Characterization and Sensing of Inert Gases with a High-Resolution SPR Sensor
Abstract
1. Introduction
2. Material and Methods
2.1. Optical Configuration of SPR Sensor
2.2. Configuration of Inert Gas Sensor Chip
2.3. Gas Cylinder Installation and Gas Path Configuration
3. Results and Discussion
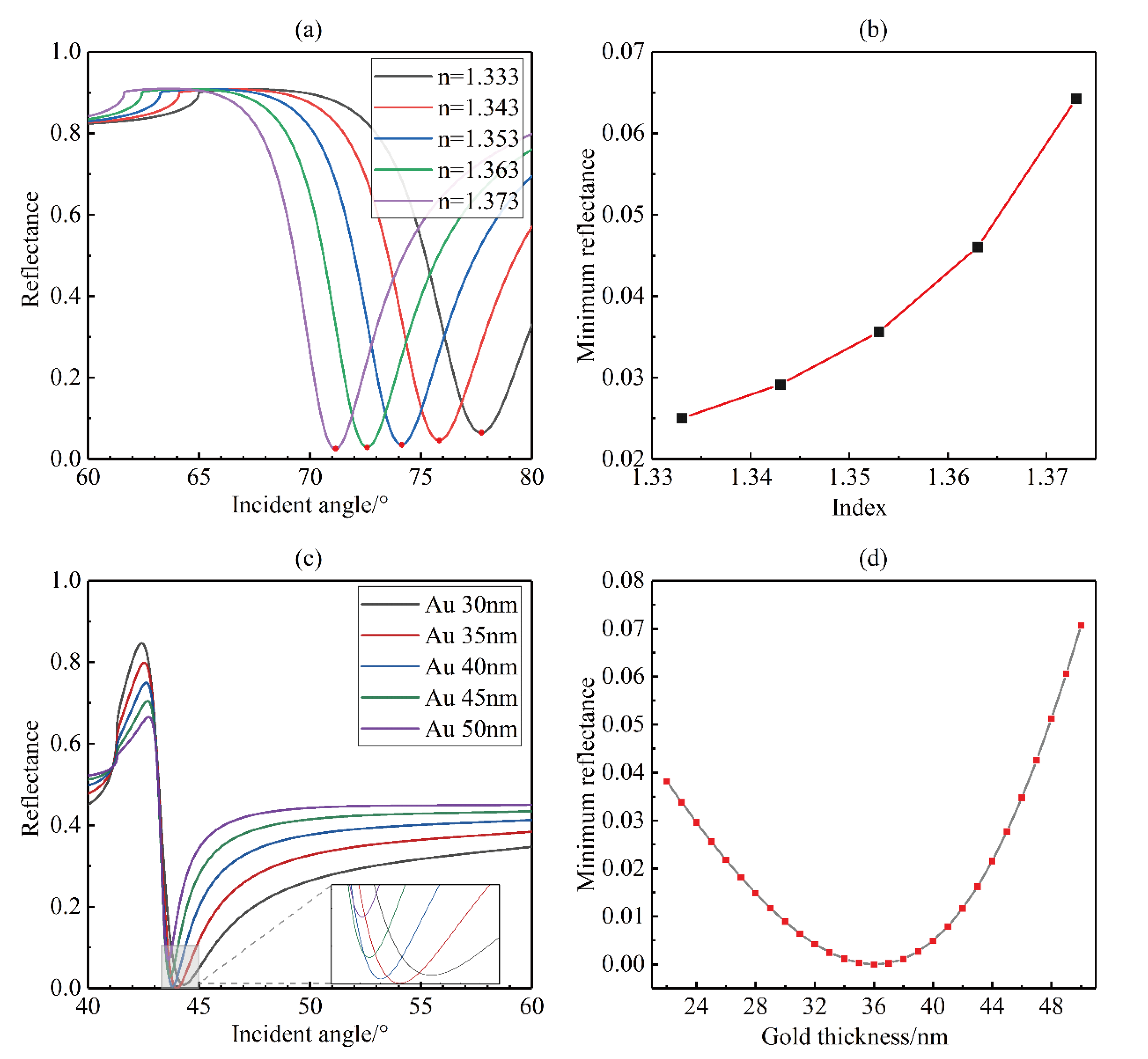
3.1. Sensor Parameter Optimization
3.2. Distinguish between the Response of Inert Gas (Helium and Argon)
3.3. Resolving Power of Two Inert Gas Doping
3.4. Repeatability, Reproducibility, and Response Time
4. Conclusions
Supplementary Materials
Author Contributions
Funding
Acknowledgments
Conflicts of Interest
References
- Yakhot, V.; Gerber, R.B. Excimer emission spectrum in noble gas systems. Chem. Phys. 1975, 8, 366–370. [Google Scholar] [CrossRef]
 - Iwata, Y.; Ito, C.; Harano, H.; Aoyama, T. Improvement of the resonance ionization mass spectrometer performance for precise isotope analysis of krypton and xenon at the ppt level in argon. Int. J. Mass Spectrom. 2010, 296, 15–20. [Google Scholar] [CrossRef]
 - Meyer, M. Technique for measurement of inert gases in liquids by gas chromatography. Pflügers Archiv 1978, 375, 161–165. [Google Scholar] [CrossRef] [PubMed]
 - Schulz, K.; Schlenz, K.; Metasch, R.; Malt, S.; Römhild, W.; Dreßler, J. Determination of anethole in serum samples by headspace solid-phase microextraction-gas chromatography-mass spectrometry for congener analysis. J. Chromatogr. A 2008, 1200, 235–241. [Google Scholar] [CrossRef]
 - Dostalek, J.; Homola, J. Surface plasmon resonance sensor based on an array of diffraction gratings for highly parallelized observation of biomolecular interactions. Sens. Actuators B Chem. 2008, 129, 303–310. [Google Scholar] [CrossRef]
 - Homola, J.; Vaisocherová, H.; Dostalek, J.; Piliarik, M. Multi-analyte surface plasmon resonance biosensing. Methods 2005, 37, 26–36. [Google Scholar] [CrossRef] [PubMed]
 - Homola, J.; Yee, S.S.; Gauglitz, G. Surface plasmon resonance sensors: Review. Sens. Actuators B Chem. 1999, 54, 3–15. [Google Scholar] [CrossRef]
 - Wang, N.; Zhang, D.; Deng, X.; Sun, Y.; Wang, X.; Ma, P.; Song, D. A novel surface plasmon resonance biosensor based on the PDA-AgNPs-PDA-Au film sensing platform for horse IgG detection. Spectrochim. Acta Part A Mol. Biomol. Spectrosc. 2018, 191, 290–295. [Google Scholar] [CrossRef] [PubMed]
 - Huang, Y.; Ho, H.; Kong, S.; Kabashin, A.V. Phase-sensitive surface plasmon resonance biosensors: Methodology, instrumentation and applications. Ann. Phys. 2012, 524, 637–662. [Google Scholar] [CrossRef]
 - Jiang, L.; Zhao, X.; Fei, Y.; Yu, N.; Qian, J.; Tong, J.; Chen, G.; He, S. The effects of magnetic fields exposure on relative permittivity of saline solutions measured by a high resolution SPR system. Sci. Rep. 2016, 6, 7. [Google Scholar] [CrossRef] [PubMed]
 - Kabashin, A.V.; Patskovsky, S.; Grigorenko, A.N. Phase and amplitude sensitivities in surface plasmon resonance bio and chemical sensing. Opt. Express 2009, 17, 21191–21204. [Google Scholar] [CrossRef]
 - Mohammadzadeh-Asl, S.; Keshtkar, A.; Dolatabadi, J.E.N.; De La Guardia, M. Nanomaterials and phase sensitive based signal enhancment in surface plasmon resonance. Biosens. Bioelectron. 2018, 110, 118–131. [Google Scholar] [CrossRef] [PubMed]
 - Wong, C.; Ho, H.; Suen, Y.; Kong, S.; Chen, Q.; Yuan, W.; Wu, S. Real-time protein biosensor arrays based on surface plasmon resonance differential phase imaging. Biosens. Bioelectron. 2008, 24, 606–612. [Google Scholar] [CrossRef] [PubMed]
 - Wood, R.W. On a remarkable case of uneven distribution of light in a diffraction grating spectrum. Philos. Mag. 1902, 4, 396–402. [Google Scholar] [CrossRef]
 - Fano, U. The Theory of Anomalous Diffraction Gratings and of Quasi-Stationary Waves on Metallic Surfaces (Sommerfeld’s Waves). J. Opt. Soc. Am. 1941, 31, 213–222. [Google Scholar] [CrossRef]
 - Kretschmann, E.; Raether, H. Notizen: Radiative Decay of Non Radiative Surface Plasmons Excited by Light. Zeitschrift für Naturforschung A 1968, 23, 2135–2136. [Google Scholar] [CrossRef]
 - Otto, A. Excitation of Nonradiative Surface Plasma Waves in Silver by Method of Frustrated Total Reflection. Eur. Phys. J. A 1968, 216, 398–410. [Google Scholar] [CrossRef]
 - Liedberg, B.; Nylander, C.; Lunström, I. Surface-Plasmon resonance for gas-detection and biosensing. Sens. Actuators 1983, 4, 299–304. [Google Scholar] [CrossRef]
 - Berrier, A.; Offermans, P.; Cools, R.; Van Megen, B.; Knoben, W.; Vecchi, G.; Rivas, J.G.; Crego-Calama, M.; Brongersma, S.H. Enhancing the gas sensitivity of surface plasmon resonance with a nanoporous silica matrix. Sens. Actuators B Chem. 2011, 160, 181–188. [Google Scholar] [CrossRef]
 - Wang, J.; Fan, S.; Xia, Y.; Yang, C.; Komarneni, S. Room-temperature gas sensors based on ZnO nanorod/Au hybrids: Visible-light-modulated dual selectivity to NO2 and NH3. J. Hazard. Mater. 2020, 381, 9. [Google Scholar] [CrossRef] [PubMed]
 - Ahmadirad, M.; Yazdani, A.; Rahimi, K. Optical detection of CO gas by the surface-plasmon resonance of Ag nanoparticles and nanoclusters synthesized on a hydrogenated amorphous carbon (a-C:H) film. Eur. Phys. J. Plus 2019, 134, 328. [Google Scholar] [CrossRef]
 - Lo, T.-H.; Shih, P.-Y.; Wu, C.-H. The Response of UV/Blue Light and Ozone Sensing Using Ag-TiO2 Planar Nanocomposite Thin Film. Sensors 2019, 19, 10. [Google Scholar] [CrossRef] [PubMed]
 - Hu, H.; Yang, X.; Guo, X.; Khaliji, K.; Biswas, S.R.; De Abajo, F.J.G.; Low, T.; Sun, Z.; Dai, Q. Gas identification with graphene plasmons. Nat. Commun. 2019, 10, 1131. [Google Scholar] [CrossRef] [PubMed]
 - Wei, W.; Nong, J.; Zhang, G.; Tang, L.; Jiang, X.; Chen, N.; Luo, S.; Lan, G.; Zhu, Y. Graphene-Based Long-Period Fiber Grating Surface Plasmon Resonance Sensor for High-Sensitivity Gas Sensing. Sensors 2017, 17, 10. [Google Scholar] [CrossRef] [PubMed]
 - Bingham, J.M.; Anker, J.N.; Kreno, L.E.; Van Duyne, R.P. Gas Sensing with High-Resolution Localized Surface Plasmon Resonance Spectroscopy. J. Am. Chem. Soc. 2010, 132, 17358–17359. [Google Scholar] [CrossRef] [PubMed]
 - Estevez, M.-C.; Otte, M.A.; Sepulveda, B.; Lechuga, L.M. Trends and challenges of refractometric nanoplasmonic biosensors: A review. Anal. Chim. Acta 2014, 806, 55–73. [Google Scholar] [CrossRef] [PubMed]
 - Mauriz, E.; Dey, P.; Lechuga, L.M. Advances in nanoplasmonic biosensors for clinical applications. Analyst 2019, 144, 7105–7129. [Google Scholar] [CrossRef] [PubMed]
 






© 2020 by the authors. Licensee MDPI, Basel, Switzerland. This article is an open access article distributed under the terms and conditions of the Creative Commons Attribution (CC BY) license (http://creativecommons.org/licenses/by/4.0/).
Share and Cite
Liu, Z.; He, J.; He, S. Characterization and Sensing of Inert Gases with a High-Resolution SPR Sensor. Sensors 2020, 20, 3295. https://doi.org/10.3390/s20113295
Liu Z, He J, He S. Characterization and Sensing of Inert Gases with a High-Resolution SPR Sensor. Sensors. 2020; 20(11):3295. https://doi.org/10.3390/s20113295
Chicago/Turabian StyleLiu, Zhenchao, Jinlong He, and Sailing He. 2020. "Characterization and Sensing of Inert Gases with a High-Resolution SPR Sensor" Sensors 20, no. 11: 3295. https://doi.org/10.3390/s20113295
APA StyleLiu, Z., He, J., & He, S. (2020). Characterization and Sensing of Inert Gases with a High-Resolution SPR Sensor. Sensors, 20(11), 3295. https://doi.org/10.3390/s20113295
        