A Turn-On Fluorescence-Based Fibre Optic Sensor for the Detection of Mercury
Abstract
1. Introduction
2. Materials and Methods
2.1. General
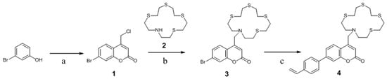
2.2. Synthesis
2.3. Fluorescence Measurements of Free Fluorophore in Solution
2.4. Sensor Probe Fabrication
2.5. Sensor Probe Fabrication
3. Results and Discussion
3.1. Design and Synthesis of the Mercury Sensitive Fluorophore
3.2. Spectral Properties and Fluorescence Response of the Fluorophore to Metal Ions in Solution
3.3. Sensor Probe Fabrication
3.4. Response of the Sensor to Hg2+
3.5. Reusability and Photostability
4. Conclusions
Author Contributions
Funding
Acknowledgments
Conflicts of Interest
References
- Wang, J.X.; Feng, X.B.; Anderson, C.W.N.; Xing, Y.; Shang, L.H. Remediation of mercury contaminated sites―A review. J. Hazard. Mater. 2012, 221, 1–18. [Google Scholar] [CrossRef] [PubMed]
- Holmes, P.; James, K.A.F.; Levy, L.S. Is low-level environmental mercury exposure of concern to human health? Sci. Total Environ. 2009, 408, 171–182. [Google Scholar] [CrossRef]
- Mutter, J.; Naumann, J.; Sadaghiani, C.; Walach, H.; Drasch, G. Amalgam studies: Disregarding basic principles of mercury toxicity. Int. J. Hyg. Environ. Health. 2004, 207, 391–397. [Google Scholar] [CrossRef]
- Houston, M.C. Role of Mercury Toxicity in Hypertension, Cardiovascular Disease, and Stroke. J. Clin. Hypertens. 2011, 13, 621–627. [Google Scholar] [CrossRef] [PubMed]
- Liu, Z.H.; Huan, S.Y.; Jiang, J.H.; Shen, G.L.; Yu, R.Q. Molecularly imprinted TiO2 thin film using stable ground-state complex as template as applied to selective electrochemical determination of mercury. Talanta 2006, 68, 1120–1125. [Google Scholar] [CrossRef]
- Bui, M.P.N.; Brockgreitens, J.; Ahmed, S.; Abbas, A. Dual detection of nitrate and mercury in water using disposable electrochemical sensors. Biosens. Bioelectron. 2016, 85, 280–286. [Google Scholar] [CrossRef]
- Noh, M.F.M.; Tothill, I.E. Determination of Lead(II), Cadmium(II) and Copper(II) in Waste-Water and Soil Extracts on Mercury Film Screen-Printed Carbon Electrodes Sensor. Sains Malays. 2011, 40, 1153–1163. [Google Scholar]
- Nolan, E.M.; Lippard, S.J. Turn-on and ratiometric mercury sensing in water with a red-emitting probe. J. Am. Chem. Soc. 2007, 129, 5910–5918. [Google Scholar] [CrossRef]
- Isaad, J.; El Achari, A. Azathia crown ether possessing a dansyl fluorophore moiety functionalized silica nanoparticles as hybrid material for mercury detection in aqueous medium. Tetrahedron 2013, 69, 4866–4874. [Google Scholar] [CrossRef]
- Aydin, Z.Y.; Wei, Y.B.; Guo, M.L. An “off-on” optical sensor for mercury ion detection in aqueous solution and living cells. Inorg. Chem. Commun. 2014, 50, 84–87. [Google Scholar] [CrossRef]
- Bera, K.; Das, A.K.; Nag, M.; Basak, S. Development of a Rhodamine-Rhodanine-Based Fluorescent Mercury Sensor and Its Use to Monitor Real-Time Uptake and Distribution of Inorganic Mercury in Live Zebrafish Larvae. Anal. Chem. 2014, 86, 2740–2746. [Google Scholar] [CrossRef] [PubMed]
- Dai, H.L.; Xu, H. A water-soluble 1,8-naphthalimide-based ‘turn on’ fluorescent chemosensor for selective and sensitive recognition of mercury ion in water. Bioorg. Med. Chem. Lett. 2011, 21, 5141–5144. [Google Scholar] [CrossRef]
- Hou, C.; Urbanec, A.M.; Cao, H.S. A rapid Hg2+ sensor based on aza-15-crown-5 ether functionalized 1,8-naphthalimide. Tetrahedron Lett. 2011, 52, 4903–4905. [Google Scholar] [CrossRef]
- Kaewtong, C.; Niamsa, N.; Wanno, B.; Morakot, N.; Putpoka, B.; Tuntulani, T. Optical chemosensors for Hg2+ from terthiophene appended rhodamine derivatives: FRET based molecular and in situ hybrid gold nanoparticle sensors. New J. Chem. 2014, 38, 3831–3839. [Google Scholar] [CrossRef]
- Kaewtong, C.; Wanno, B.; Uppa, Y.; Morakot, N.; Pulpoka, B.; Tuntulani, T. Facile synthesis of rhodamine-based highly sensitive and fast responsive colorimetric and off-on fluorescent reversible chemosensors for Hg2+: Preparation of a fluorescent thin film sensor. Dalton Trans. 2011, 40, 12578–12583. [Google Scholar] [CrossRef]
- Tharmaraj, V.; Pitchumani, K. An acyclic, dansyl based colorimetric and fluorescent chemosensor for Hg(II) via twisted intramolecular charge transfer (TICT). Anal. Chim. Acta 2012, 751, 171–175. [Google Scholar] [CrossRef]
- Tian, M.Z.; Liu, L.B.; Li, Y.J.; Hu, R.F.; Liu, T.F.; Liu, H.B.; Wang, S.; Li, Y.L. An unusual OFF-ON fluorescence sensor for detecting mercury ions in aqueous media and living cells. Chem. Commun. 2014, 50, 2055–2057. [Google Scholar] [CrossRef]
- Wang, X.Y.; Zhao, J.J.; Guo, C.X.; Pei, M.S.; Zhang, G.Y. Simple hydrazide-based fluorescent sensors for highly sensitive and selective optical signaling of Cu2+ and Hg2+ in aqueous solution. Sens. Actuator B Chem. 2014, 193, 157–165. [Google Scholar] [CrossRef]
- Yang, R.; Guo, X.F.; Wang, W.; Zhang, Y.; Jia, L.H. Highly Selective and Sensitive Chemosensor for Hg2+ Based on the Naphthalimide Fluorophore. J. Fluores. 2012, 22, 1065–1071. [Google Scholar] [CrossRef]
- Zhang, X.B.; Guo, C.C.; Li, Z.Z.; Shen, G.L.; Yu, R.Q. An optical fiber chemical sensor for mercury ions based on a porphyrin dimer. Anal. Chem. 2002, 74, 821–825. [Google Scholar] [CrossRef]
- Ruan, S.; Ebendorff-Heidepriem, H.; Ruan, Y. Optical fibre turn-on sensor for the detection of mercury based on immobilized fluorophore. Measurement 2018, 121, 122–126. [Google Scholar] [CrossRef]
- Bontidean, L.; Mortari, A.; Leth, S.; Brown, N.L.; Karlson, U.; Larsen, M.M.; Vangronsveld, J.; Corbisier, P.; Csoregi, E. Biosensors for detection of mercury in contaminated soils. Environ. Pollut. 2004, 131, 255–262. [Google Scholar] [CrossRef]
- Ivask, A.; Virta, M.; Kahru, A. Construction and use of specific luminescent recombinant bacterial sensors for the assessment of bioavailable fraction of cadmium, zinc, mercury and chromium in the soil. Soil Biol. Biochem. 2002, 34, 1439–1447. [Google Scholar] [CrossRef]
- Grattan, K.T.V.; Meggitt, B.T. Chemical and Environmental Sensing; Kluwer Academic Publishers: London, UK, 1999; Vol. 4. [Google Scholar]
- Dai, H.J.; Liu, F.; Gao, Q.Q.; Fu, T.H.; Kou, X.M. A highly selective fluorescent sensor for mercury ion (II) based on azathia-crown ether possessing a dansyl moiety. Luminescence 2011, 26, 523–530. [Google Scholar] [CrossRef]
- Eaton, D.F. Reference materials for fluorescence measurement. Pure Appl. Chem. 1988, 60, 1107–1114. [Google Scholar] [CrossRef]
- Birks, J.B. Fluorescence quantum yield measurements. J. Res. Nat. Bur. Stand. Sect. A 1976, 80, 389–399. [Google Scholar] [CrossRef]
- Huang, C.Y. Determination of binding stoichiometry by the continuous variation method―The Job plot. Methods Enzymol. 1982, 87, 509–525. [Google Scholar]
- Eggeling, C.; Widengren, J.; Rigler, R.; Seidel, C.A.M. Photobleaching of fluorescent dyes under conditions used for single-molecule detection: Evidence of two-step photolysis. Anal. Chem. 1998, 70, 2651–2659. [Google Scholar] [CrossRef]
- Drexhage, K.H. Fluorescence efficiency of laser-dyes. J. Res. Nat. Bur. Stand. Sect. A 1976, 80, 421–428. [Google Scholar] [CrossRef]
- Liu, Z.H.; Liu, J.F.; Chen, T.L. Phenol red immobilized PVA membrane for an optical pH sensor with two determination ranges and long-term stability. Sens. Actuators B Chem. 2005, 107, 311–316. [Google Scholar] [CrossRef]
- Thordarson, P. Determining association constants from titration experiments in supramolecular chemistry. Chem. Soc. Rev. 2011, 40, 1305–1323. [Google Scholar] [CrossRef]
- Nguyen, T.H.; Venugopalan, T.; Sun, T.; Grattan, K.T.V. Intrinsic Fiber Optic pH Sensor for Measurement of pH Values in the Range of 0.5‒6. IEEE Sens. J. 2016, 16, 881–887. [Google Scholar] [CrossRef]
- Wulff, G. Molecular Imprinting in Cross-Linked Materials with the Aid of Molecular Templates―A Way towards Artificial Antibodies. Angew. Chem. Int. Ed. 1995, 34, 1812–1832. [Google Scholar] [CrossRef]
- Haupt, K.; Mosbach, K. Molecularly Imprinted Polymers and their use in biomimetic sensors. Chem. Rev. 2000, 100, 2495–2504. [Google Scholar] [CrossRef]
- Branger, C.; Meouche, W.; Margaillan, A. Recent advances on ion-imprinted polymers. React. Funct. Polym. 2013, 73, 859–875. [Google Scholar] [CrossRef]
- Revis, N.W.; Osborne, T.R.; Holdsworth, G.; Hadden, C. Mercury in Soil—A Method for assessing Acceptable Limits. Arch. Environ. Contam. Toxicol. 1990, 19, 221–226. [Google Scholar] [CrossRef]
- Bashor, B.S.; Turri, P.A. A Method for Determining an Allowable Concentration of Mercury in Soil. Arch. Environ. Contam. Toxicol. 1986, 15, 435–438. [Google Scholar] [CrossRef]
- Gray, J.E.; Theodorakos, P.M.; Fey, D.L.; Krabbenhoft, D.P. Mercury concentrations and distribution in soil, water, mine waste leachates, and air in and around mercury mines in the Big Bend region, Texas, USA. Environ. Geochem. Health 2015, 37, 35–48. [Google Scholar] [CrossRef]
- Dodani, S.C.; He, Q.W.; Chang, C.J. A Turn-On Fluorescent Sensor for Detecting Nickel in Living Cells. J. Am. Chem. Soc. 2009, 131, 18020–18021. [Google Scholar] [CrossRef]
- Xia, S.; Shen, J.J.; Wang, J.B.; Wang, H.L.; Fang, M.X.; Zhou, H.W.; Tanasova, M. Ratiometric fluorescent and colorimetric BODIPY-based sensor for zinc ions in solution and living cells. Sens. Actuator B Chem. 2018, 258, 1279–1286. [Google Scholar] [CrossRef]
- Vasylevska, A.S.; Karasyov, A.A.; Borisov, S.M.; Krause, C. Novel coumarin-based fluorescent pH indicators, probes and membranes covering a broad pH range. Anal. Bioanal. Chem. 2007, 387, 2131–2141. [Google Scholar] [CrossRef]










© 2019 by the authors. Licensee MDPI, Basel, Switzerland. This article is an open access article distributed under the terms and conditions of the Creative Commons Attribution (CC BY) license (http://creativecommons.org/licenses/by/4.0/).
Share and Cite
Nguyen, T.H.; Sun, T.; Grattan, K.T.V. A Turn-On Fluorescence-Based Fibre Optic Sensor for the Detection of Mercury. Sensors 2019, 19, 2142. https://doi.org/10.3390/s19092142
Nguyen TH, Sun T, Grattan KTV. A Turn-On Fluorescence-Based Fibre Optic Sensor for the Detection of Mercury. Sensors. 2019; 19(9):2142. https://doi.org/10.3390/s19092142
Chicago/Turabian StyleNguyen, T. Hien, Tong Sun, and Kenneth T. V. Grattan. 2019. "A Turn-On Fluorescence-Based Fibre Optic Sensor for the Detection of Mercury" Sensors 19, no. 9: 2142. https://doi.org/10.3390/s19092142
APA StyleNguyen, T. H., Sun, T., & Grattan, K. T. V. (2019). A Turn-On Fluorescence-Based Fibre Optic Sensor for the Detection of Mercury. Sensors, 19(9), 2142. https://doi.org/10.3390/s19092142
