Reduction of Artefacts in JPEG-XR Compressed Images
Abstract
1. Introduction
2. Chequerboard, Border and Corner Block Artefacts
- lossy quantization (QP > 1)
- the use of POT (L > 0)
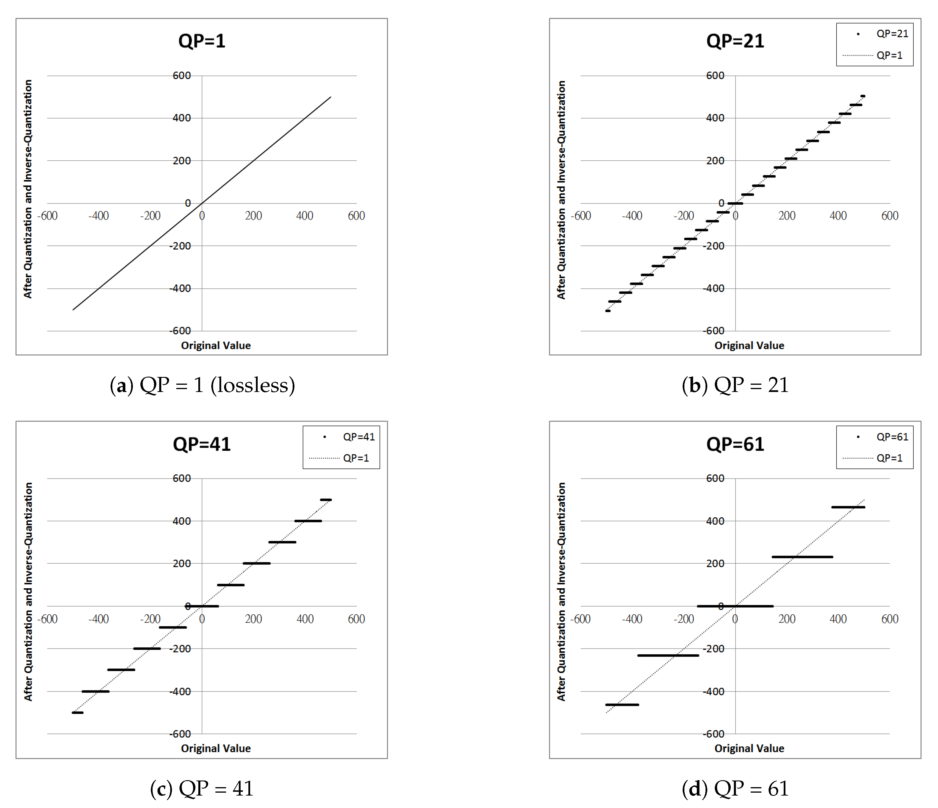
2.1. Lossy Quantization and Irreversibility
2.2. POT
- The 4 × 4 POT causes chequerboard artefacts
- The 4 × 1 POT causes border artefacts
- The four corners without POT application causes corner artefacts
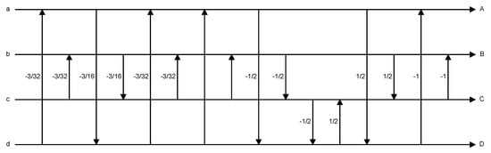
2.3. The 4 × 4 POT: Chequerboard Block Artefacts
- Hadamard transform stage:
- (a)
- (b)
- (c)
- (d)
- Scaling stage:
- (a)
- (b)
- (c)
- (d)
- Rotation stage:
- (a)
- (b)
- (c)
- (d)
- (e)
- Hadamard transform stage:
- (a)
- (b)
- (c)
- (d)
2.4. The 4 × 1 POT: Border Artefacts
2.5. Corner Artefacts
3. Improvement
3.1. Improvement of 4 × 4 POT
3.2. Improvement of 4 × 1 POT
3.3. Improvement of Corner Artefacts (2 × 2 POT)
4. Experimental Results
5. Conclusions
Author Contributions
Funding
Conflicts of Interest
References
- Chuman, T.; Sirichotedumrong, W.; Kiya, H. Encryption-then-compression systems using greyscale-based image encryption for jpeg images. IEEE Trans. Inf. Forensics Secur. 2019, 14, 1515–1525. [Google Scholar] [CrossRef]
- Schelkens, P.; Ebrahimi, T.; Gilles, A.; Gioia, P.; Oh, K.J.; Pereira, F.; Perra, C.; Pinheiro, A.M. JPEG Pleno: Providing representation interoperability for holographic applications and devices. ETRI J. 2019, 41, 93–108. [Google Scholar] [CrossRef]
- Zhang, X.; Lin, W.; Wang, S.; Liu, J.; Ma, S.; Gao, W. Fine-grained quality assessment for compressed images. IEEE Trans. Image Process. 2019, 28, 1163–1175. [Google Scholar] [CrossRef] [PubMed]
- Mhamdi, M.; Zribi, A.; Perrine, C.; Pousset, Y. Efficient multiple concatenated codes with turbo-like decoding for UEP wireless transmission of scalable JPEG 2000 images. IEEE Access 2019, 7, 6327–6336. [Google Scholar] [CrossRef]
- Yao, Y.; Hu, W.; Zhang, W.; Wu, T.; Shi, Y.Q. Distinguishing computer-generated graphics from natural images based on sensor pattern noise and deep learning. Sensors 2018, 18, 1296. [Google Scholar] [CrossRef] [PubMed]
- Li, R.; Duan, X.; Li, X.; He, W.; Li, Y. An energy-efficient compressive image coding for green internet of things (IoT). Sensors 2018, 18, 1231. [Google Scholar] [CrossRef] [PubMed]
- Ablinger, V.; Zenz, C.; Hammerle-Uhl, J.; Uhl, A. Compression standards in finger vein recognition. In Proceedings of the 2016 International Conference on Biometrics (ICB), Halmstad, Sweden, 13–16 June 2016; pp. 1–7. [Google Scholar]
- Liu, Y.; Xiong, Z.; Lu, L.; Hohl, D. Fast SNR and rate control for JPEG XR. In Proceedings of the 2016 10th International Conference on Signal Processing and Communication Systems (ICSPCS), Gold Coast, QLD, Australia, 19–21 December 2016; pp. 1–7. [Google Scholar] [CrossRef]
- Li, L.; Zhou, Y.; Lin, W.; Wu, J.; Zhang, X.; Chen, B. No-reference quality assessment of deblocked images. Neurocomputing 2016, 177, 572–584. [Google Scholar] [CrossRef]
- Zhan, Y.; Zhang, R. No-reference JPEG image quality assessment based on blockiness and luminance change. IEEE Signal Process. Lett. 2017, 24, 760–764. [Google Scholar] [CrossRef]
- Chen, H.; He, X.; An, C.; Nguyen, T.Q. Deep wide-activated residual network based joint blocking and color bleeding artefacts reduction for 4:2:0 JPEG-compressed images. IEEE Signal Process. Lett. 2019, 26, 79–83. [Google Scholar] [CrossRef]
- Nafchi, H.Z.; Shahkolaei, A.; Hedjam, R.; Cheriet, M. MUG: A parameterless no-reference JPEG quality evaluator robust to block size and misalignment. IEEE Signal Process. Lett. 2016, 23, 1577–1581. [Google Scholar] [CrossRef]
- Lakhani, G. Modifying JPEG binary arithmetic codec for exploiting inter/intra-block and DCT coefficient sign redundancies. IEEE Trans. Image Process. 2013, 22, 1326–1339. [Google Scholar] [CrossRef] [PubMed]
- Ozturk, E.; Mesut, A.; Carus, A. Performance comparison of JPEG, JPEG2000 JPEG XR image compression standards. In Proceedings of the 2016 24th Signal Processing and Communication Application Conference (SIU), Onguldak, Turkey, 16–19 May 2016; pp. 201–204. [Google Scholar] [CrossRef]
- Chen, H.; Guo, X.; Zhang, Y. Implementation of onboard JPEG XR compression on a low clock frequency FPGA. In Proceedings of the 2016 IEEE International Geoscience and Remote Sensing Symposium (IGARSS), Beijing, China, 10–15 July 2016; pp. 2811–2814. [Google Scholar] [CrossRef]
- Golestaneh, S.A.; Chandler, D.M. No-reference quality assessment of JPEG images via a quality relevance map. IEEE Signal Process. Lett. 2014, 21, 155–158. [Google Scholar] [CrossRef]
- Liu, X.; Cheung, G.; Wu, X.; Zhao, D. Random walk graph laplacian-based smoothness prior for soft decoding of JPEG images. IEEE Trans. Image Process. 2017, 26, 509–524. [Google Scholar] [CrossRef] [PubMed]
- Srinivasan, S.; Tu, C.; Regunathan, S.L.; Sullivan, G.J. HD Photo: A new image coding technology for digital photography. In Proceedings of the SPIE Applications of Digital Image Processing XXX, San Diego, CA, USA, 26–30 August 2007; International Society for Optics and Photonic: Bellingham, WA, USA, 2007; Volume 6696, p. 66960A. [Google Scholar]
- Huang, W.H.; Chen, Y.Y.; Lin, P.Y.; Hsu, C.H.; Hua, K.L. Efficient and accurate document image classification algorithms for low-end copy pipelines. EURASIP J. Image Video Process. 2016, 2016, 32. [Google Scholar] [CrossRef]
- Dong, X.; Hua, K.L.; Majewicz, P.; McNutt, G.; Bouman, C.A.; Allebach, J.P.; Pollak, I. Document page classification algorithms in low-end copy pipeline. J. Electron. Imaging 2008, 17, 043011. [Google Scholar] [CrossRef]
- Yu, H.; Chen, S.; Chen, Y.; Liu, H. Joint reconstruction of dynamic PET activity and kinetic parametric images using total variation constrained dictionary sparse coding. Inverse Probl. 2017, 33, 055011. [Google Scholar] [CrossRef]
- Wang, L.; Zhang, H.; Wong, K.C.; Liu, H.; Shi, P. Physiological-model-constrained noninvasive reconstruction of volumetric myocardial transmembrane potentials. IEEE Trans. Biomed. Eng. 2010, 57, 296–315. [Google Scholar] [CrossRef] [PubMed]
- Wang, L.; Wong, K.C.; Zhang, H.; Liu, H.; Shi, P. Noninvasive computational imaging of cardiac electrophysiology for 3-D infarct. IEEE Trans. Biomed. Eng. 2011, 58, 1033–1043. [Google Scholar] [CrossRef] [PubMed]
- Tu, C.; Srinivasan, S.; Sullivan, G.J.; Regunathan, S.; Malvar, H.S. Low-complexity hierarchical lapped transform for lossy-to-lossless image coding in JPEG XR/HD Photo. In Proceedings of the Applications of Digital Image Processing XXXI, San Diego, CA, USA, 10–14 August 2008; International Society for Optics and Photonic: Bellingham, WA, USA, 2008; Volume 7073, p. 70730C. [Google Scholar]
- Sweldens, W. The Lifting Scheme: A new philosophy in biorthogonal wavelet constructions. In Proceedings of the SPIE Wavelet Applications in Signal and Image Processing III, San Diego, CA, USA, 9–14 July 1995; International Society for Optics and Photonic: Bellingham, WA, USA, 1995; Volume 2569, pp. 68–79. [Google Scholar]
- Corp, M. HD Photo Device Porting Kit 1.0. Available online: https://docs.microsoft.com/en-us/previous-versions/windows/hardware/download/dn550976(v=vs.85) (accessed on 1 January 2019).
- Sweldens, W. The lifting scheme: A construction of second generation wavelets. SIAM Jo. Math. Anal. 1997, 29, 511–546. [Google Scholar] [CrossRef]
- Wang, Z.; Bovik, A.C.; Sheikh, H.R.; Simoncelli, E.P. Image quality assessment: From error visibility to structural similarity. IEEE Trans. Image Process. 2004, 13, 600–612. [Google Scholar] [CrossRef] [PubMed]
- Wang, Z.; Bovik, A.C.; Sheikh, H.R.; Simoncelli, E.P. The SSIM Index for Image Quality Assessment. Available online: https://ece.uwaterloo.ca/ z70wang/research/ssim/ (accessed on 1 January 2019).
- The Academy of Motion Picture Arts and Sciences. The 84th Academy Awards Poster. Available online: https://www.imdb.com/title/tt2089826/mediaviewer/rm94416896 (accessed on 1 January 2019).
- Gallaway, J. James Joyce (Sketch From a Famous Photo of James Joyce). Available online: http://www.flickr.com/photos/63923085@N00/2304643567 (accessed on 1 January 2019).































© 2019 by the authors. Licensee MDPI, Basel, Switzerland. This article is an open access article distributed under the terms and conditions of the Creative Commons Attribution (CC BY) license (http://creativecommons.org/licenses/by/4.0/).
Share and Cite
Hua, K.-L.; Trang, H.T.; Srinivasan, K.; Chen, Y.-Y.; Chen, C.-H.; Sharma, V.; Zomaya, A.Y. Reduction of Artefacts in JPEG-XR Compressed Images. Sensors 2019, 19, 1214. https://doi.org/10.3390/s19051214
Hua K-L, Trang HT, Srinivasan K, Chen Y-Y, Chen C-H, Sharma V, Zomaya AY. Reduction of Artefacts in JPEG-XR Compressed Images. Sensors. 2019; 19(5):1214. https://doi.org/10.3390/s19051214
Chicago/Turabian StyleHua, Kai-Lung, Ho Thi Trang, Kathiravan Srinivasan, Yung-Yao Chen, Chun-Hao Chen, Vishal Sharma, and Albert Y. Zomaya. 2019. "Reduction of Artefacts in JPEG-XR Compressed Images" Sensors 19, no. 5: 1214. https://doi.org/10.3390/s19051214
APA StyleHua, K.-L., Trang, H. T., Srinivasan, K., Chen, Y.-Y., Chen, C.-H., Sharma, V., & Zomaya, A. Y. (2019). Reduction of Artefacts in JPEG-XR Compressed Images. Sensors, 19(5), 1214. https://doi.org/10.3390/s19051214

