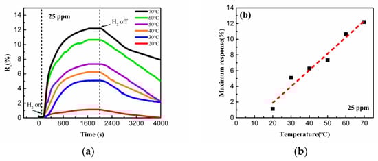
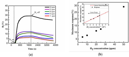
Flexible and Highly Sensitive Hydrogen Sensor Based on Organic Nanofibers Decorated by Pd Nanoparticles
Jiang, H.; Yu, Y.; Zhang, L.; Zhu, J.; Zhao, X.; Zhang, W. Flexible and Highly Sensitive Hydrogen Sensor Based on Organic Nanofibers Decorated by Pd Nanoparticles. Sensors 2019, 19, 1290. https://doi.org/10.3390/s19061290
Jiang H, Yu Y, Zhang L, Zhu J, Zhao X, Zhang W. Flexible and Highly Sensitive Hydrogen Sensor Based on Organic Nanofibers Decorated by Pd Nanoparticles. Sensors. 2019; 19(6):1290. https://doi.org/10.3390/s19061290
Chicago/Turabian StyleJiang, Hongchuan, Yibing Yu, Luying Zhang, Jun Zhu, Xiaohui Zhao, and Wanli Zhang. 2019. "Flexible and Highly Sensitive Hydrogen Sensor Based on Organic Nanofibers Decorated by Pd Nanoparticles" Sensors 19, no. 6: 1290. https://doi.org/10.3390/s19061290


