Bayesian Sigmoid-Type Time Series Forecasting with Missing Data for Greenhouse Crops
Abstract
1. Introduction
2. Materials and Methods
2.1. The Standard Models and Beyond
2.2. Dynamic Bayesian Network
2.2.1. The EM Algorithm
- The data are MAR, i.e., the missing data mechanism is only allowed to depend on ;
- the model parameters governing absence and the parameters of interest reside in different spaces.
2.2.2. Prediction of Measurement Data
2.2.3. Initialization of the EM Algorithm
2.3. Experimental Design
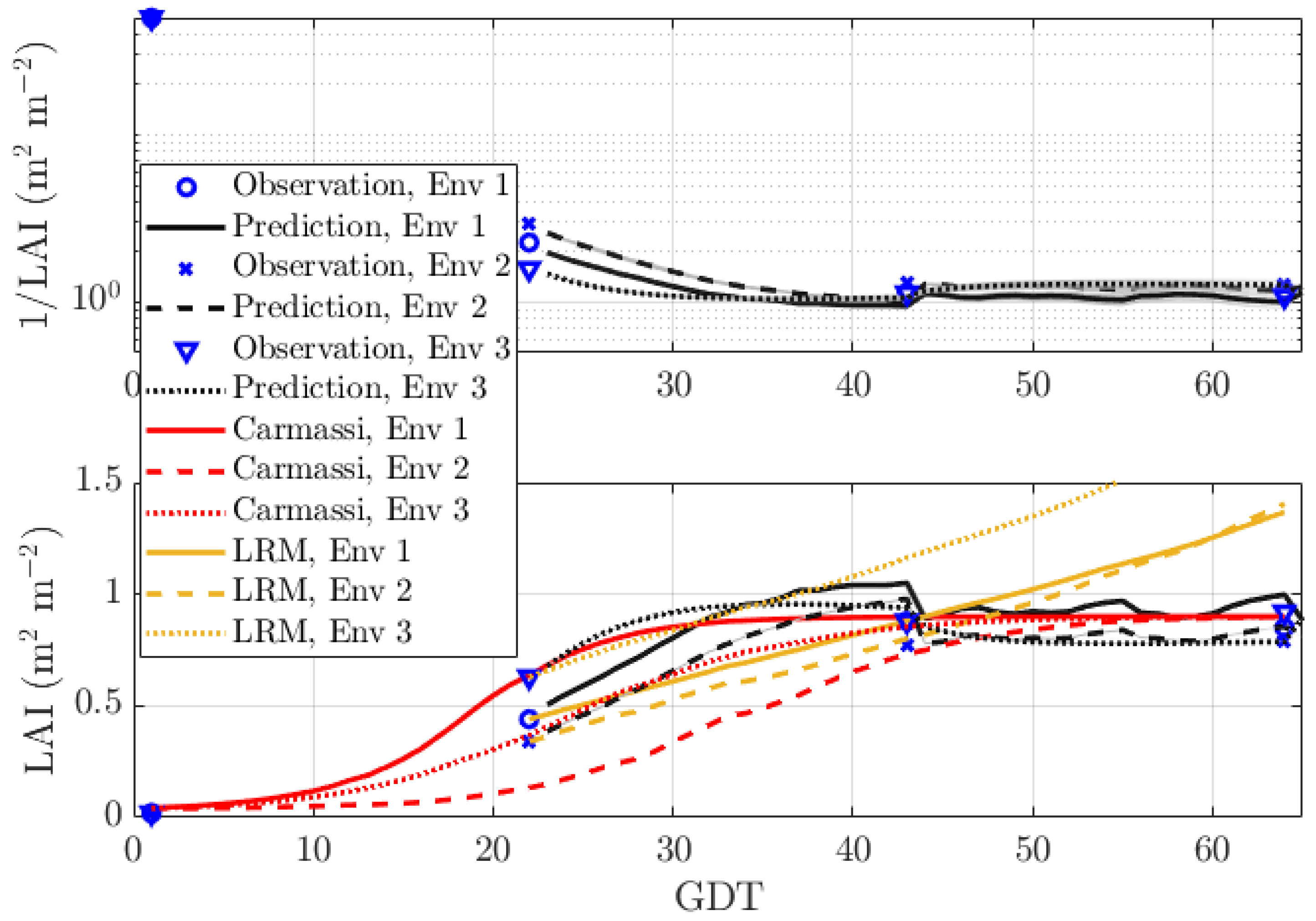
3. Results and Discussion
4. Conclusions
Author Contributions
Funding
Conflicts of Interest
Abbreviations
| AI | Artificial Intelligence |
| COLTIV@MI | COLTIVazione Automatizzata Miniaturizzata Innovativa |
| DBN | Dynamic Bayesian Network |
| EM | Expectation-Maximization |
| ET | Evapotranspiration |
| GDD | Growing Degree Days |
| GDT | Growing Days after Transplantation |
| ICT | Information and Communication Technology |
| IoT | Internet of Things |
| LAI | Leaf Area Index |
| MAR | Missing At Random |
| MCAR | Missing Completely At Random |
| RBF | Radial Basis Function |
| SVR | Support Vector Regression |
Appendix A. Application of the EM Algorithm to Plant Growth Tracking
References
- FAO. The Future of Food and Agriculture: Trends and Challenges; Food and Agriculture Organization of the United Nations (FAO): Rome, Italy, 2017. [Google Scholar]
- Nicol, L.; Nicol, C. Adoption of precision agriculture to reduce inputs, enhance sustainabiltiy and increase food production: A study of southern Alberta, Canada. WIT Trans. Ecol. Environ. 2018, 217, 327–336. [Google Scholar] [CrossRef]
- Gomez, C.; Chessa, S.; Fleury, A.; Roussos, G.; Preuveneers, D. Internet of Things for enabling smart environments: A technology-centric perspective. J. Ambient Intell. Smart Environ. 2019, 11, 23–43. [Google Scholar] [CrossRef]
- Khanna, A.; Kaur, S. Evolution of Internet of Things (IoT) and its significant impact in the field of Precision Agriculture. Comput. Electron. Agric. 2019, 157, 218–231. [Google Scholar] [CrossRef]
- Liakos, K.; Busato, P.; Moshou, D.; Pearson, S.; Bochtis, D. Machine learning in agriculture: A review. Sensors 2018, 18, 2674. [Google Scholar] [CrossRef]
- Balducci, F.; Impedovo, D.; Pirlo, G. Machine learning applications on agricultural datasets for smart farm enhancement. Machines 2018, 6, 38. [Google Scholar] [CrossRef]
- Rehman, T.U.; Mahmud, M.S.; Chang, Y.K.; Jin, J.; Shin, J. Current and future applications of statistical machine learning algorithms for agricultural machine vision systems. Comput. Electron. Agric. 2019, 156, 585–605. [Google Scholar] [CrossRef]
- Burchi, G.; Chessa, S.; Gambineri, F.; Kocian, A.; Massa, D.; Milano, P.; Milazzo, P.; Rimediotti, L.; Ruggeri, A. Information Technology Controlled Greenhouse: A System Architecture. In Proceedings of the IoT Vertical and Topical Summit for Agriculture, Tuscany, Italy, 8–9 May 2018; IEEE: Tuscany, Italy, 2018. [Google Scholar] [CrossRef]
- Mekonnen, Y.; Namuduri, S.; Burton, L.; Sarwat, A.; Bhansali, S. Review—Machine Learning Techniques in Wireless Sensor Network Based Precision Agriculture. J. Electrochem. Soc. 2020, 167, 037522. [Google Scholar] [CrossRef]
- Fernandez, J.; Orsini, F.; Baeza, E.; Oztekin, G.; Muñoz, P.; Contreras, J.; Montero, J. Current trends in protected cultivation in Mediterranean climates. Eur. J. Hortic. Sci. 2018, 83, 294–305. [Google Scholar] [CrossRef]
- Gruda, N.; Bisbis, M.; Tanny, J. Impacts of protected vegetable cultivation on climate change and adaptation strategies for cleaner production—A review. J. Clean. Prod. 2019, 225, 324–339. [Google Scholar] [CrossRef]
- Müller, K.R.; Smola, A.J.; Rätsch, G.; Schölkopf, B.; Kohlmorgen, J.; Vapnik, V. Predicting Time Series with Support Vector Machines; Lecture Notes in Computer Science; Springer: Berlin/Heidelberg, Germany, 1997; Volume 1327, pp. 999–1004. [Google Scholar]
- Mukerjee, S.; Osuna, E.; Girosi, F. Nonlinear Prediction of Chaotic Time Series Using Support Vector Machines. In Proceedings of the IEEE Workshop on Neural Networks for Signal Processing VII, Amelia Island, FL, USA, 24–26 September 1997; pp. 511–520. [Google Scholar]
- Jheng, T.Z.; Li, T.H.; Lee, C.P. Using Hybrid Support Vector Regression to Predict Agricultural Output. In Proceedings of the 2018 27th Wireless and Optical Communication Conference (WOCC 2018), Hualien, Taiwan, 30 April–1 May 2018. [Google Scholar]
- Zong, J.; Zhu, Q. Price forecasting for agricultural products based on BP and RBF Neural Network. In Proceedings of the 12th IEEE Int. Conf. Computer Science and Automation Engineering, Beijing, China, 22–24 June 2012; pp. 607–610. [Google Scholar]
- Chapman, R.; Cook, S.; Donough, C.; Lim, Y.L.; Ho, P.V.V.; Lo, K.W.; Oberthür, T. Using Bayesian networks to predict future yield functions with data from commercial oil palm plantations: A proof of concept analysis. Comput. Electron. Agric. 2018, 151, 338–348. [Google Scholar] [CrossRef]
- Carlson, G.A. A decision theoretic approach to crop disease prediction and control. Am. J. Agric. Econ. 1970, 52, 216–223. [Google Scholar] [CrossRef]
- Bi, C.; Chen, G. Bayesian networks modeling for Crop Diseases. In Proceedings of the International Conference on Computer and Computing Technologies in Agriculture, Beijing, China, 27–30 September 2010; Springer: Berlin/Heidelberg, Germany, 2010; pp. 312–320. [Google Scholar]
- Kocian, A.; Massa, D.; Cannazzaro, S.; Incrocci, L.; Lonardo, S.D.; Milazzo, P.; Chessa, S. Dynamic Bayesian Network for Crop Growth Prediction in Greenhouses. Comput. Electron. Agric. 2020. [Google Scholar] [CrossRef]
- Rubin, D.B. Inference and Missing Data. Biometrika 1976, 63, 581–592. [Google Scholar] [CrossRef]
- Yuan, Y.C. Multiple Imputation for Missing Data: Concepts and New Development; Technical Report; SAS Institute Inc.: Rockville, MD, USA, 2000. [Google Scholar]
- Batista, G.; Monard, M. An analysis of four missing data treatment methods for supervised learning. Appl. Artif. Intell. 2003, 17, 519–533. [Google Scholar] [CrossRef]
- Takahashi, M.; Ito, T. Comparison of competing algorithms of multiple imputation: Analysis using large-scale economic data. Res. Mem. Off. Stat. 2014, 71, 39–82. [Google Scholar]
- Dempster, A.; Laird, N.; Rubin, D. Maximum likelihood from incomplete data via the EM algorithm. J. R. Stat. Soc. Ser. 1977, 39, 1–38. [Google Scholar]
- Jiang, W.J.; Josse, J.; Lavielle, M.; TraumaBase, G. Logistic regression with missing covariates—Parameter estimation, model selection and prediction within a joint-modeling framework. Comput. Stat. Data Anal. 2020, 145. [Google Scholar] [CrossRef]
- COLTIV@MI. Mini sErra Domestica Innovativa (Ital., Innovative Mini-Greenhouse). Available online: https://www.coltivami.com (accessed on 15 April 2020).
- Scott, J.W.; Harbaugh, B.K. Micro-Tom: A Miniature Dwarf Tomato; Circular S-370; Agricultural Experiment Station, Institute of Food and Agricultural Sciences, University of Florida: Gainesville, FL, USA, 1989. [Google Scholar]
- Carmassi, G.; Incrocci, L.; Maggini, R.; Malorgio, F.; Tognoni, F.; Pardossi, A. An aggregated model for water requirements of greenhouse tomato grown in closed rockwool culture with saline water. Agric. Water Manag. 2007, 88, 73–82. [Google Scholar] [CrossRef]
- Scholberg, J.; McNeal, B.; Jones, J.; Boote, K.; Stanley, C.; Obreza, T. Growth and Canopy Characteristics of Field-Grown Tomato. Agron. J. 2000, 92, 152–159. [Google Scholar] [CrossRef]
- Allen, R.G.; Pereira, L.S.; Raes, D.; Smith, M. Crop Evapotranspiration-Guidelines for Computing Crop Water Requirements-FAO Irrigation and Drainage Paper 56; Food and Agriculture Organization of the United Nations: Rome, Italy, 1998. [Google Scholar]
- Stanghellini, C. Transpiration of Greenhouse Crops: An Aid to Climate Management. Ph.D. Thesis, Institute of Agricultural Engineering (IMAG), Wageningen, The Netherlands, 1987. [Google Scholar]
- Katsoulas, N.; Stanghellini, C. Modelling Crop Transpiration in Greenhouses: Different Models for Different Applications. Agronomy 2019, 9, 392. [Google Scholar] [CrossRef]
- Baille, M.; Baille, A.; Laury, J.C. A simplified model for predicting evapotranspiration rate of nine ornamental species vs. climate factors and leaf area. Sci. Hortic. 1994, 59, 217–232. [Google Scholar] [CrossRef]
- Bailey, B.; Montero, J.; Biel, C.; Wilkinson, D.; Anton, A.; Jolliet, O. Transpiration of Ficus benjamina: Comparison of measurements with predictions of the Penman-Monteith model and a simplified version. Agric. For. Meteorol. 1993, 65, 229–243. [Google Scholar] [CrossRef]
- Kittas, C.; Katsoulas, N.; Baille, A. Transpiration and canopy resistance of greenhouse soilless roses: Measurements and modelling. Acta Hortic. 1999, 507, 61–68. [Google Scholar] [CrossRef]
- Montero, J.; Antón, A.; Muñoz, P.; Lorenzo, P. Transpiration from geranium grown under high temperatures and low humidities in greenhouses. Agric. For. Meteorol. 2001, 107, 323–332. [Google Scholar] [CrossRef]
- Rouphael, Y.; Colla, G. Modelling the transpiration of a greenhouse zucchini crop grown under a Mediterranean climate using the Penman-Monteith equation and its simplified version. Aust. J. Agric. Res. 2004, 55, 931–937. [Google Scholar] [CrossRef]
- Medrano, E.; Lorenzo, P.; Sánchez-Guerrero, M.; Montero, J. Evaluation and modelling of greenhouse cucumber-crop transpiration under high and low radiation conditions. Sci. Hortic. 2005, 105, 163–175. [Google Scholar] [CrossRef]
- Carmassi, G.; Bacci, l.; Bronzini, M.; Incrocci, L.; Maggini, R.; Bellocchi, G.; Massa, D.; Pardossi, A. Modelling transpiration of greenhouse gerbera (Gerbera jamesonii H.Bolus) grown in substrate with saline water in a Mediterranean climate. Sci. Hortic. 2013, 156, 9–18. [Google Scholar] [CrossRef]
- Bacci, L.; Battista, P.; Cardarelli, M.; Carmassi, G.; Rouphael, Y.; Incrocci, L.; Malorgio, F.; Pardossi, A.; Rapi, B.; Colla, G. Modelling Evapotranspiration of Container Crops for Irrigation Scheduling. In Evapotranspiration—From Measurements to Agricultural and Environmental Applications; IntechOpen: London, UK, 2011; Chapter 14; pp. 263–282. [Google Scholar] [CrossRef]
- Wu, C.F.J. On the convergence properties of the EM algorithm. Ann. Stat. 1983, 11, 95–103. [Google Scholar] [CrossRef]
- Hu, B.; Kocian, A.; Piton, R.; Hviid, A.; Fleury, B.H.; Rasmussen, L.K. Iterative joint channel estimation and interference cancellation using a SISO-SAGE algorithm for coded CDMA. In Proceedings of the 38th Asilomar Conference on Signals, Systems, and Computers, Pacific Grove, CA, USA, 7–10 November 2004; pp. 622–626. [Google Scholar] [CrossRef]
- Bacha, H.; Tekaya, M.; Drine, S.; Guasmi, F.; Touil, L.; Enneb, H.; Triki, T.; Cheour, F.; Ferchichi, A. Impact of salt stress on morpho-physiological and biochemical parameters of Solanum lycopersicum cv. Microtom leaves. S. Afr. J. Bot. 2017, 108, 364–369. [Google Scholar] [CrossRef]
- Rabiner, L.R. A Tutorial on Hidden Markov Models and Selected Applications in Speech Recognition. Proc. IEEE 1989, 77, 257–286. [Google Scholar] [CrossRef]
- Minka, T.P. From Hidden Markov Models to Linear Dynamical Systems; Technical Report TR-531; MIT Media Lab, MIT: Cambridge, MA, USA, 1999. [Google Scholar]





| Temperature | GDD | Irradiance R | ||
|---|---|---|---|---|
| (°C) | (C°) | (MJ m d) | ||
| Env 1 | Mean | 22.86 | 12.86 | 12.82 |
| Maximum | 27.29 | 17.3 | 21.18 | |
| Minimum | 18.59 | 8.6 | 2.35 | |
| Accumulation | N/A | 1158.7 | 820.67 | |
| Env 2 | Mean | 18.40 | 8.4 | 4.70 |
| Maximum | 24.57 | 14.6 | 8.20 | |
| Minimum | 12.08 | 2.1 | 1.49 | |
| Accumulation | N/A | 857.2 | 291.44 | |
| Env 3 | Mean | 19.14 | 9.14 | 1.29 |
| Maximum | 23.63 | 13.60 | 1.29 | |
| Minimum | 15.31 | 5.30 | 1.29 | |
| Accumulation | N/A | 921.1 | 82.56 |
| Error (%) | ||||
|---|---|---|---|---|
| DBN Env 1 | 16.86 | 13.03 | 22.48 | 9.17 |
| DBN Env 2 | 25.64 | 6.36 | 21.30 | 2.74 |
| DBN Env 3 | 8.34 | 9.68 | 23.74 | 14.82 |
| Error (%) | ||||
|---|---|---|---|---|
| Carmassi Env 2 | 102.76 | 55.61 | 16.44 | 13.92 |
| Carmassi Env 3 | 109.19 | 41.55 | 2.90 | 2.24 |
| LRM Env 1 | N/A | N/A | 0 | 61.0 |
| LRM Env 2 | N/A | N/A | 4.05 | 77.82 |
| LRM Env 3 | N/A | N/A | 32.19 | 101.26 |
| Error (%) | Env 1 | Env 2 | Env 3 |
|---|---|---|---|
| DBN | 30.13 | 37.54 | 20.57 |
| Carmassi | N/A | 37.85 | 36.57 |
| LRM | 49.56 | 112.21 | 39.92 |
© 2020 by the authors. Licensee MDPI, Basel, Switzerland. This article is an open access article distributed under the terms and conditions of the Creative Commons Attribution (CC BY) license (http://creativecommons.org/licenses/by/4.0/).
Share and Cite
Kocian, A.; Carmassi, G.; Cela, F.; Incrocci, L.; Milazzo, P.; Chessa, S. Bayesian Sigmoid-Type Time Series Forecasting with Missing Data for Greenhouse Crops. Sensors 2020, 20, 3246. https://doi.org/10.3390/s20113246
Kocian A, Carmassi G, Cela F, Incrocci L, Milazzo P, Chessa S. Bayesian Sigmoid-Type Time Series Forecasting with Missing Data for Greenhouse Crops. Sensors. 2020; 20(11):3246. https://doi.org/10.3390/s20113246
Chicago/Turabian StyleKocian, Alexander, Giulia Carmassi, Fatjon Cela, Luca Incrocci, Paolo Milazzo, and Stefano Chessa. 2020. "Bayesian Sigmoid-Type Time Series Forecasting with Missing Data for Greenhouse Crops" Sensors 20, no. 11: 3246. https://doi.org/10.3390/s20113246
APA StyleKocian, A., Carmassi, G., Cela, F., Incrocci, L., Milazzo, P., & Chessa, S. (2020). Bayesian Sigmoid-Type Time Series Forecasting with Missing Data for Greenhouse Crops. Sensors, 20(11), 3246. https://doi.org/10.3390/s20113246

