Probabilistic Updating of Structural Models for Damage Assessment Using Approximate Bayesian Computation
Abstract
1. Introduction
2. Recap of ABC-SubSim
2.1. Approximate Bayesian Computation
2.2. The ABC-SubSim Algorithm
2.2.1. Intermediate Tolerances
2.2.2. Conditional Probability
2.2.3. Variance of Proposal Distribution
3. Model Updating Using ABC-SubSim
3.1. Choice of Metric Function
3.2. Stopping Criteria
3.3. Hybrid Optimization Scheme
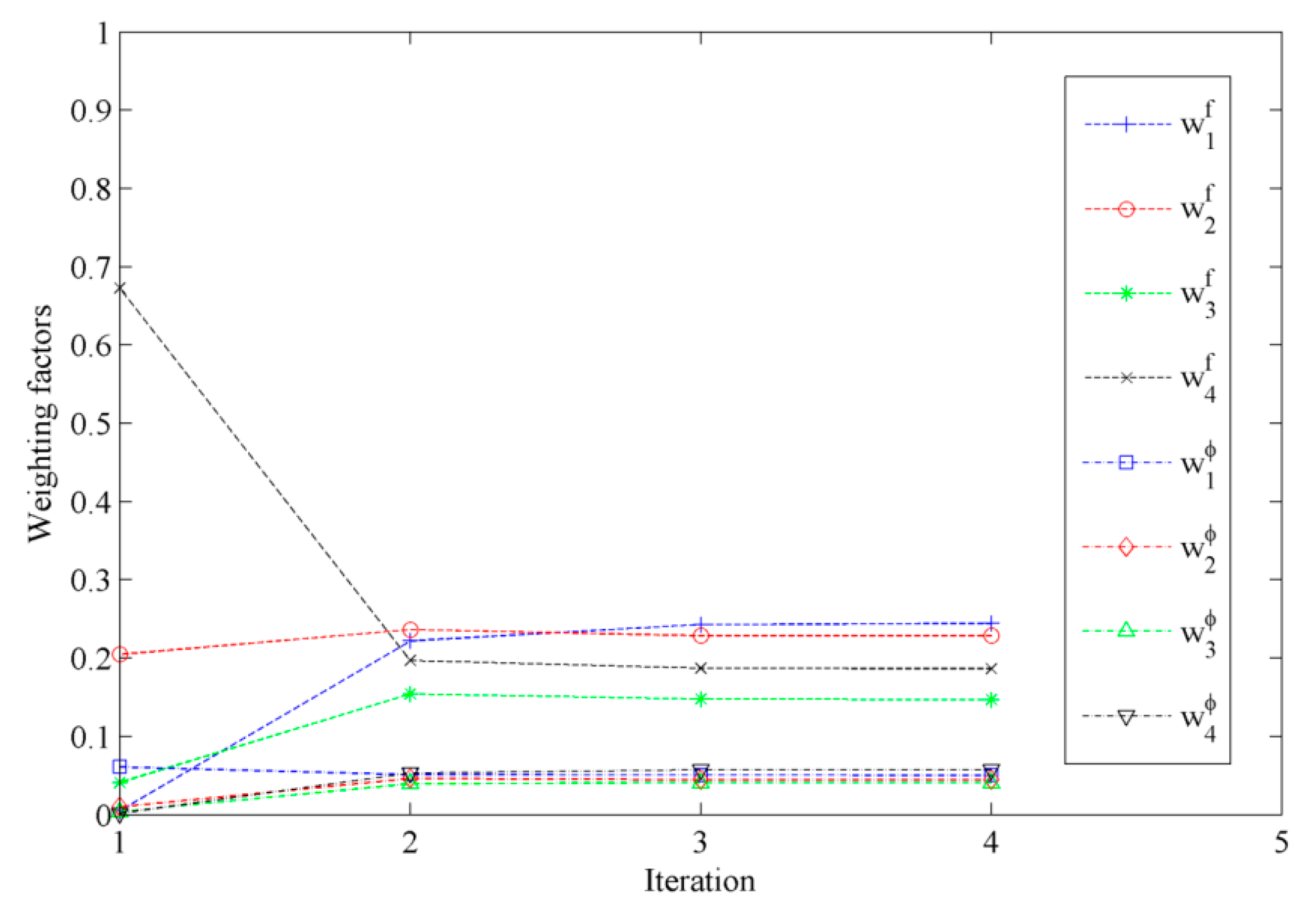
3.4. Weighting Factors Determination
3.5. Summary of the Procedures
- Calculate the initial values for the weighting factors used in the metric as presented in Equation (6) using Equation (10) when taking the nominal value of the model parameter vector as its optimal value.
- Using direct Monte Carlo simulation to get N samples following the prior distribution of the model parameter vector.
- Evaluate the metric and sort the samples in order according to their metric values.
- Select NP0 samples which corresponding to the first NP0 smallest metric values. These samples will be taken as the seeds for Markov chains generation.
- Generating NP0 Markov chains with length of 1/P0 for each chain using a self-regulating modified Metropolis algorithm [29].
- Check whether the stopping criteria proposed in Equations (7) and (8) is satisfied. If it is not satisfied then repeat the steps iii–vi. If it is satisfied then output the posterior samples.
- Take the optimal value in the posterior samples as the initial guess for a local optimization search operator, and conduct the local optimization search to obtain a fine optimum.
- Using the fine optimum to calculate the weighting factors using Equation (10).
- Check the convergence of the weighting factors. If the convergence satisfied, then the algorithm ends. If not, take the newly calculated weighting factors for the metric and repeat the steps i–ix.
4. Damage Assessment Based on Model Updating
4.1. Structural Model Parameterization
4.2. Probabilistic Damage Assessment
5. Application Examples
5.1. Model Updating of a Shear Building
5.2. Damage Assessment of a Truss Structure
5.3. Damage Assessment of a Simply Supported Beam
6. Conclusions
Author Contributions
Funding
Conflicts of Interest
Appendix A
| The proposed ABC-SubSim algorithm for structural model updating using modal data |
| Input |
| M, K0: the mass and nominal stiffness matrix |
| y = {, }: the measured frequencies and mode shapes, i = 1:Ns, r = 1:Nm |
| θ0, p(θ): the nominal value and prior PDF of model parameters |
| Output |
| θopt, Θpost: the optimal value and posterior samples of model parameters |
| /*Initialization*/ |
| , : tolerances for stopping criterion of subset simulation |
| P0, N: the conditional probability and the number of samples in each level of subset simulation |
| w0: calculate the initial values for the weighting factors based on nominal value θ0 |
| εw: tolerances for stopping criterion of weighting factors iteration |
| k = 1 |
| while (k==1 or ) do /*External loop for weighting factors iteration*/ |
| Sample , where |
| j = 1 |
| while (j==1 or Rj > and Sj > ) do /*Internal loop for subset simulation*/ |
| for n: 1, …, N do |
| Evaluate |
| end for |
| Sort and renumber the samples so that |
| for l = 1, …, do |
| Select as a seed |
|
| end for |
| Renumber as |
| j = j + 1 |
| Update Rj and Sj |
| end while |
| k = k + 1 |
|
| Update the weighting factors based on the newly obtained optimal model parameters |
| end while |
References
- Chen, G.; Mu, H.; Pommerenke, D.; Drewniak, J.L. Damage detection of reinforced concrete beams with novel distributed crack/strain sensors. Struct. Heal. Monit. An. Int. J. 2004, 3, 225–243. [Google Scholar] [CrossRef]
- Xu, B.; Chen, G.; Wu, Z.S. Parametric identification for a truss structure using axial strain. Comput. Civ. Infrastruct. Eng. 2007, 22, 210–222. [Google Scholar] [CrossRef]
- Fan, L.; Bao, Y.; Chen, G. Feasibility of distributed fiber optic sensor for corrosion monitoring of steel bars in reinforced concrete. Sensors 2018, 18, 3722. [Google Scholar] [CrossRef] [PubMed]
- Farrar, C.R.; Doebling, S.W.; Nix, D.A. Vibration-based structural damage identification. Philos. Trans. R. Soc. A Lond. Ser. Math. Phys. Eng. Sci. 2001, 359, 131–149. [Google Scholar] [CrossRef]
- Simoen, E.; De Roeck, G.; Lombaert, G. Dealing with uncertainty in model updating for damage assessment: A review. Mech. Syst. Signal Process. 2015, 56–57, 123–149. [Google Scholar] [CrossRef]
- Mao, J.-X.; Wang, H.; Feng, D.-M.; Tao, T.-Y.; Zheng, W.-Z. Investigation of dynamic properties of long-span cable-stayed bridges based on one-year monitoring data under normal operating condition. Struct. Control Health Monit. 2018, 25, e2146. [Google Scholar] [CrossRef]
- Beck, J.L.; Katafygiotis, L.S. Updating models and their uncertainties. I: Bayesian statistical framework. J. Eng. Mech. 1998, 124, 455–461. [Google Scholar] [CrossRef]
- Brownjohn, J.M.W.; Xia, P.-Q.; Hao, H.; Xia, Y. Civil structure condition assessment by FE model updating: Methodology and case studies. Finite Elem. Anal. Des. 2001, 37, 761–775. [Google Scholar] [CrossRef]
- Jaishi, B.; Ren, W.-X. Structural finite element model updating using ambient vibration test results. J. Struct. Eng. 2005, 131, 617–628. [Google Scholar] [CrossRef]
- Hua, X.G.; Ni, Y.Q.; Chen, Z.Q.; Ko, J.M. An improved perturbation method for stochastic finite element model updating. Int. J. Numer. Methods Eng. 2008, 73, 1845–1864. [Google Scholar] [CrossRef]
- Yan, W.-J.; Katafygiotis, L.S. A novel Bayesian approach for structural model updating utilizing statistical modal information from multiple setups. Struct. Saf. 2015, 52, 260–271. [Google Scholar] [CrossRef]
- Lee, Y.-J.; Cho, S. SHM-based probabilistic fatigue life prediction for bridges based on FE model updating. Sensors 2016, 16, 317. [Google Scholar] [CrossRef] [PubMed]
- Huang, Y.; Beck, J.L.; Li, H. Bayesian system identification based on hierarchical sparse Bayesian learning and Gibbs sampling with application to structural damage assessment. Comput. Methods Appl. Mech. Eng. 2017, 318, 382–411. [Google Scholar] [CrossRef]
- Asadollahi, P.; Huang, Y.; Li, J. Bayesian finite element model updating and assessment of Cable-stayed bridges using wireless sensor data. Sensors 2018, 18, 3057. [Google Scholar] [CrossRef]
- Qin, S.; Zhang, Y.; Zhou, Y.-L.; Kang, J. Dynamic model updating for bridge structures using the Kriging model and PSO algorithm ensemble with higher vibration modes. Sensors 2018, 18, 1879. [Google Scholar] [CrossRef]
- Sun, H.; Luş, H.; Betti, R. Identification of structural models using a modified Artificial Bee Colony algorithm. Comput. Struct. 2013, 116, 59–74. [Google Scholar] [CrossRef]
- Perera, R.; Ruiz, A. A multistage FE updating procedure for damage identification in large-scale structures based on multiobjective evolutionary optimization. Mech. Syst. Signal Process. 2008, 22, 970–991. [Google Scholar] [CrossRef]
- Jin, S.-S.; Cho, S.; Jung, H.-J.; Lee, J.-J.; Yun, C.-B. A new multi-objective approach to finite element model updating. J. Sound Vib. 2014, 333, 2323–2338. [Google Scholar] [CrossRef]
- Beck, J.L. Bayesian system identification based on probability logic. Struct. Control Health Monit. 2010, 17, 825–847. [Google Scholar] [CrossRef]
- Sun, H.; Büyüköztürk, O. Probabilistic updating of building models using incomplete modal data. Mech. Syst. Signal Process. 2016, 75, 27–40. [Google Scholar] [CrossRef]
- Simoen, E.; Papadimitriou, C.; Lombaert, G. On prediction error correlation in Bayesian model updating. J. Sound Vib. 2013, 332, 4136–4152. [Google Scholar] [CrossRef]
- Marin, J.-M.; Pudlo, P.; Robert, C.P.; Ryder, R.J. Approximate Bayesian computational methods. Stat. Comput. 2012, 22, 1167–1180. [Google Scholar] [CrossRef]
- Jin, S.-S.; Jung, H.-J. Likelihood-free Bayesian computation for structural model calibration: A feasibility study. In Proceedings of the SPIE 9803, Sensors and Smart Structures Technologies for Civil, Mechanical, and Aerospace Systems 2016, Las Vegas, NV, USA, 21–24 March 2016; p. 980323. [Google Scholar]
- Fang, S.-E.; Chen, S.; Lin, Y.-Q.; Dong, Z.-L. Probabilistic damage identification incorporating approximate Bayesian computation with stochastic response surface. Mech. Syst. Signal Process. 2019, 128, 229–243. [Google Scholar] [CrossRef]
- Abdessalem, A.B.; Dervilis, N.; Wagg, D.; Worden, K. Model selection and parameter estimation in structural dynamics using approximate Bayesian computation. Mech. Syst. Signal Process. 2018, 99, 306–325. [Google Scholar] [CrossRef]
- Abdessalem, A.B.; Dervilis, N.; Wagg, D.; Worden, K. Model selection and parameter estimation of dynamical systems using a novel variant of approximate Bayesian computation. Mech. Syst. Signal Process. 2019, 122, 364–386. [Google Scholar] [CrossRef]
- Chiachio, M.; Beck, J.L.; Chiachio, J.; Rus, G. Approximate Bayesian computation by Subset Simulation. SIAM J. Sci. Comput. 2014, 36, A1339–A1358. [Google Scholar] [CrossRef]
- Au, S.-K.; Beck, J.L. Estimation of small failure probabilities in high dimensions by Subset Simulation. Probabilistic Eng. Mech. 2001, 16, 263–277. [Google Scholar] [CrossRef]
- Vakilzadeh, M.K.; Huang, Y.; Beck, J.L.; Abrahamsson, T. Approximate Bayesian computation by Subset Simulation using hierarchical state-space models. Mech. Syst. Signal Process. 2017, 84, 2–20. [Google Scholar] [CrossRef]
- Vakilzadeh, M.K.; Beck, J.L.; Abrahamsson, T. Using approximate Bayesian computation by Subset Simulation for efficient posterior assessment of dynamic state-space model classes. SIAM J. Sci. Comput. 2018, 40, B168–B195. [Google Scholar] [CrossRef]
- Sunnåker, M.; Busetto, A.G.; Numminen, E.; Corander, J.; Foll, M.; Dessimoz, C. Approximate Bayesian computation. PLoS Comput. Biol. 2013, 9, e1002803. [Google Scholar] [CrossRef]
- Sisson, S.A.; Fan, Y.; Beaumont, M. Handbook of Approximate Bayesian Computation, 1st ed.; Chapman & Hall/CRC: Boca Raton, FL, USA, 2018. [Google Scholar]
- Toni, T.; Welch, D.; Strelkowa, N.; Ipsen, A.; Stumpf, M.P. Approximate Bayesian computation scheme for parameter inference and model selection in dynamical systems. J. R. Soc. Interface 2009, 6, 187–202. [Google Scholar] [CrossRef] [PubMed]
- Zuev, K.M.; Beck, J.L.; Au, S.-K.; Katafygiotis, L.S. Bayesian post-processor and other enhancements of Subset Simulation for estimating failure probabilities in high dimensions. Comput. Struct. 2012, 92, 283–296. [Google Scholar] [CrossRef]
- Moaveni, B.; Conte, J.P.; Hemez, F.M. Uncertainty and sensitivity analysis of damage identification results obtained using finite element model updating. Comput. Civ. Infrastruct. Eng. 2009, 24, 320–334. [Google Scholar] [CrossRef]
- Moaveni, B.; He, X.; Conte, J.P.; Restrepo, J.I. Damage identification study of a seven-story full-scale building slice tested on the UCSD-NEES shake table. Struct. Saf. 2010, 32, 347–356. [Google Scholar] [CrossRef]
- Moller, P.W.; Friberg, O. Updating large finite element models in structural dynamics. AIAA J. 1998, 36, 1861–1868. [Google Scholar] [CrossRef]
- Jia, X.; Papadimitriou, C. Data features-based likelihood-informed bayesian finite element model updating. In Proceedings of the 3rd International Conference on Uncertainty Quantification in Computational Sciences and Engineering (UNCECOMP 2019), Athens, Greece, 24–26 June 2019; pp. 103–113. [Google Scholar]
- Jung, D.-S.; Kim, C.-Y. FE model updating based on hybrid genetic algorithm and its verification on numerical bridge model. Struct. Eng. Mech. 2009, 32, 667–683. [Google Scholar] [CrossRef]
- Sun, H.; Betti, R. A hybrid optimization algorithm with Bayesian inference for probabilistic model updating. Comput. Civ. Infrastruct. Eng. 2015, 30, 602–619. [Google Scholar] [CrossRef]
- Broyden, C.G. The convergence of a class of double-rank minimization algorithms 1. General considerations. IMA J. Appl. Math. 1970, 6, 76–90. [Google Scholar] [CrossRef]
- Fletcher, R. A new approach to variable metric algorithms. Comput. J. 1970, 13, 317–322. [Google Scholar] [CrossRef]
- Goldfarb, D. A family of variable-metric methods derived by variational means. Math. Comput. 1970, 24, 23–26. [Google Scholar] [CrossRef]
- Shanno, D.F. Conditioning of quasi-Newton methods for function minimization. Math. Comput. 1970, 24, 647–656. [Google Scholar] [CrossRef]
- Truong, T.C.; Cho, S.; Yun, C.B.; Sohn, H. Finite element model updating of Canton Tower using regularization technique. Smart Struct. Syst. 2012, 10, 459–470. [Google Scholar] [CrossRef][Green Version]
- Christodoulou, K.; Papadimitriou, C. Structural identification based on optimally weighted modal residuals. Mech. Syst. Signal Process. 2007, 21, 4–23. [Google Scholar] [CrossRef]
- Ching, J.; Beck, J.L. New Bayesian model updating algorithm applied to a structural health monitoring benchmark. Struct. Health Monit. 2004, 3, 313–332. [Google Scholar] [CrossRef]
- Yi, T.-H.; Li, H.-N.; Gu, M. Optimal sensor placement for health monitoring of high-rise structure based on genetic algorithm. Math. Probl. Eng. 2011, 2011. [Google Scholar] [CrossRef]
- Yi, T.-H.; Li, H.-N. Methodology developments in sensor placement for health monitoring of civil infrastructures. Int. J. Distrib. Sens. Netw. 2012, 8, 612726. [Google Scholar] [CrossRef]












| θ1 | θ2 | θ3 | θ4 | θ5 | θ6 | θ7 | θ8 | |
|---|---|---|---|---|---|---|---|---|
| True | −0.2000 | −0.2000 | −0.2000 | −0.2000 | 0.2000 | 0.2000 | 0.2000 | 0.2000 |
| Optimal 1 | −0.2052 | −0.2085 | −0.1968 | −0.2050 | 0.2002 | 0.1968 | 0.2052 | 0.2000 |
| CV 1 | 0.0059 | 0.0072 | 0.0063 | 0.0084 | 0.0126 | 0.0165 | 0.0173 | 0.0063 |
| Optimal 2 | −0.1930 | −0.2058 | −0.2067 | −0.2044 | 0.2184 | 0.2144 | 0.2104 | 0.2011 |
| CV 2 | 0.0135 | 0.0157 | 0.0120 | 0.0165 | 0.0240 | 0.0336 | 0.0361 | 0.0120 |
| Optimal 3 | −0.2121 | −0.2007 | −0.2050 | −0.1920 | 0.2167 | 0.2159 | 0.1799 | 0.1848 |
| CV 3 | 0.0059 | 0.0072 | 0.0063 | 0.0084 | 0.0126 | 0.0165 | 0.0173 | 0.0063 |
| Optimal 4 | −0.1992 | −0.1969 | −0.2005 | −0.2102 | 0.1941 | 0.1863 | 0.2043 | 0.2029 |
| CV 4 | 0.0005 | 0.0008 | 0.0004 | 0.0005 | 0.0005 | 0.0015 | 0.0011 | 0.0010 |
© 2020 by the authors. Licensee MDPI, Basel, Switzerland. This article is an open access article distributed under the terms and conditions of the Creative Commons Attribution (CC BY) license (http://creativecommons.org/licenses/by/4.0/).
Share and Cite
Feng, Z.; Lin, Y.; Wang, W.; Hua, X.; Chen, Z. Probabilistic Updating of Structural Models for Damage Assessment Using Approximate Bayesian Computation. Sensors 2020, 20, 3197. https://doi.org/10.3390/s20113197
Feng Z, Lin Y, Wang W, Hua X, Chen Z. Probabilistic Updating of Structural Models for Damage Assessment Using Approximate Bayesian Computation. Sensors. 2020; 20(11):3197. https://doi.org/10.3390/s20113197
Chicago/Turabian StyleFeng, Zhouquan, Yang Lin, Wenzan Wang, Xugang Hua, and Zhengqing Chen. 2020. "Probabilistic Updating of Structural Models for Damage Assessment Using Approximate Bayesian Computation" Sensors 20, no. 11: 3197. https://doi.org/10.3390/s20113197
APA StyleFeng, Z., Lin, Y., Wang, W., Hua, X., & Chen, Z. (2020). Probabilistic Updating of Structural Models for Damage Assessment Using Approximate Bayesian Computation. Sensors, 20(11), 3197. https://doi.org/10.3390/s20113197

