-Stub-Based Artificial Transmission Lines. IEEE Microw. Wirel. Comp. Lett. 2008, 18, 734–736. [Google Scholar] [CrossRef]
- Koziel, S.; Bekasiewicz, A. Expedited geometry scaling of compact microwave passives by means of inverse surrogate modeling. IEEE Trans. Microw. Theory Tech. 2015, 63, 4019–4026. [Google Scholar] [CrossRef]
- Koziel, S.; Bekasiewicz, A. Rapid simulation-driven multiobjective design optimization of decomposable compact microwave passives. IEEE Trans. Microw. Theory Tech. 2016, 64, 2454–2461. [Google Scholar] [CrossRef]
- Cui, H.; Wang, J.; Li, J.-L. Compact Microstrip Branch-line Coupler with Wideband Harmonic Suppression. ACES J. 2012, 27, 766–771. [Google Scholar]















| Design Approach * | Number of Evaluations | Cost | BW [MHz] | ΔC @ω0 [dB] | ∠(S21/S31) @ω0 [°] | Size [mm2] | |
|---|---|---|---|---|---|---|---|
| BA (min) | Total [min] | ||||||
| (i) | 84 BA | 84 (77) | 77 | 190 | 3.14 | 89.9 | 266.8 |
| (ii)1,# | 1240 Bl 2 BA | 36.1 (33.1) 2 (1.8) | 34.9 | N/A | N/A | N/A | N/A |
| (ii) 2,# | 2749 Bl 6 BA | 80 (73.3) 6 (5.5) | 78.8 | N/A | N/A | N/A | N/A |
| (iii) 1 | 2144 Bl 5 BA | 62.4 (57.2) 5 (4.6) | 61.8 | 180 | 2.75 | 90.1 | 282.6 |
| (iii) 2,$ | 1371 Bl 3 BA | 39.8 (36.6) 3 (2.8) | 39.4 | 190 | 3.28 | 90.1 | 299.7 |
| (iv) | 296 Cl 8 Ch 55 Bl 7 BA | 4.3 (3.9) 5.1 (4.7) 1.6 (1.5) 7 (6.4) | 16.5 | 180 | 3.23 | 90.2 | 276.5 |
| This work | 221 Cl 6 Ch 39 Bl 4 BA | 3.2 (3.0) 3.8 (3.5) 1.1 (1.0) 4 (3.7) | 11.2 | 170 | 3.02 | 90.3 | 276.5 |
| Coupler Topology | BW [MHz] | ΔC @ω0 [dB] | ∠(S21/S31) @ω0 [°] | Dimensions [mm × mm] | Size [mm2] | Size Reduction [%] * | PtS # |
|---|---|---|---|---|---|---|---|
| BA(3,2) | 76 | 0.66 | 90.5 | 10.0 × 36.8 | 369 | 82.1 | −26.0 |
| BA(4,1) | 45 | 0.50 | 90.1 | 21.6 × 25.7 | 554 | 73.1 | −7.47 |
| BA(3,4) | 89 | 0.44 | 87.7 | 9.31 × 43.3 | 403 | 80.5 | −4.99 |
| BA(2,2) | 10 | 0.40 | 90.0 | 14.1 × 30.6 | 432 | 79.0 | −4.33 |
| BA(2,4) | 56 | 0.40 | 92.3 | 12.1 × 40.6 | 495 | 76.0 | −3.02 |
| BA(4,2) | 20 | 0.33 | 90.2 | 17.5 × 23.7 | 414 | 79.9 | −1.66 |
| BA(4,4) | 89 | 0.35 | 89.3 | 20.8 × 31.0 | 644 | 68.8 | −0.28 |
| BA(1,2) | 91 | 0.28 | 89.9 | 14.9 × 35.2 | 524 | 74.6 | 1.09 |
| BA(1,4) | 100 | 0.21 | 87.1 | 17.2 × 40.2 | 692 | 66.4 | 1.44 |
| BA(1,1) | 94 | 0.23 | 90.1 | 13.3 × 42.9 | 573 | 72.2 | 1.55 |
| BA(2,1) | 96 | 0.15 | 89.9 | 12.8 × 41.5 | 533 | 74.1 | 1.80 |
| BA(3,1) | 99 | 0.24 | 90.1 | 7.72 × 54.6 | 421 | 79.6 | 2.20 |
| Coupler Topology | xH.1 | xH.2 | xH.3 | xH.4 | xH.5 | xH.6 | xV.1 | xV.2 | xV.3 | xV.4 | xV.5 | xV.6 |
|---|---|---|---|---|---|---|---|---|---|---|---|---|
| BA(1,2) | 2.42 | 1.15 | 1.16 | 2.75 | 0.61 | 1.62 | 2.53 | 0.36 | 2.56 | 0.70 | 0.56 | 0.86 |
| BA(1,4) | 1.22 | 2.20 | 1.14 | 2.91 | 0.57 | 1.62 | 11.3 | 2.30 | 0.73 | 2.07 | 1.79 | 0.84 |
| BA(1,1) | 2.08 | 0.72 | 1.33 | 2.82 | 0.36 | 1.27 | 5.03 | 4.87 | 0.82 | 0.62 | 1.32 | N/A * |
| BA(2,1) | 1.42 | 1.43 | 2.50 | 1.00 | 0.44 | N/A * | 5.12 | 4.64 | 0.61 | 1.26 | 0.96 | N/A * |
| BA(3,1) | 0.65 | 7.31 | 2.22 | 0.92 | N/A * | N/A * | 8.02 | 2.49 | 0.60 | 0.58 | 0.97 | N/A * |
| Substrate | xH.1 | xH.2 | xH.3 | xH.4 | xH.5 | xH.6 | xV.1 | xV.2 | xV.3 | xV.4 | xV.5 | xV.6 |
|---|---|---|---|---|---|---|---|---|---|---|---|---|
| Arlon AD250C | 1.87 | 1.87 | 2.50 | 1.03 | 1.00 | N/A * | 19.57 | 1.89 | 1.32 | 1.91 | 1.10 | 1.44 |
| Arlon AD300C | 1.18 | 0.39 | 2.49 | 1.95 | 0.66 | N/A * | 14.33 | 1.20 | 1.01 | 1.34 | 1.24 | 1.76 |
| FR-4 | 1.72 | 1.48 | 2.50 | 1.00 | 0.74 | N/A * | 13.70 | 1.66 | 1.39 | 1.72 | 1.08 | 1.03 |
| Substrate | BW [MHz] | ΔC @ω0 [dB] | ∠(S21/S31) @ω0 [°] | Dimensions [mm × mm] | Size [mm2] |
|---|---|---|---|---|---|
| Arlon AD250C | 80 | 0.12 | 88.6 | 15.5 × 58.9 | 915 |
| Arlon AD300C | 72 | 0.04 | 88.4 | 13.5 × 42.2 | 569 |
| FR-4 | 70 | 0.09 | 88.3 | 14.0 × 48.9 | 686 |
| Framework | Size Reduction | Cost | Flexibility | Automation |
|---|---|---|---|---|
| [16] | – | – | + | – |
| [32] | + | – | + | + |
| [72] | + | + | + | + |
| This work | + | ++ | ++ | ++ |
| Structure | ω0 [GHz] | εr | h [mm] | BW [%] | Dimensions [mm × mm] | Dimensions [λg × λg] | Size [λg2] | Miniaturization [%] * |
|---|---|---|---|---|---|---|---|---|
| [28] | 0.5 | 4.30 | 1.58 | 9.6 | 62.5 × 69.1 | 0.19 × 0.21 | 0.0392 | 35.9 |
| [26] | 2.4 | 4.70 | 0.80 | 6.7 | 11.6 × 13.8 | 0.17 × 0.21 | 0.0361 | 41.0 |
| [30] | 2.1 | 2.54 | 0.50 | 3.8 | 22.2 × 14.9 | 0.23 × 0.15 | 0.0341 | 44.2 |
| [20] | 2.4 | 2.20 | 0.13 | 4.7 | 13.9 × 14.2 | 0.15 × 0.16 | 0.0236 | 61.3 |
| [31] | 1.0 | 10.2 | 1.27 | 11.3 | 14.6 × 20.2 | 0.13 × 0.18 | 0.0224 | 63.3 |
| [73] | 1.0 | 2.94 | 0.76 | 8.1 | 26.6 × 30.9 | 0.14 × 0.16 | 0.0217 | 64.5 |
| [18] | 2.4 | 3.48 | 0.17 | 11.0 | 8.90 × 8.90 | 0.12 × 0.12 | 0.0140 | 77.1 |
| [24] | 1.0 | 3.50 | 0.51 | 9.2 | 17.7 × 18.3 | 0.10 × 0.10 | 0.0099 | 83.8 |
| [29] | 0.9 | 3.38 | 0.51 | 8.4 | 14.7 × 22.7 | 0.07 × 0.11 | 0.0080 | 86.9 |
| This work | 1.0 | 3.38 | 0.81 | 9.9 | 7.70 × 56.4 | 0.04 × 0.30 | 0.0132 | 79.6 |
© 2020 by the author. Licensee MDPI, Basel, Switzerland. This article is an open access article distributed under the terms and conditions of the Creative Commons Attribution (CC BY) license (http://creativecommons.org/licenses/by/4.0/).
Share and Cite
Bekasiewicz, A. Low-Cost Automated Design of Compact Branch-Line Couplers. Sensors 2020, 20, 3562. https://doi.org/10.3390/s20123562
Bekasiewicz A. Low-Cost Automated Design of Compact Branch-Line Couplers. Sensors. 2020; 20(12):3562. https://doi.org/10.3390/s20123562
Chicago/Turabian StyleBekasiewicz, Adrian. 2020. "Low-Cost Automated Design of Compact Branch-Line Couplers" Sensors 20, no. 12: 3562. https://doi.org/10.3390/s20123562
APA StyleBekasiewicz, A. (2020). Low-Cost Automated Design of Compact Branch-Line Couplers. Sensors, 20(12), 3562. https://doi.org/10.3390/s20123562
