Artificial Intelligence-Assisted Heating Ventilation and Air Conditioning Control and the Unmet Demand for Sensors: Part 1. Problem Formulation and the Hypothesis
Abstract
1. Introduction
2. AI Developments and the Applications for HVAC Systems
2.1. Study Case
2.2. Developed AI Tools
2.3. AI Applications for HVAC Systems
3. Theoretical Analysis of AI Assisted HVAC Control
3.1. Typical HVAC Control
3.2. AI-Assisted HVAC Control
3.3. Control Performance Index
4. Results and Discussions
5. Conclusions
- (1)
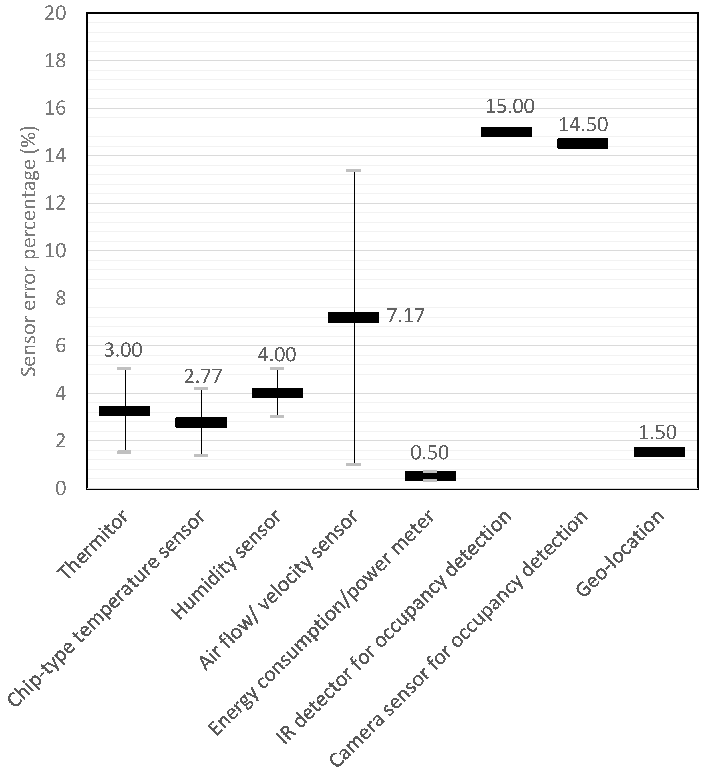
- If the prediction/forecast accuracy could reach 3.5%, which approaches the thresholds of weather forecast accuracy and the accuracies of several types of sensors, including the thermistor, chip type temperature sensor, and humidity sensor, the performance of AI-assisted HVAC control will be enhanced. When compared with the On–Off and PID control strategies, the performance of the AI-assisted HVAC control had an increase of 57.0% and 44.64%, respectively. The increased energy saving percentages are above the average, and even above the maximum energy savings that were found in any of the published articles from 1997 to 2018.
- (2)
- In this study, the lower accuracy of the prediction tools and the resulting poor energy savings of HVAC systems are hypothesized. This hypothesis is from the collected articles, and forms the qualitative research in this paper. In the future, based on the hypothesis, the performance improvement of AI-assisted HVAC control will depend on the prediction accuracy of the sensors, which will be evidenced through the numerical simulation in Part 2 and the confirming experiments in Part 3.
- (3)
- The existing sensors are designed for accurate sensing, but not for accurate prediction, and this causes an unmet demand of the sensors. Improved sensors for AI-assisted HVAC controls should be able to provide the ability of more accurate prediction. Based on Bayes’ theorem, accurate prediction depends on the conditional probability. The priori probability can be utilized to determine the posterior possibility, and the consistent prediction can be achieved by aggregation. The priori information notice (PIN) design for sensors are provided in this study to decrease the prediction errors to as low as 3.5% or less. The details of the PIN sensor will be discussed in Part 2 of the serial research.
Author Contributions
Funding
Conflicts of Interest
References
- Shukla, A.; Sharma, A. Sustainability through Energy-Efficient Buildings; CRC Press: Boca Raton, FL, USA, 2018; ISBN 9781138066755. [Google Scholar]
- Martinopoulos, G.; Serasidou, A.; Antoniadou, P.; Papadopoulos, A.M. Building Integrated Shading and Building Applied Photovoltaic System Assessment in the Energy Performance and Thermal Comfort of Office Buildings. Sustainability 2018, 10, 4670. [Google Scholar] [CrossRef]
- Martinopoulos, G.; Papakostas, K.T.; Papadopoulos, A.M. A comparative review of heating systems in EU countries, based on efficiency and fuel cost. Renew. Sustain. Energy Rev. 2018, 90, 687–699. [Google Scholar] [CrossRef]
- Yang, L.; Yan, H.; Lam, J.C. Thermal comfort and building energy consumption implications—A review. Appl. Energy 2014, 115, 164–173. [Google Scholar] [CrossRef]
- Belic, F.; Hocenski, Z.; Sliskovic, D. HVAC Control Methods—A review. In Proceedings of the 19th International Conference on System Theory, Control and Computing (ICSTCC), Cheile Gradistei, Romania, 14–16 October 2015; pp. 679–686. [Google Scholar]
- WikipediaArtificial Intelligence. Available online: https://en.wikipedia.org/wiki/Artificial_intelligence_1 (accessed on 6 November 2018).
- Swartz, M.K. A look back at research synthesis. J. Pediatr. Heal. Care 2010, 24, 355. [Google Scholar] [CrossRef] [PubMed]
- Lee, D.; Cheng, C.-C. Energy savings by energy management systems: A review. Renew. Sustain. Energy Rev. 2016, 56, 760–777. [Google Scholar] [CrossRef]
- Chen, S.H.; Jakeman, A.J.; Norton, J.P. Artificial Intelligence techniques: An introduction to their use for modelling environmental systems. Math. Comput. Simul. 2008, 78, 379–400. [Google Scholar] [CrossRef]
- Bann, J.J.; Irisarri, G.D.; Mokhtari, S.; Kirschen, D.S.; Miller, B.N. Integrating AI applications in an energy management system. IEEE Expert 1997, 12, 53–59. [Google Scholar] [CrossRef]
- Clark, G.; Mehta, P. Artificial intelligence and networking in integrated building management systems. Autom. Constr. 1997, 6, 481–498. [Google Scholar] [CrossRef]
- Sigrimis, N.; Anastasiou, A.; Vogli, V. An open system for the management and control of greenhouses. In Proceedings of the IFAC Proceedings Volumes; Elsevier: Amsterdam, The Netherlands, 1998; Volume 31, pp. 67–72. [Google Scholar]
- Lara-Rosano, F.; Valverde, N.K. Knowledge-based systems for energy conservation programs. Expert Syst. Appl. 1998, 14, 25–35. [Google Scholar] [CrossRef]
- Wang, S.; Jin, X. Model-based optimal control of VAV air-conditioning system using genetic algorithm. Build. Environ. 2000, 35, 471–487. [Google Scholar] [CrossRef]
- Kalogirou, S.; Florides, G.; Neocleous, C.; Schizas, C. Estimation of daily heating and cooling loads using artificial Neural Networks. In Proceedings of the CLIMA 2000 International Conference, Naples, Italy, 15–18 September 2001; pp. 1–11. [Google Scholar]
- Kalogirou, S.A. Artificial neural networks in renewable energy systems applications: A review. Renew. Sustain. Energy Rev. 2001, 5, 373–401. [Google Scholar] [CrossRef]
- Kummert, M.; André, P.; Nicolas, J. Optimal heating control in a passive solar commercial building. Sol. Energy 2000, 69, 103–116. [Google Scholar] [CrossRef]
- Intille, S.S. Designing a home of the future. IEEE Pervasive Comput. 2002, 1, 76–82. [Google Scholar] [CrossRef]
- Mihalakakou, G.; Santamouris, M.; Tsangrassoulis, A. On the energy consumption in residential buildings. Energy Build. 2002, 34, 727–736. [Google Scholar] [CrossRef]
- Penya, Y.K. Last-generation applied artificial intelligence for energy management in building automation. In Proceedings of the IFAC Proceedings Volumes; Elsevier: Amsterdam, The Netherlands, 2003; Volume 36, pp. 73–77. [Google Scholar]
- Kolokotsa, D. Comparison of the performance of fuzzy controllers for the management of the indoor environment. Build. Environ. 2003, 38, 1439–1450. [Google Scholar] [CrossRef]
- Yang, I.H.; Yeo, M.S.; Kim, K.W. Application of artificial neural network to predict the optimal start time for heating system in building. Energy Convers. Manag. 2003, 44, 2791–2809. [Google Scholar] [CrossRef]
- Liao, G.C.; Tsao, T.P. Application of fuzzy neural networks and artificial intelligence for load forecasting. Electr. Power Syst. Res. 2004, 70, 237–244. [Google Scholar] [CrossRef]
- Yang, J.; Rivard, H.; Zmeureanu, R. On-line building energy prediction using adaptive artificial neural networks. Energy Build. 2005, 37, 1250–1259. [Google Scholar] [CrossRef]
- Wong, J.K.W.; Li, H.; Wang, S.W. Intelligent building research: A review. Autom. Constr. 2005, 14, 143–159. [Google Scholar] [CrossRef]
- Mozer, M. The adaptive house. In Proceedings of the the IEE Seminar on Intelligent Building Environments, Colchester, UK, 28 June 2005; pp. 39–79. [Google Scholar]
- González, P.A.; Zamarreño, J.M. Prediction of hourly energy consumption in buildings based on a feedback artificial neural network. Energy Build. 2005, 37, 595–601. [Google Scholar] [CrossRef]
- Dong, B.; Cao, C.; Lee, S.E. Applying support vector machines to predict building energy consumption in tropical region. Energy Build. 2005, 37, 545–553. [Google Scholar] [CrossRef]
- Yao, R.; Steemers, K. A method of formulating energy load profile for domestic buildings in the UK. Energy Build. 2005, 37, 663–671. [Google Scholar] [CrossRef]
- Abbas, S.R.; Arif, M. Electric load forecasting using support vector machines optimized by genetic algorithm. In Proceedings of the 2006 IEEE International Multitopic Conference, Islamabad, Pakistan, 23–24 December 2006; pp. 395–399. [Google Scholar]
- Hadjiski, M.; Sgurev, V.; Boishina, V. Multi agent intelligent control of centralized HVAC systems. In Proceedings of the IFAC Proceedings Volumes; IFAC: New York, NY, USA, 2006; pp. 195–200. [Google Scholar]
- Terziyska, M.; Todorov, Y.; Petrov, M. Fuzzy-Neural model predictive control of a building heating system. In Proceedings of the IFAC Proceedings Volumes; IFAC: New York, NY, USA, 2006; Volume 39, pp. 69–74. [Google Scholar]
- Kolokotsa, D.; Saridakis, G.; Pouliezos, A.; Stavrakakis, G.S. Design and installation of an advanced EIBTM fuzzy indoor comfort controller using MatlabTM. Energy Build. 2006, 38, 1084–1092. [Google Scholar] [CrossRef]
- Hou, Z.; Lian, Z.; Yao, Y.; Yuan, X. Cooling-load prediction by the combination of rough set theory and an artificial neural-network based on data-fusion technique. Appl. Energy 2006, 83, 1033–1046. [Google Scholar] [CrossRef]
- Subbaraj, P.; Rajasekaran, V. Short term hourly load forecasting using combined artificial Neural Networks. In Proceedings of the International Conference on Computational Intelligence and Multimedia Applications (ICCIMA 2007), Sivakasi, Tamil Nadu, India, 13–15 December 2007; pp. 155–163. [Google Scholar]
- Dalamagkidis, K.; Kolokotsa, D.; Kalaitzakis, K.; Stavrakakis, G.S. Reinforcement learning for energy conservation and comfort in buildings. Build. Environ. 2007, 42, 2686–2698. [Google Scholar] [CrossRef]
- Neto, A.H.; Fiorelli, F.A.S. Comparison between detailed model simulation and artificial neural network for forecasting building energy consumption. Energy Build. 2008, 40, 2169–2176. [Google Scholar] [CrossRef]
- Catalina, T.; Virgone, J.; Blanco, E. Development and validation of regression models to predict monthly heating demand for residential buildings. Energy Build. 2008, 40, 1825–1832. [Google Scholar] [CrossRef]
- Kato, K.; Sakawa, M.; Ishimaru, K.; Ushiro, S.; Shibano, T. Heat load prediction through recurrent neural network in district heating and cooling systems. In Proceedings of the 2008 IEEE International Conference on Systems, Man and Cybernetics, Singapore, 12–15 October 2008; pp. 1401–1406. [Google Scholar]
- Smith, B.A.; Hoogenboom, G.; McClendon, R.W. Artificial neural networks for automated year-round temperature prediction. Comput. Electron. Agric. 2009, 68, 52–61. [Google Scholar] [CrossRef]
- Gao, M.; Sun, F.; Zhou, S.; Shi, Y.; Zhao, Y.; Wang, N. Performance prediction of wet cooling tower using artificial neural network under cross-wind conditions. Int. J. Therm. Sci. 2009, 48, 583–589. [Google Scholar] [CrossRef]
- Huang, G.; Wang, S.; Xu, X. A robust model predictive control strategy for improving the control performance of air-conditioning systems. Energy Convers. Manag. 2009, 50, 2650–2658. [Google Scholar] [CrossRef]
- Kofler, M.J.; Kastner, W. A knowledge base for energy-efficient smart homes. In Proceedings of the 2010 IEEE International Energy Conference and Exhibition, Manama, Bahrain, 18–22 December 2010; pp. 85–90. [Google Scholar]
- Li, M.; Ren, Q. Optimization for the Chilled Water System of HVAC Systems in an Intelligent Building. In Proceedings of the 2010 International Conference on Computational and Information Sciences, Chengdu, China, 17–19 December 2010; pp. 889–891. [Google Scholar]
- Vale, Z.A.; Morais, H.; Khodr, H. Intelligent multi-player smart grid management considering distributed energy resources and demand response. In Proceedings of the IEEE PES General Meeting, PES 2010, Providence, RI, USA, 25–29 July 2010; pp. 1–7. [Google Scholar]
- Kolokotsa, D.; Saridakis, G.; Dalamagkidis, K.; Dolianitis, S.; Kaliakatsos, I. Development of an intelligent indoor environment and energy management system for greenhouses. Energy Convers. Manag. 2010, 51, 155–168. [Google Scholar] [CrossRef]
- Dombayci, Ö.A. The prediction of heating energy consumption in a model house by using artificial neural networks in Denizli-Turkey. Adv. Eng. Softw. 2010, 41, 141–147. [Google Scholar] [CrossRef]
- Girardin, L.; Marechal, F.; Dubuis, M.; Calame-Darbellay, N.; Favrat, D. EnerGis: A geographical information based system for the evaluation of integrated energy conversion systems in urban areas. Energy 2010, 35, 830–840. [Google Scholar] [CrossRef]
- Qela, B.; Mouftah, H. An adaptable system for energy management in intelligent buildings. In Proceedings of the IEEE International Conference on Computational Intelligence for Measurement Systems and Applications Proceedings, Ottawa, ON, Canada, 19–21 September 2011; pp. 1–7. [Google Scholar]
- Paris, B.; Eynard, J.; Grieu, S.; Polit, M. Hybrid PID-fuzzy control scheme for managing energy resources in buildings. Appl. Soft Comput. 2011, 11, 5068–5080. [Google Scholar] [CrossRef]
- Kiran, T.R.; Rajput, S.P.S. An effectiveness model for an indirect evaporative cooling (IEC) system: Comparison of artificial neural networks (ANN), adaptive neuro-fuzzy inference system (ANFIS) and fuzzy inference system (FIS) approach. Appl. Soft Comput. 2011, 11, 3525–3533. [Google Scholar] [CrossRef]
- Moon, J.W.; Jung, S.K.; Kim, Y.; Han, S.H. Comparative study of artificial intelligence-based building thermal control methods—Application of fuzzy, adaptive neuro-fuzzy inference system, and artificial neural network. Appl. Therm. Eng. 2011, 31, 2422–2429. [Google Scholar] [CrossRef]
- Eynard, J.; Grieu, S.; Polit, M. Wavelet-based multi-resolution analysis and artificial neural networks for forecasting temperature and thermal power consumption. Eng. Appl. Artif. Intell. 2011, 24, 501–516. [Google Scholar] [CrossRef]
- Jahedi, G.; Ardehali, M.M. Genetic algorithm-based fuzzy-pid control methodologies for enhancement of energy efficiency of a dynamic energy system. Energy Convers. Manag. 2011, 52, 725–732. [Google Scholar] [CrossRef]
- Ahmed, A.; Korres, N.E.; Ploennigs, J.; Elhadi, H.; Menzel, K. Mining building performance data for energy-efficient operation. Adv. Eng. Inform. 2011, 25, 341–354. [Google Scholar] [CrossRef]
- Wan, K.K.W.; Li, D.H.W.; Liu, D.; Lam, J.C. Future trends of building heating and cooling loads and energy consumption in different climates. Build. Environ. 2011, 46, 223–234. [Google Scholar] [CrossRef]
- Kim, J.; Cho, W.-H.; Jeong, Y.; Song, O. Intelligent energy management system for smart offices. In Proceedings of the 2012 IEEE International Conference on Consumer Electronics (ICCE), Las Vegas, NV, USA, 13–16 January 2012; pp. 668–669. [Google Scholar]
- Byun, J.; Kim, Y.; Hwang, Z.; Park, S. An intelligent cloud-based energy management system using machine to machine communications in future energy environments. In Proceedings of the 2012 IEEE International Conference on Consumer Electronics (ICCE), Las Vegas, NV, USA, 13–16 January 2012; pp. 664–665. [Google Scholar]
- Huang, H.; Chen, L.; Mohammadzaheri, M.; Hu, E. A new zone temperature predictive modeling for energy saving in buildings. Procedia Eng. 2012, 49, 142–151. [Google Scholar] [CrossRef]
- Marvuglia, A.; Messineo, A. Using recurrent artificial neural networks to forecast household electricity consumption. Energy Procedia 2012, 14, 45–55. [Google Scholar] [CrossRef]
- Ferreira, P.M.; Silva, S.M.; Ruano, A.E. Model based predictive control of HVAC systems for human thermal comfort and energy consumption minimisation. IFAC Proc. Vol. 2012, 45, 236–241. [Google Scholar] [CrossRef]
- Klein, L.; Kwak, J.Y.; Kavulya, G.; Jazizadeh, F.; Becerik-Gerber, B.; Varakantham, P.; Tambe, M. Coordinating occupant behavior for building energy and comfort management using multi-agent systems. Autom. Constr. 2012, 22, 525–536. [Google Scholar] [CrossRef]
- Čongradac, V.; Kulić, F. Recognition of the importance of using artificial neural networks and genetic algorithms to optimize chiller operation. Energy Build. 2012, 47, 651–658. [Google Scholar] [CrossRef]
- Jahedi, G.; Ardehali, M.M. Wavelet based artificial neural network applied for energy efficiency enhancement of decoupled HVAC system. Energy Convers. Manag. 2012, 54, 47–56. [Google Scholar] [CrossRef]
- Yun, K.; Luck, R.; Mago, P.J.; Cho, H. Building hourly thermal load prediction using an indexed ARX model. Energy Build. 2012, 54, 225–233. [Google Scholar] [CrossRef]
- Wim, Z.; Timilehin, L.; Kennedy, A. Towards multi-agent systems in building automation and control for improved occupant comfort and energy efficiency—State of the art, challenges. In Proceedings of the 2013 Fourth International Conference on Intelligent Systems Design and Engineering Applications, Zhangjiajie, China, 6–7 November 2013; pp. 718–722. [Google Scholar]
- Ciabattoni, L.; Grisostomi, M.; Ippoliti, G.; Longhi, S. Neural networks based home energy management system in residential PV scenario. In Proceedings of the 2013 IEEE 39th Photovoltaic Specialists Conference, Tampa, FL, USA, 16–21 June 2013; pp. 1721–1726. [Google Scholar]
- Ciabattoni, L.; Ippoliti, G.; Benini, A.; Longhi, S.; Pirro, M. Design of a home energy management system by online neural networks. IFAC Proc. Vol. 2013, 46, 677–682. [Google Scholar] [CrossRef]
- Fernandes, F.; Morais, H.; Faria, P.; Vale, Z.; Ramos, C. SCADA house intelligent management for energy efficiency analysis in domestic consumers. In Proceedings of the 2013 IEEE PES Conference on Innovative Smart Grid Technologies, Sao Paulo, Brazil, 15–17 April 2013; pp. 1–8. [Google Scholar]
- Huang, D.; Thottan, M.; Feather, F. Designing customized energy services based on disaggregation of heating usage. In Proceedings of the 2013 IEEE PES Innovative Smart Grid Technologies Conference, Sao Paulo, Brazil, 15–17 April 2013; pp. 1–6. [Google Scholar]
- Milenkovic, M.; Amft, O. Recognizing energy-related activities using sensors commonly installed in office buildings. Procedia Comput. Sci. 2013, 19, 669–677. [Google Scholar] [CrossRef]
- Yang, R.; Wang, L. Development of multi-agent system for building energy and comfort management based on occupant behaviors. Energy Build. 2013, 56, 1–7. [Google Scholar] [CrossRef]
- Nguyen, T.A.; Aiello, M. Energy intelligent buildings based on user activity: A survey. Energy Build. 2013, 56, 244–257. [Google Scholar] [CrossRef]
- Arabali, A.; Ghofrani, M.; Etezadi-Amoli, M.; Fadali, M.S.; Baghzouz, Y. Genetic-algorithm-based optimization approach for energy management. IEEE Trans. Power Deliv. 2013, 28, 162–170. [Google Scholar] [CrossRef]
- Collotta, M.; Messineo, A.; Nicolosi, G.; Pau, G. A dynamic fuzzy controller to meet thermal comfort by using neural network forecasted parameters as the input. Energies 2014, 7, 4727–4756. [Google Scholar] [CrossRef]
- Mena, R.; Rodríguez, F.; Castilla, M.; Arahal, M.R. A prediction model based on neural networks for the energy consumption of a bioclimatic building. Energy Build. 2014, 82, 142–155. [Google Scholar] [CrossRef]
- Paliwal, P.; Patidar, N.P.; Nema, R.K. Determination of reliability constrained optimal resource mix for an autonomous hybrid power system using Particle Swarm Optimization. Renew. Energy 2014, 63, 194–204. [Google Scholar] [CrossRef]
- Monfet, D.; Corsi, M.; Choinière, D.; Arkhipova, E. Development of an energy prediction tool for commercial buildings using case-based reasoning. Energy Build. 2014, 81, 152–160. [Google Scholar] [CrossRef]
- Chou, J.S.; Bui, D.K. Modeling heating and cooling loads by artificial intelligence for energy-efficient building design. Energy Build. 2014, 82, 437–446. [Google Scholar] [CrossRef]
- El-Zonkoly, A. Intelligent energy management of optimally located renewable energy systems incorporating PHEV. Energy Convers. Manag. 2014, 84, 427–435. [Google Scholar] [CrossRef]
- Rodrigues, F.; Cardeira, C.; Calado, J.M.F. The daily and hourly energy consumption and load forecasting using artificial neural network method: A case study using a set of 93 households in Portugal. Energy Procedia 2014, 62, 220–229. [Google Scholar] [CrossRef]
- Fumo, N. A review on the basics of building energy estimation. Renew. Sustain. Energy Rev. 2014, 31, 53–60. [Google Scholar] [CrossRef]
- Petri, I.; Li, H.; Rezgui, Y.; Yang, C.; Yuce, B.; Jayan, B. A modular optimisation model for reducing energy consumption in large scale building facilities. Renew. Sustain. Energy Rev. 2014, 38, 990–1002. [Google Scholar] [CrossRef]
- Stavropoulos, T.G.; Kontopoulos, E.; Bassiliades, N.; Argyriou, J.; Bikakis, A.; Vrakas, D.; Vlahavas, I. Rule-based approaches for energy savings in an ambient intelligence environment. Pervasive Mob. Comput. 2015, 19, 1–23. [Google Scholar] [CrossRef]
- Macedo, M.N.Q.; Galo, J.J.M.; De Almeida, L.A.L.; de C. Lima, A.C. Demand side management using artificial neural networks in a smart grid environment. Renew. Sustain. Energy Rev. 2015, 41, 128–133. [Google Scholar] [CrossRef]
- Moon, J.W. Comparative performance analysis of the artificial-intelligence-based thermal control algorithms for the double-skin building. Appl. Therm. Eng. 2015, 91, 334–344. [Google Scholar] [CrossRef]
- Lazrak, A.; Leconte, A.; Chèze, D.; Fraisse, G.; Papillon, P.; Souyri, B. Numerical and experimental results of a novel and generic methodology for energy performance evaluation of thermal systems using renewable energies. Appl. Energy 2015, 158, 142–156. [Google Scholar] [CrossRef]
- El-Baz, W.; Tzscheutschler, P. Short-term smart learning electrical load prediction algorithm for home energy management systems. Appl. Energy 2015, 147, 10–19. [Google Scholar] [CrossRef]
- Ortega, J.L.G.; Han, L.; Whittacker, N.; Bowring, N. A machine-learning based approach to model user occupancy and activity patterns for energy saving in buildings. In Proceedings of the 2015 Science and Information Conference, London, UK, 28–30 July 2015; pp. 474–482. [Google Scholar]
- Cai, H.; Huang, J.H.; Xie, Z.J.; Littler, T. Modelling the benefits of smart energy scheduling in micro-grids. In Proceedings of the IEEE Power and Energy Society General Meeting, Denver, CO, USA, 26–30 July 2015; pp. 1–5. [Google Scholar]
- Olatomiwa, L.; Mekhilef, S.; Ismail, M.S.; Moghavvemi, M. Energy management strategies in hybrid renewable energy systems: A review. Renew. Sustain. Energy Rev. 2016, 62, 821–835. [Google Scholar] [CrossRef]
- Salakij, S.; Yu, N.; Paolucci, S.; Antsaklis, P. Model-Based Predictive Control for building energy management. I: Energy modeling and optimal control. Energy Build. 2016, 133, 345–358. [Google Scholar] [CrossRef]
- Shaikh, P.H.; Nor, N.B.M.; Nallagownden, P.; Elamvazuthi, I.; Ibrahim, T. Intelligent multi-objective control and management for smart energy efficient buildings. Electr. Power Energy Syst. 2016, 74, 403–409. [Google Scholar] [CrossRef]
- Aki, H.; Wakui, T.; Yokoyama, R. Development of a domestic hot water demand prediction model based on a bottom-up approach for residential energy management systems. Appl. Therm. Eng. 2016, 108, 697–708. [Google Scholar] [CrossRef]
- Jiang, P.; Ma, X. A hybrid forecasting approach applied in the electrical power system based on data preprocessing, optimization and artificial intelligence algorithms. Appl. Math. Model. 2016, 40, 10631–10649. [Google Scholar] [CrossRef]
- Brøgger, M.; Wittchen, K.B. Estimating the energy-saving potential in national building stocks—A methodology review. Renew. Sustain. Energy Rev. 2018, 82, 1489–1496. [Google Scholar] [CrossRef]
- Wei, T.; Wang, Y.; Zhu, Q. Deep Reinforcement Learning for Building HVAC Control. In Proceedings of the 2017 54th ACM/EDAC/IEEE Design Automation Conference (DAC), Austin, TX, USA, 18–22 June 2017; pp. 1–6. [Google Scholar]
- Wang, Y.; Velswamy, K.; Huang, B. A long-short term memory recurrent neural network based reinforcement learning controller for office heating ventilation and air conditioning systems. Processes 2017, 5, 1–18. [Google Scholar]
- DiSanto, K.G.; DiSanto, S.G.; Monaro, R.M.; Saidel, M.A. Active demand side management for households in smart grids using optimization and artificial intelligence. Meas. J. Int. Meas. Confed. 2018, 115, 152–161. [Google Scholar] [CrossRef]
- Ruiz, L.G.B.; Rueda, R.; Cuéllar, M.P.; Pegalajar, M.C. Energy consumption forecasting based on Elman neural networks with evolutive optimization. Expert Syst. Appl. 2018, 92, 380–389. [Google Scholar] [CrossRef]
- Godina, R.; Rodrigues, E.M.G.; Pouresmaeil, E.; Matias, J.C.O.; Catal, J.P.S. Model predictive control home energy management and optimization strategy with demand response. Appl. Sci. 2018, 8, 408. [Google Scholar] [CrossRef]
- Behrooz, F.; Mariun, N.; Marhaban, M.H.; Radzi, M.A.M.; Ramli, A.R. Review of control techniques for HVAC systems—nonlinearity approaches based on Fuzzy cognitive maps. Energies 2018, 11, 495. [Google Scholar] [CrossRef]
- Serale, G.; Fiorentini, M.; Capozzoli, A.; Bernardini, D.; Bemporad, A. Model predictive control (MPC) for enhancing building and HVAC system energy efficiency: Problem formulation, applications and opportunities. Energies 2018, 11, 631. [Google Scholar] [CrossRef]
- Zhang, X.; Wang, R.; Bao, J. A novel distributed economic model predictive control approach for building air-conditioning systems in microgrids. Mathematics 2018, 6, 60. [Google Scholar] [CrossRef]
- González-Briones, A.; Prieto, J.; Prieta, F.D.L.; Herrera-Viedma, E.; Corchado, J.M. Energy optimization using a case-based reasoning strategy. Sensors 2018, 18, 865. [Google Scholar] [CrossRef] [PubMed]
- ASHRAE. Fundamentals of HVAC Control Systems; I-P; Elsevier Science: Amsterdam, The Netherlands, 2011; ISBN 9781933742915. [Google Scholar]
- Harris, T.J. Assessment of Control Loop Performance. Can. J. Chem. Eng. 1989, 67, 856–861. [Google Scholar] [CrossRef]
- Harris, T.J.; Boudreau, F.; Macgregor, J.F. Performance assessment of multivariable feedback controllers. Automatica 1996, 32, 1505–1518. [Google Scholar] [CrossRef]
- Wang, Z.; Chen, J. Feedforward and feedback control performance assessment for nonlinear systems. Abstr. Appl. Anal. 2014, 2014, 1–12. [Google Scholar] [CrossRef]
- Ambi-LabsAI-Enhanced Air Conditioning Comfort. Available online: https://www.ambiclimate.com/en/features/ (accessed on 5 November 2018).






| Year | HVAC System | AI Development | Key Results | Ref. |
|---|---|---|---|---|
| 1997 | Case #1. A medium-sized utility from the Midwestern United States (US); Case #2. A large utility from the Midwestern US | Operation decision environment (ODE) architecture | Model-based control and fault diagnosis | [10] |
| 1997 | HVAC system for occupant comfort and efficient running costs | Knowledge-based system (KBS) for predictive control | Based on pre-programmed load priorities, 20% electricity savings was achieved | [11] |
| 1998 | MACQU software applied to a greenhouse | Native fuzzy KBS at the supervisory level | Control loop optimization and 12% energy savings | [12] |
| 1998 | Expert system in commercial buildings | KBS for energy conservation programs | Cost savings up to 60% | [13] |
| 2000 | HVAC system with variable air volume (VAV) coils and constant air volume (CAV) coils | Genetic algorithm (GA), cost estimation and model-based predictor | Simulation results show that the overall energy savings were 0.1%, 0.2%, 1.8% and 1.9% less than the original status | [14] |
| 2001 | Prediction of heating and cooling loads at residential buildings | Static neuro network (SNN) development for prediction | Load curve fitting with an R-square value up to 0.9887 Prediction error ranges from 2.5% to 8.7% | [15] |
| 2001 | Use of artificial neuro networks (ANNs) in solar radiation and wind speed prediction, photovoltaic systems, building services, and load forecasting and prediction | ANNs for modeling a solar steam generator, modeling of solar domestic water heating systems, and forecasting the building thermal loads | R-square value of load fitting ranges from 0.9733 to 0.9940. The prediction errors are within 1.9–5.5%. | [16] |
| 2001 | Optimal heating control of a passive solar commercial building | Smart heating controller with the cost function can combine comfort level and energy consumption | Energy savings of maintaining or improving a thermal comfort are about 9% | [17] |
| 2002 | House_n demonstration at Massachusetts Institute of Technology | Saving energy, maintaining air quality and thermal comfort using data analysis | Energy savings are about 14% | [18] |
| 2002 | SNN for analyzing energy consumption in residential buildings | Model-based control for energy savings | Energy savings range from 5% to 15% | [19] |
| 2003 | Building automation and energy management using AI | Distributed AI development for demand-side management (DSM) and scheduling energy consumption according to energy tariff | DSM-abled devices can save up to 40% on energy costs based on 24-h analysis | [20] |
| 2003 | Fuzzy controller for the management of an indoor environment | Five fuzzy controllers include fuzzy P, fuzzy proportional–integral–differential (PID), fuzzy PI, fuzzy PD and adaptive fuzzy PD | While maintaining predicted mean vote (PMV) within 0–0.1 and indoor CO2 ppm increased less than 20 ppm, fuzzy P controller had the best performance, heating and cooling energy can be reduced up to 20.1%. | [21] |
| 2003 | ANNs in the optimal operation of HVAC equipment | ANN was developed for predicting the optimal start times of a heating system in a building | In 27 instances, a clear linear relationship between prediction and real data was shown by the R-square values ranging from 0.968 to 0.996. | [22] |
| 2004 | ANNs for load forecasting of Taiwan power system | An integrated, evolving fuzzy neuro network and simulated annealing (AIFNN) developed for load forecasting | Compared with traditional ANNs, AIFNN can reduce prediction errors up to 3% | [23] |
| 2005 | On-line building energy consumption prediction through adaptive ANN | Adaptive ANN model fits the unexpected pattern changes of the incoming data of chillers at a Laval building operated from 7:30 to 23:00, Monday to Friday | The prediction accuracy is measured by the coefficient of variation (CV) and the root mean square error (RMSE). For the Laval building case, the CV is 0.20 and the RMSE = 27.0 kW. With respect to the total power consumption ~180 kw, the prediction error is 15%. | [24] |
| 2005 | Energy forecast of intelligent buildings located at US and United Kingdom (UK) | Increased return on investment (ROI) by using fuzzy multi-criteria decision-making method (DMM) | 3% cost savings can be achieved with AI-assisted decision making. | [25] |
| 2005 | Adaptive control of home environment (ACHE) at Colorado | Distributed AI development and integrated with sensors | Sensors of electrical consumption with ANN adapt to the habits of inhabitants | [26] |
| 2005 | Predicting hourly energy consumption in buildings | ANN development for predicting short-term energy consumption and feedback control | Feedback ANN for highly efficient energy supply | [27] |
| 2005 | Prediction of building energy consumption in tropical regions | Support vector machine (SVM) development for accurate prediction based on weather forecast data | Summertime energy consumption can be accurately predicted within an error rate of less than 4.5% | [28] |
| 2005 | Prediction of daily heating loads of UK buildings | SNN development for daily heating load predictions based on one year of sensor data | Prediction error rate of less than 3.0% | [29] |
| 2006 | Electric load forecasting through the use of data from the East-Slovakia Power Distribution Company | SVM model development for the forecasting of a test set in January 1999 | Mean average percent error (MAPE) rate of 1.93% | [30] |
| 2006 | Centralized HVAC system | Multi-agent structure development for thermal comfort control | Control accuracy of around 89% to 92.5%. That indicates a 7.5–11% prediction error rate related to occupants’ thermal comfort levels. | [31] |
| 2006 | Predictive control system development for a building heating system | Fuzzy + proportional–integral–differential (PID) controller development for improving control performance | For a heater control, temperature increase times can be reduced from 12.7 sec to 4.3 sec; the settling time can be reduced from 16.3 sec to 6.9 sec; overshooting can be reduced to 0%. | [32] |
| 2006 | Indoor thermal comfort controller development | Fuzzy logic controller development | The measuring period was from 15 September 2004 until 17 September 2004 at a 2-sec sample rate. The indoor air quality was kept between 600–800 ppm. The predicted mean vote (PMV) fluctuates around one | [33] |
| 2006 | Cooling prediction of an existing HVAC system in China | Combination of rough set (RS) theory and ANN for cooling load prediction | The HVAC system has 11 air-handling units (AHU) and operates 24 h a day. The prediction error rate of cooling energy during a 24-h period in summer time ranged from 3.45% to 9.27% | [34] |
| 2007 | Hourly load demand forecast | Combining evolutionary program (EP) and particle swarm optimization (PSO), combined with an artificial neural network (CANN) was developed for short-term hourly load forecasting | Hourly loads of a 6000-kW utility were predicted during the first week of December 2005. Using the best trained CANN tool, MAPE can reach 2.24% to 3.25%. | [35] |
| 2007 | Achieving thermal comfort in two simulated buildings | Development of a linear reinforcement learning controller instead of using a traditional on/off controller | Controller development for saving energy while maintaining thermal comfort; over a period of four years, the annual energy consumption increased marginally from 4.77 MWh to 4.85 MWh. However, the dissatisfaction index, predicted percentage of dissatisfied (PPD), was decreased from 13.4% to 12.1%. | [36] |
| 2008 | Forecasting building energy consumption based on simulation models and ANN | Comparison between detailed model simulations and ANN for forecasting building energy consumption | Difference between the detailed model and ANN is less than 2.1% | [37] |
| 2008 | Predicting monthly heating loads of residential buildings | Regression model development for prediction | MAPE ranges from 2.3% to 5.5% | [38] |
| 2008 | Heat load prediction of a district’s heating and cooling system | Recurrent neural network (RNN) development for heating load prediction | During a four-month period in winter, daily prediction errors rates ranged from 5.3% to 15.5% | [39] |
| 2009 | Year-round temperature prediction of the southeastern United States | Ward-type ANNs development for the prediction of air temperature during the entire year based on near real-time data | Using detailed weather data collected by the Georgia Automated Environmental Monitoring Network, ANNs were trained to provide prediction throughout the year. The prediction mean absolute error rate (MAE) ranged from 0.516 °C to 1.873 °C | [40] |
| 2009 | Measuring the prediction performance of a wet cooling tower | ANN development for the prediction of cooling tower approaching temperatures | The prediction means square error rate (MSE) of around 0.064 °C | [41] |
| 2009 | Control performance improvement of a typical AHU variable air volume (VAV) air-conditioning system | Model-based predictive control (MPC) development based on a first-order plus time-delay model | For an air-conditioned area of about 1200 m2 in Hong Kong, cooling air can track the set point with an error rate of around 0.13 °C | [42] |
| 2010 | KBS applications in smart homes | Autonomous caretaker to create an environmentally-friendly and comfortable ambience | Smart home ontology has the potential to save on labor costs | [43] |
| 2010 | A chiller system in an intelligent building | Optimization by RNN | 7.4% energy savings | [44] |
| 2010 | Intelligent multi-player grid management for reducing energy cost | Evolutionary computation development for cost saving | 1 kwh of energy cost can be reduced from 0.773 € to 0.313 €. Cost saving is around 62.4% | [45] |
| 2010 | Fuzzy logic controller for greenhouse applications | Fuzzy controller design for universal purpose | The controller can be used in any cultivation with different environmental variables’ set points. | [46] |
| 2010 | Prediction of heating energy consumption in a model house at Denizli, Turkey | Model-based prediction | Prediction errors range from 2.3% to 5.5% | [47] |
| 2010 | Prediction of annual heating and cooling loads for 80 residential buildings | Model-based prediction | Prediction errors range from 7.5% to 22.4% | [48] |
| 2011 | Adaptive learning system at intelligent buildings | Smart scheduling control based on deep learning | 1.33 °C shift close to occupants’ custom settings | [49] |
| 2011 | Hybrid controller for energy management at a simulated one-floor building of 128 m2, with a bay window at the University of Perpignan Via Domitia, south of France | Fuzzy-PID schema development for model predictive control (MPC) | While maintaining thermal comfort, 1 °C exceeding the set point can be controlled to save 6% energy, but occupants will feel warm. PMV can be ensured by an 0.2 °C temperature increment. The energy saving is less than 0.3% | [50] |
| 2011 | Predicting air outlet temperature of an indirect evaporative cooling system | Soft computing tools include the fuzzy interference system (FIS), ANN, and adaptive neuro fuzzy inference (ANFIS) | ANN trained by the Levenbergy–Marquardt algorithm provides the best prediction performance. R2 value can be as high as 0.9999. Predicted temperature deviation is less than 1 °C, and the error ranges from 1.1% to 3.2% | [51] |
| 2011 | AI-based thermal control method for a typical US single family house | ANFIS development and the control performance comparison with ANN | ANFIS control can save 0.3% more energy than the ANN in the winter. In the summertime, ANFIS can save 0.7% more energy | [52] |
| 2011 | Predicting temperature and power consumption of a district boiler | Wavelet-based ANN development for accurate prediction | Prediction errors range from 4.17% to 9.01% | [53] |
| 2011 | Controller development for a heating and cooling system | GA-based fuzzy PID controller development | Lowering equipment initial and operating cost up to 20% | [54] |
| 2011 | Mining building performance data for energy-efficient operation | Energy-efficient mining model development for predicting environmental variables | The model is used to predict the environmental variables of a 4500 m2 south-facing low-energy building consisting of 70 rooms. The confidence of room temperature prediction is 84.63%; that of radiant temperature prediction is 90.34%; the CO2 concentration prediction confidence is 64.68%; and that of relative humidity is 86.76% | [55] |
| 2011 | Regression model development for predicting heating and cooling loads of buildings in different climates | Principal components analysis (PCA) development for predicting outdoor temperature | Prediction errors range from 5.5% to 7.9% | [56] |
| 2012 | Intelligent energy management system (EMS) for smart offices | Distributed AI development for optimized scheduling control of office equipment | 12% energy saving | [57] |
| 2012 | Cloud-based EMS and future energy environment | Distributed AI and machine to machine (M2M) communication development | 22.5% energy saving | [58] |
| 2012 | Zone temperature prediction in buildings | Predicting indoor temperature by traditional thermal dynamic model, ANN, GA, and fuzzy logic approaches | MAE of prediction by traditional model is 0.422 °C; ANN is 0.42 °C; GA is 0.753 °C, and fuzzy logic is 0.741 °C | [59] |
| 2012 | Forecasting household electricity consumption | RNN development for the short-term (one hour ahead) forecasting of the household electric consumption | The house is located in a suburban area in the neighbors of the town of Palermo, Italy. The prediction errors range from 1.5% to 4.6% | [60] |
| 2012 | Model-based control of a HVAC system in a single zone of a building | Multi-objective GA development for predicting air temperature and relative humidity | MAE of temperature prediction is 0.1–0.6 °C. Relative humidity is 0.5–3.0% | [61] |
| 2012 | Coordinating occupants’ behaviors for building energy and comfort management | Distributed AI development to achieve multi-agent comfort management | Reducing 12% energy consumption while keeping thermal comfort with the variation less than 0.5% | [62] |
| 2012 | Optimization of chiller operation at the office building of the company Imel in New Belgrade | GA development for the optimization of chiller operation | 2% energy saving during warmest summer days, and up to 13% during the transition period at lower average external temperatures | [63] |
| 2012 | Energy efficiency enhancement of a decoupled HVAC system | Wavelet-based ANN development for optimization of scheduling control | In mid-season operation, daily operation cost can be saved from 5.88% to 11.16% | [64] |
| 2012 | Hourly thermal load prediction | Autoregressive with exogenous terms (ARX) model development for thermal load prediction | MAPE ranges from 9.5% to 17.5% | [65] |
| 2013 | Multi-agent system (MAS) application in a commercial building owned by Xerox Palo Alto Research Center (PARC) in the US | MAS development for constructing a building comfort and energy management system (BECMS) | Constructing a hierarchical function decomposition to provide user solution | [66] |
| 2013 | Three typical residential buildings with 3.3-kWp photovoltaic (PV) plant located at Ripatransone (AP), Italy | Radial basic function (RBF) network development for monitoring home loads, detecting and forecasting PV energy production and home consumptions, informs and influences users on their energy choices | MAPE of home load prediction for next three hours is 9.70%, eight hours is 12.20%, and 18 h is 16.30%. MAPE of PV energy production for the next three hours is 7.70%, eight hours is 9.30%, and 18 h is 11.80%. | [67] [68] |
| 2013 | Smart homes in a smart grid | Supervisory control and data acquisition + house intelligent management system = SHIM for charge and discharge of the electric or plug-in hybrid vehicles, and the participation in demand response (DR) programs | Considering the energy consumption data of a Portuguese house over 30 days in June 2012, the energy cost can be saved up to 12.1% | [69] |
| 2013 | Designing customized energy service based on disaggregation of heating usage | Estimating heat usage by hidden Markov model (HMM) | Heating usage can be predicted, and the errors range from 4.64% to 8.74% | [70] |
| 2013 | Using sensors commonly installed in office buildings to recognize energy-related activities | Layered HMM development for recognizing occupants’ behaviors | People counting can have the accuracy of 87% in the single-person room and 78% in the multi-person room. The away and present activity can be identified with the accuracy of 97.7% in the single-person room, but only 61% accuracy can be achieved in the multi-person room. The prediction of other activities has accuracy ranges from 98.7% to 61% | [71] |
| 2013 | MAS for BECMS based on occupants’ behaviors | User-oriented control based on behavior prediction | Indoor thermal comfort is considered to be highly satisfactory to occupants while maintaining a PMV of around 0.6065 | [72] |
| 2013 | Predictive control of vapor compression cycle system | MPC development for multi-variable control | Energy saving by MPC can reach 25.31%. With the prediction by AI, energy cost can be reduced up to 28.52%. Comparing the traditional prediction by linear regression, energy-saving performance is improved by 65.53% and cost-saving can be increased up to 63% | [72] |
| 2013 | A survey of energy-intelligent buildings based on user activity | MAS for gathering real-time occupancy information, predicting occupancy patterns and decision making | Energy saving of HVAC equipment can reach 12% | [73] |
| 2013 | Optimal energy management by load shift | GA development for load shift control | 35% load shift is possible under a reasonable storage capacity | [74] |
| 2014 | Dynamic fuzzy controller development to meet thermal comfort | ANN performs indoor temperature forecasts to deed a fuzzy logic controller | Thermal comfort is very subjective, and may vary even in the same object | [75] |
| 2014 | Electricity demand prediction of the center of investigation on energy solar (CIESOL) bioclimatic building | Short-term predictive neural network model development | With a short-term prediction horizon equal to 60 min, the mean error is 11.48% | [76] |
| 2014 | An autonomous hybrid power system | PSO development for predicting weather conditions | Techno-socio-economic criterion for the optimum mix of renewable energy resources | [77] |
| 2014 | Energy consumption prediction of a commercial building that has a total floor area of 34,568 m2 and is located in Montreal, Quebec | Case-based reasoning (CBR) model development for predicting following three-hour weather conditions and indoor thermal loads | During occupancy, 07:00–18:00, the coefficient of variation of the root mean square error (CV-RMSE) is below 13.2%, the normalized mean bias error (NMBE) is below 5.8%, and the root mean square error (RMSE) is below 14 kW | [78] |
| 2014 | Simulated 12 building types have the same volume, ~771.75 m3 | SVR + ANN development for predicting heating and cooling loads with eight input parameters | Prediction error is less than 4%. Compared with the traditional model prediction, the SVR + ANN model can improve the prediction error by 39.0% | [79] |
| 2014 | Intelligent energy management at 45 bus stations at Alexandria | PSO development for occupancy prediction and the control of renewable energy sources | During four-hour operation, power imported from the grid can be limited by only 42% | [80] |
| 2014 | 93 households in Portugal | ANN development for energy consumption and load forecasting | MAPE is 4.2% | [81] |
| 2014 | AI development for estimating building energy consumption | GA, ANN, and SVM development for building estimation models | Peak difference in hourly prediction of different models can be as high as 90%. Monthly prediction is 40% and annual variation is 7% | [82] |
| 2014 | Energy management optimization of a building that has wooden external walls of 9 cm and a wooden external roof of 9 cm. | Distributed AI development | Distributed AI in the end control devices can save up to 39% energy through the generation of optimal set points | [83] |
| 2015 | Real-world application for energy savings in a smart building at a Greek university | Rule-based approach development for optimized scheduling control | Daily energy saving can reach up to 4% | [84] |
| 2015 | 100 load curves in a smart grid | ANN development for DSM | Prediction error is less than 5.5% | [85] |
| 2015 | Five AI algorithms conducted in a one-story test building with a double skin; the building is 4.2 m wide, 4.5 m deep, and 3.05 m high. | AI theory-based optimal control algorithm development for improving the indoor temperature conditions and heating energy efficiency | Compared with the transitional algorithm, this novel algorithm can increase thermal comfort by around 2.27% | [86] |
| 2015 | Solar combi-system combined with a gas boiler or a heat pump | ANN model development for predicting thermal load | Based on a learning sequence lasting only 12 days, the annual prediction errors are less than 10% | [87] |
| 2015 | Home energy management system in 25 households in Austria | Short-term smart learning electrical load algorithm development to increase flexibility to fit more the generation from renewable energies and micro co-generation devices | Prediction error is less than 8.2% | [88] |
| 2015 | Three houses with wireless sensors for detecting use occupancy and activity patterns | Non-linear multiclass SVM, HMM, and k-nearest neighbor (kNN) model development to deal with the complex nature of data collected from various sensors | AI algorithm development can increase 25% performance for predicting occupants’ behaviors | [89] |
| 2015 | Modeling for smart energy scheduling in micro-grids | Operation policy and artificial fish swarm algorithm (AFSA) for suggesting operation policy (scheduling control) of a micro-grid with V2G (Vehicle to Grid) | 5.81% energy cost saving | [90] |
| 2016 | Hybrid renewable Energy systems | AI development for tariff control | 10% reduction of unit energy price | [91] |
| 2016 | Model-based predictive control for building energy management | Model-based predictive controller development | Set point optimization by occupants’ activities can save 34.1% energy | [92] |
| 2016 | Multi-objective control and management for smart energy buildings | Hybrid multi-objective GA development | 31.6% energy savings can be achieved for a smart building. Compared with traditional optimization methods, thermal comfort can be improved by 71.8% | [93] |
| 2016 | Hot water demand prediction model development for residential energy management systems | Bottom–up approach development | Total energy savings of 18.25%. Among them, 1.46% of that is attributed to the use of AI tools, compared with linear-up prediction. | [94] |
| 2016 | Hybrid forecasting model based on data preprocessing, optimization, and AI algorithms | AI-assisted data fusion | MAPE ranges from 4.57% to 5.69% | [95] |
| 2017 | Estimation of the energy savings potential in national building stocks | AI for analyzing user behaviors | User-behavior trends were taken into account and up to a 10% improvement of prediction accuracy resulted | [96] |
| 2017 | Deep reinforcement learning for building HVAC control | Deep reinforcement learning (DFL)-based algorithm | 11% energy savings | [97] |
| 2017 | Office heating ventilation and air conditioning systems | Reinforcement learning (RL) and long/short-term memory RNN | 2.5% energy savings while improving thermal comfort by an average of 15% | [98] |
| 2018 | Manager’s decision-making system for household energy savings | ANN-based decision making system (DMS) development | Electricity bills could be reduced by around 10% | [99] |
| 2018 | Energy consumption forecasting for building energy management systems | Elman neuro network | Mean square error rate (MSE) ranges from 0.004413 to 0.005085 | [100] |
| 2018 | Home air conditioner energy management and optimization strategy with demand response | MPC for demand response and air conditioning control | 9.2% energy savings when compared to conventional On/Off control and 1.8% energy savings compared with PID control | [101] |
| 2018 | Non-linear control techniques for HVAC systems | Fuzzy control | Smoothly reaches to set point values. The steady state error rates range from 0.2% to 3.3% | [102] |
| 2018 | Enhancing building and HVAC system energy efficiency | MPC | Most cases have an energy-savings rations range from 10% to 15% | [103] |
| 2018 | Building air conditioning systems in micro-grids | Distributed economic model predictive control (DEMPC) | Predictions of energy prices are within 3% | [104] |
| 2018 | HVAC systems at an office building | MAS and CBR for energy management and decision making | 41% energy savings | [105] |
| Year | Academic Case | AI Application Scenario | Sensor Deployment | Ref. |
| 1997 | Heating, ventilation, and air conditioning (HVAC) system for improving occupant comfort and saving running costs | Optimized setting |
| [11] |
| 2000 | HVAC system with variable air volume (VAV) coils and constant air volume (CAV) coils | Predictive control |
| [14] |
| 2001 | Optimal heating control in a passive solar commercial building | Optimized setting |
| [17] |
| 2002 | House_n demonstration at Massachusetts Institute of Technology | Optimized setting |
| [18] |
| 2003 | Fuzzy controller development for energy conservation and users’ indoor comfort requirements | Fuzzy control for improving control performance |
| [21] |
| 2003 | Artificial neuro network (ANN) development for optimal operation of heating system in building | Predictive control |
| [22] |
| 2005 | Predicting chiller energy consumption at a Laval building operated from 7:30 to 23:00, Monday to Friday | Model-based predictive control |
| [24] |
| 2005 | Internet-based HVAC system allows authorized users to keep in close contact with a building automation system | Optimized setting |
| [25] |
| 2006 | Centralized HVAC system with multi-agent structure | Distributed AI |
| [31] |
| 2006 | Predictive control system development for a building heating system | Predictive control |
| [32] |
| 2006 | Indoor thermal comfort controller development | Fuzzy indoor thermal comfort controller development by simulation software |
| [33] |
| 2006 | Cooling load prediction of an existing HVAC system in China | Load prediction |
| [34] |
| 2007 | Linear reinforcement learning controller | Machine learning and the adaptive occupant satisfaction simulator | Three different configurations include:
| [36] |
| 2008 | Heating load prediction of a district heating and cooling system | Load prediction |
| [39] |
| 2009 | Controller development for a typical variable air volume (VAV) air conditioning system | Model-based predictive control |
| [42] |
| 2010 | Chiller development for an intelligent building | Predictive control and optimized setting |
| [44] |
| 2011 | Controller development for air conditioning system of one-floor building | Fuzzy PID |
| [50] |
| 2011 | Thermal control of a typical US single family house | Fuzzy logic and adaptive neuro fuzzy inference system (ANFIS) |
| [52] |
| 2011 | Controller development for a heating and cooling energy system | Predictive control |
| [54] |
| 2012 | Zone temperature prediction and control in buildings | Predictive control and optimized setting |
| [59] |
| 2012 | Model-based predictive control of HVAC systems for ensuring thermal comfort and energy consumption minimization | Predictive control and optimized setting |
| [61] |
| 2012 | Coordinating occupant behavior for saving energy consumption of an HVAC system and improving thermal comfort | Distributed AI |
| [62] |
| 2012 | Optimization of chiller operation at the office building of the Imel company in New Belgrade | Optimized setting |
| [63] |
| 2012 | Energy-efficiency enhancement of decoupled HVAC system | Wavelet-based artificial neuro network (WNN)—Infinite impulse response (IIR)—PID-based control |
| [64] |
| 2013 | Building energy and comfort management system development | Distributed AI | Sensors provide
| [72] |
| 2013 | Energy intelligent building based on user activity | Distributed AI and predictive control | Wireless sensor networks include PIR sensors and magnetic reed switch door sensor | [73] |
| 2013 | Predictive control of a cooling plant | Model-based predictive control |
| [71] |
| 2014 | Dynamic fuzzy controller | Predictive control |
| [75] |
| 2014 | Energy management optimization of a building | Distributed AI |
| [83] |
| 2014 | Optimal chiller loading problem solved by swarm intelligence technique | Optimized setting |
| [85] |
| 2015 | AI theory-based optimal control for improving the indoor temperature conditions and heating energy efficiency | Five control algorithms include
|
| [86] |
| 2015 | Three houses with wireless sensors for detecting use occupancy and activity patterns | Optimized setting and predictive control |
| [89] |
| 2016 | Model-based predictive control for the set point optimization of an HVAC system | Model-based predictive control |
| [92] |
| 2016 | Multi-objective control and management of a smart building | Optimized setting |
| [93] |
| 2017 | Deep reinforcement learning for building HVAC control | Optimized setting |
| [97] |
| 2018 | AI enhanced air conditioning comfort by Ambi Climate | Optimized setting |
| [110] |
© 2019 by the authors. Licensee MDPI, Basel, Switzerland. This article is an open access article distributed under the terms and conditions of the Creative Commons Attribution (CC BY) license (http://creativecommons.org/licenses/by/4.0/).
Share and Cite
Cheng, C.-C.; Lee, D. Artificial Intelligence-Assisted Heating Ventilation and Air Conditioning Control and the Unmet Demand for Sensors: Part 1. Problem Formulation and the Hypothesis. Sensors 2019, 19, 1131. https://doi.org/10.3390/s19051131
Cheng C-C, Lee D. Artificial Intelligence-Assisted Heating Ventilation and Air Conditioning Control and the Unmet Demand for Sensors: Part 1. Problem Formulation and the Hypothesis. Sensors. 2019; 19(5):1131. https://doi.org/10.3390/s19051131
Chicago/Turabian StyleCheng, Chin-Chi, and Dasheng Lee. 2019. "Artificial Intelligence-Assisted Heating Ventilation and Air Conditioning Control and the Unmet Demand for Sensors: Part 1. Problem Formulation and the Hypothesis" Sensors 19, no. 5: 1131. https://doi.org/10.3390/s19051131
APA StyleCheng, C.-C., & Lee, D. (2019). Artificial Intelligence-Assisted Heating Ventilation and Air Conditioning Control and the Unmet Demand for Sensors: Part 1. Problem Formulation and the Hypothesis. Sensors, 19(5), 1131. https://doi.org/10.3390/s19051131
