Bioluminescent Ratiometric Indicator for Analysis of Water Hardness in Household Water
Abstract
1. Introduction
2. Materials and Methods
2.1. General Molecular Biology
2.2. Construction of Bacterial Expression Vectors
2.3. Expression and Purification of Proteins
2.4. In Vitro Characterization of LOTUS-W
2.5. pH Measurement of LOTUS-W
2.6. Metal Ion Selectivity and Sensitivity of LOTUS-W
2.7. Temperature Calibration of LOTUS-W
2.8. WH Determination by a Smartphone Camera
2.9. Calculation of Water Hardness
3. Results and Discussion
3.1. Development of the Ratiometric Bioluminescent LOTUS-W Indicator
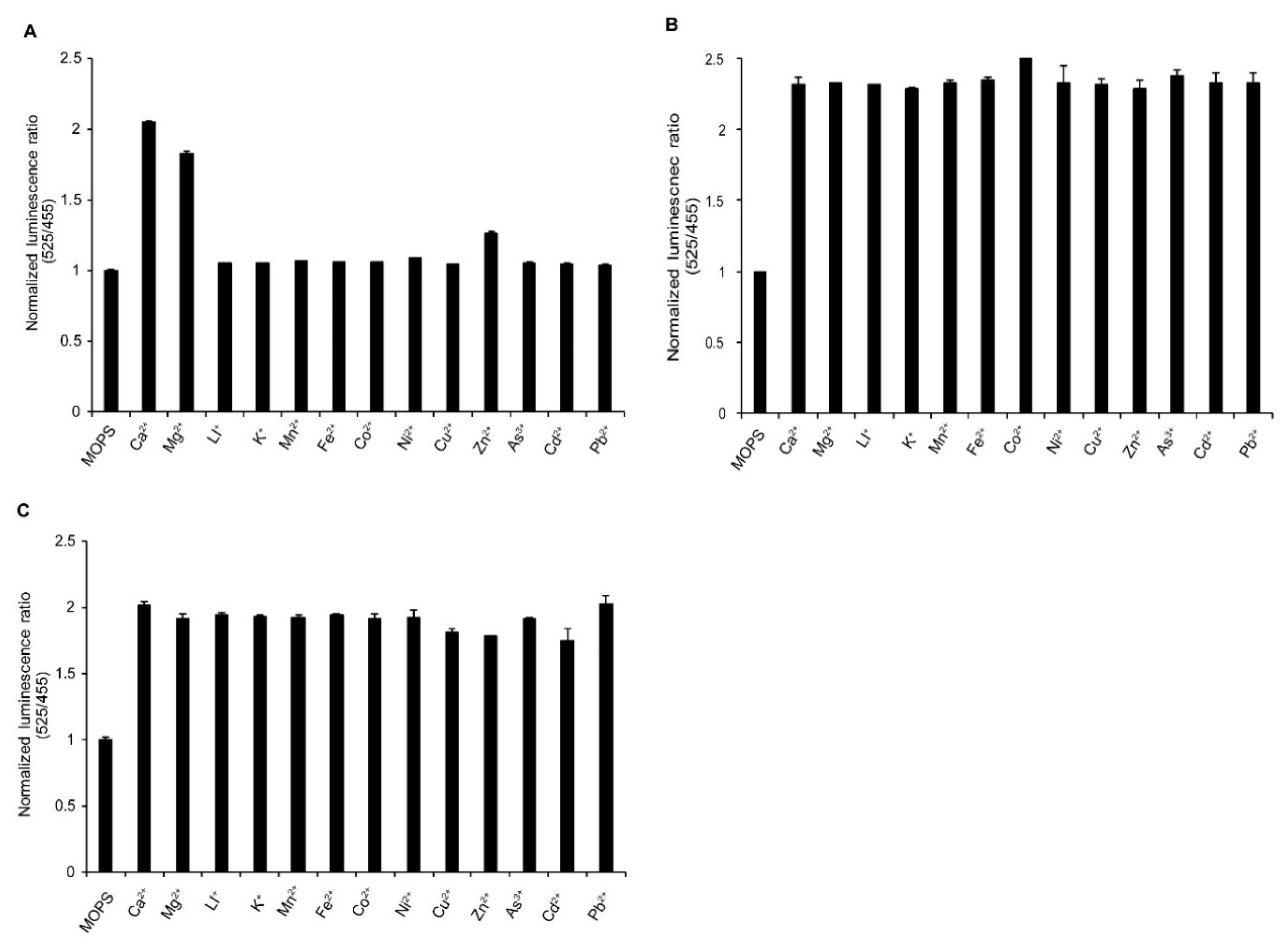
3.2. Characterization of LOTUS-W Against Environmental Changes
3.3. WH Measurement by a Mobile Device
4. Conclusions
Supplementary Materials
Author Contributions
Funding
Acknowledgments
Conflicts of Interest
Accession Code
References
- Cotruvo, J.A.; Bartram, J. WHO Calcium and Magnesium in Drinking-Water: Public Health Significance; WHO: Geneva, Switzerland, 2009. [Google Scholar]
- Sengupta, P. Potential health impacts of hard water. Int. J. Prev. Med. 2013, 4, 866–875. [Google Scholar]
- Lerga, T.M.; O’Sullivan, C.K. Rapid determination of total hardness in water using fluorescent molecular aptamer beacon. Anal. Chim. Acta 2008, 610, 105–111. [Google Scholar] [CrossRef]
- WHO Guidelines for Drinking-Water Quality, 4th ed.; WHO: Geneva, Switzerland, 2017; ISBN 9241546964.
- Dieter, C.A.; Maupin, M.A.; Caldwell, R.R.; Harris, M.A.; Ivahnenko, T.I.; Lovelace, J.K.; Barber, N.L.; Linsey, K.S. Estimated Use of Water in the United States in 2015: U.S. Geological Survey Circular 1441. Available online: https://doi.org/10.3133/cir1441 (accessed on 1 June 2020).
- Smeenk, J.G.M.M. Drinking water contaminants. Environ. Sci. Technol. 1983, 17, 21–23. [Google Scholar] [CrossRef]
- Ling, E.J.; Associate, E.; Engineering, B.S.; Tech, V. Virginia household water quality program: Hardness in household water. In VCE Publication; Virginia Cooperative Extension: Blacksburg, VA, USA, 2011; pp. 1–3. [Google Scholar]
- Danby, S.G.; Brown, K.; Wigley, A.M.; Chittock, J.; Pyae, P.K.; Flohr, C.; Cork, M.J. The effect of water hardness on surfactant deposition after washing and subsequent skin irritation in atopic dermatitis patients and healthy control subjects. J. Investig. Dermatol. 2018, 138, 68–77. [Google Scholar] [CrossRef] [PubMed]
- Rosborg, I.; Nihlgård, B.; Gerhardsson, L.; Gernersson, M.L.; Ohlin, R.; Olsson, T. Concentrations of inorganic elements in bottled waters on the Swedish market. Environ. Geochem. Health 2005, 27, 217–227. [Google Scholar] [CrossRef]
- Bhattacharjee, T.; Member, S.; Jiang, H.; Member, S. A fluidic colorimetric sensor design for water hardness detection. IEEE Sens. J. 2015, 15, 819–826. [Google Scholar] [CrossRef]
- Padmapriya, R.; Saranya, T.; Thirunalasundari, T. Phyllanthus emblica-A biopotential for hard water treatment. Int. J. Pure App. Biosci. 2015, 3, 291–295. [Google Scholar]
- Abeliotis, K.; Candan, C.; Amberg, C.; Ferri, A.; Osset, M.; Owens, J.; Stamminger, R. Impact of water hardness on consumers’ perception of laundry washing result in five European countries. Int. J. Consum. Stud. 2015, 39, 60–66. [Google Scholar] [CrossRef]
- Riaz, M.; Saeed, M.; Saqlain, M.; Jafar, N. Impact of water hardness in instinctive laundry system based on fuzzy logic controller. J. Math. 2019, 2, 73–84. [Google Scholar]
- Mitsumoto, H. Hardness Measurement Reagent. U.S. Patent 7202090 B2, 10 April 2007. [Google Scholar]
- Nakajima, J.; Mizogami, K.; Ykena, Y. Hardness Indicator Composition and Method of Water hardness Analysis. U.S. Patent USOO6599748B1, 29 July 2003. [Google Scholar]
- Monarca, B.S.; Zerbini, I.; Donato, F. Rolling Revision of the WHO Guidelines for Drinking-Water Quality; WHO: Geneva, Switzerland, 2004. [Google Scholar]
- Norton, J.F.; Knowles, H.L. A study of indicators for the determination of temporary hardness in water. J. Am. Chem. Soc. 1916, 38, 877–884. [Google Scholar] [CrossRef]
- Banewicz, J.J.; Kenner, C.T. Determination of calcium and magnesium in limestones and dolomites. Anal. Chem. 1952, 24, 1186–1187. [Google Scholar] [CrossRef]
- Lopez-Molinero, A.; Cubero, V.T.; Irigoyen, R.D.; Piazuelo, D.S. Feasibility of digital image colorimetry-Application for water calcium hardness determination. Talanta 2013, 103, 236–244. [Google Scholar] [CrossRef] [PubMed]
- Dey, D.; Bhattacharjee, D.; Chakraborty, S.; Hussain, S.A. Sensors and actuators B: Chemical development of hard water sensor using fluorescence resonance energy transfer. Sens. Actuators B. Chem. 2013, 184, 268–273. [Google Scholar] [CrossRef]
- Capitán-vallvey, L.F.; Fernández-ramos, M.D. Characterisation of a transparent optical test strip for quantification of water hardness. Anal. Chim. Acta 2003, 481, 139–148. [Google Scholar] [CrossRef]
- Prodi, L.; Bolletta, F.; Montalti, M.; Zaccheroni, N. Luminescent chemosensors for transition metal ions. Coord. Chem. Rev. 2000, 205, 59–83. [Google Scholar] [CrossRef]
- Cevenini, L.; Lopreside, A.; Calabretta, M.M.; D’Elia, M.; Simoni, P.; Michelini, E.; Roda, A. A novel bioluminescent NanoLuc yeast-estrogen screen biosensor (nanoYES) with a compact wireless camera for effect-based detection of endocrine-disrupting chemicals. Anal. Bioanal. Chem. 2018, 410, 1237–1246. [Google Scholar] [CrossRef]
- Farhana, I.; Hossain, N.; Suzuki, K.; Matsuda, T.; Nagai, T. Genetically encoded fluorescence/bioluminescence bimodal indicators for Ca2+ imaging. Acs Sens. 2019, 4, 1825–1834. [Google Scholar] [CrossRef]
- Broyles, C.; Robinson, P.; Daniels, M. Fluorescent, bioluminescent, and optogenetic approaches to study excitable physiology in the single cardiomyocyte. Cells 2018, 7, 51. [Google Scholar] [CrossRef]
- Dey, D.; Saha, J.; Roy, A.D.; Bhattacharjee, D.; Hussain, S.A. Development of an ion-sensor using fluorescence resonance energy transfer. Sens. Actuators B Chem. 2014, 195, 382–388. [Google Scholar] [CrossRef]
- Suzuki, K.; Kimura, T.; Shinoda, H.; Bai, G.; Daniels, M.J.; Arai, Y.; Nakano, M.; Nagai, T. Five colour variants of bright luminescent protein for real-time multicolour bioimaging. Nat. Commun. 2016, 7, 1–10. [Google Scholar] [CrossRef]
- Inagaki, S.; Tsutsui, H.; Suzuki, K.; Agetsuma, M.; Arai, Y.; Jinno, Y.; Bai, G.; Daniels, M.J.; Okamura, Y.; Matsuda, T.; et al. Genetically encoded bioluminescent voltage indicator for multi-purpose use in wide range of bioimaging. Sci. Rep. 2017, 7, 42398. [Google Scholar] [CrossRef]
- Yeh, H.-W.; Ai, H.-W. Development and applications of bioluminescent and chemiluminescent reporters and biosensors. Annu. Rev. Anal. Chem. 2019, 12, 129–150. [Google Scholar] [CrossRef] [PubMed]
- Ni, Y.; Arts, R.; Merkx, M. Ratiometric bioluminescent sensor proteins based on intramolecular split luciferase complementation. Acs Sens. 2019, 4, 20–25. [Google Scholar] [CrossRef] [PubMed]
- Roda, A.; Michelini, E.; Cevenini, L.; Calabria, D.; Calabretta, M.M.; Simoni, P. Integrating biochemiluminescence detection on smartphones: Mobile chemistry platform for point-of-need analysis. Anal. Chem. 2014, 86, 7299–7304. [Google Scholar] [CrossRef] [PubMed]
- Kim, H.; Jung, Y.; Doh, I.J.; Lozano-Mahecha, R.A.; Applegate, B.; Bae, E. Smartphone-based low light detection for bioluminescence application. Sci. Rep. 2017, 7, 40203. [Google Scholar] [CrossRef]
- Arts, R.; den Hartog, I.; Zijlema, S.E.; Thijssen, V.; van der Beelen, S.H.E. Detection of antibodies in blood plasma using bioluminescent sensor proteins and a smartphone. Anal. Chem. 2016, 88, 4525–4532. [Google Scholar] [CrossRef]
- Saito, K.; Hatsugai, N.; Horikawa, K.; Kobayashi, K.; Matsu-Ura, T.; Mikoshiba, K.; Nagai, T. Auto-luminescent genetically-encoded ratiometric indicator for real-time Ca2+ imaging at the single cell level. PLoS ONE 2010, 5, e9935. [Google Scholar] [CrossRef]
- Lindenburg, L.H.; Vinkenborg, J.L.; Oortwijn, J.; Aper, S.J.A.; Merkx, M. MagFRET: The first genetically encoded fluorescent Mg2+ sensor. PLoS ONE 2013, 8, e82009. [Google Scholar] [CrossRef]
- Gross, L.A.; Baird, G.S.; Hoffman, R.C.; Baldridge, K.K.; Tsien, R.Y. The structure of the chromophore within DsRed, a red fluorescent protein from coral. Proc. Natl. Acad. Sci. USA 2000, 97, 11990–11995. [Google Scholar] [CrossRef]
- Shaner, N.C.; Lambert, G.G.; Chammas, A.; Ni, Y.; Cranfill, P.J.; Baird, M.A.; Sell, B.R.; Allen, J.R.; Day, R.N.; Israelsson, M.; et al. A bright monomeric green fluorescent protein derived from Branchiostoma lanceolatum. Nat. Methods 2013, 10, 407–409. [Google Scholar] [CrossRef]
- Zhao, Y.; Araki, S.; Wu, J.; Teramoto, T.; Chang, Y.-F.; Nakano, M.; Abdelfattah, A.S.; Fujiwara, M.; Ishihara, T.; Nagai, T.; et al. An expanded palette of genetically encoded Ca2+ indicators. Science 2011, 333, 1888–1891. [Google Scholar] [CrossRef] [PubMed]
- Wurts, W.A. Understanding water hardness. World Aquac. 1993, 24, 18. [Google Scholar]
- Campbell, J.; Peterson, D. Determination of water hardness from common water sources using flame atomic absorbance spectrometry. Concordia Coll. J. Anal. Chem. 2010, 1, 4–8. [Google Scholar]
- Pal, A.; Pal, M.; Mukherjee, P.; Bagchi, A.; Raha, A. Determination of the hardness of drinking packaged water of Kalyani area, West Bengal. Asian J. Pharm. Pharmacol. 2018, 4, 203–206. [Google Scholar] [CrossRef]
- Nagai, T.; Yamada, S.; Tominaga, T.; Ichikawa, M.; Miyawaki, A. Expanded dynamic range of fluorescent indicators for Ca2+ by circularly permuted yellow fluorescent proteins. Proc. Natl. Acad. Sci. USA 2004, 101, 10554–10559. [Google Scholar] [CrossRef]
- Geng, Z.; Zhang, X.; Fan, Z.; Lv, X.; Su, Y.; Chen, H. Recent progress in optical biosensors based on smartphone platforms. Sensors 2017, 17, 2449. [Google Scholar] [CrossRef]
- Leurs, L.J.; Schouten, L.J.; Mons, M.N.; Goldbohm, R.A.; Van Den Brandt, P.A. Relationship between tap water hardness, magnesium, and calcium concentration and mortality due to ischemic heart disease or stroke in the Netherlands. Environ. Health Perspect. 2010, 118, 414–420. [Google Scholar] [CrossRef]




© 2020 by the authors. Licensee MDPI, Basel, Switzerland. This article is an open access article distributed under the terms and conditions of the Creative Commons Attribution (CC BY) license (http://creativecommons.org/licenses/by/4.0/).
Share and Cite
Hossain, M.N.; Ishida, R.; Hattori, M.; Matsuda, T.; Nagai, T. Bioluminescent Ratiometric Indicator for Analysis of Water Hardness in Household Water. Sensors 2020, 20, 3164. https://doi.org/10.3390/s20113164
Hossain MN, Ishida R, Hattori M, Matsuda T, Nagai T. Bioluminescent Ratiometric Indicator for Analysis of Water Hardness in Household Water. Sensors. 2020; 20(11):3164. https://doi.org/10.3390/s20113164
Chicago/Turabian StyleHossain, Md Nadim, Ryuichi Ishida, Mitsuru Hattori, Tomoki Matsuda, and Takeharu Nagai. 2020. "Bioluminescent Ratiometric Indicator for Analysis of Water Hardness in Household Water" Sensors 20, no. 11: 3164. https://doi.org/10.3390/s20113164
APA StyleHossain, M. N., Ishida, R., Hattori, M., Matsuda, T., & Nagai, T. (2020). Bioluminescent Ratiometric Indicator for Analysis of Water Hardness in Household Water. Sensors, 20(11), 3164. https://doi.org/10.3390/s20113164

