High-Sensitivity Microwave Sensor Based on an Interdigital-Capacitor-Shaped Defected Ground Structure for Permittivity Characterization
Abstract
1. Introduction
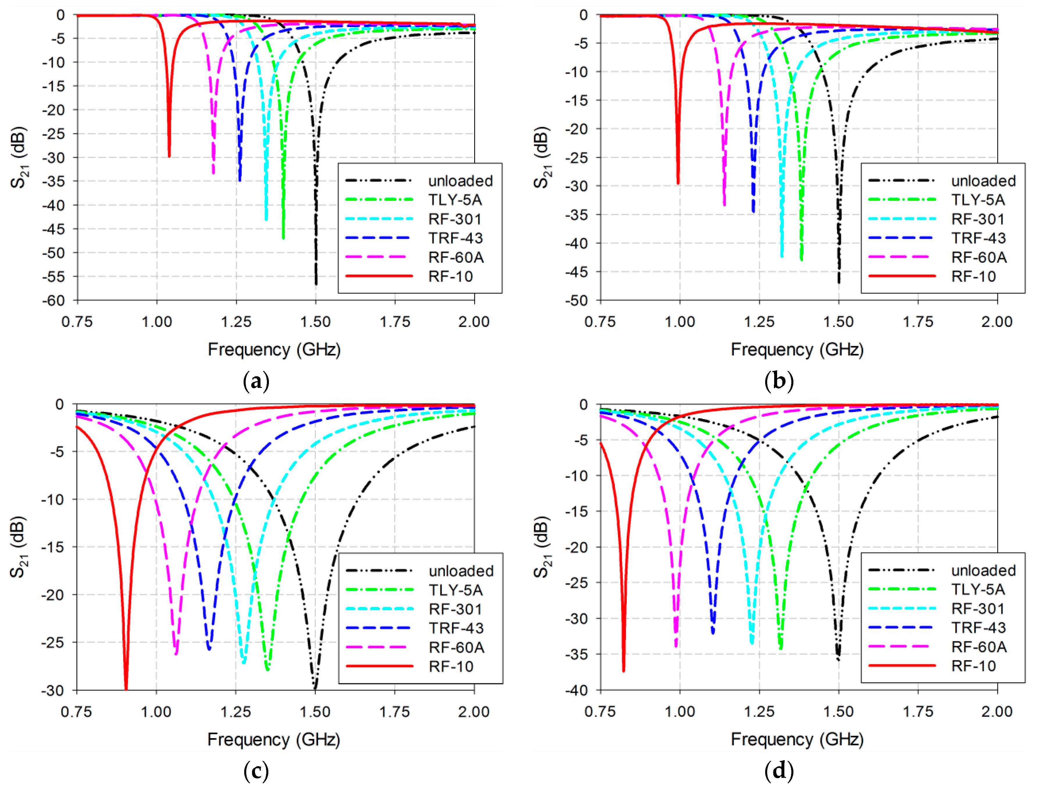
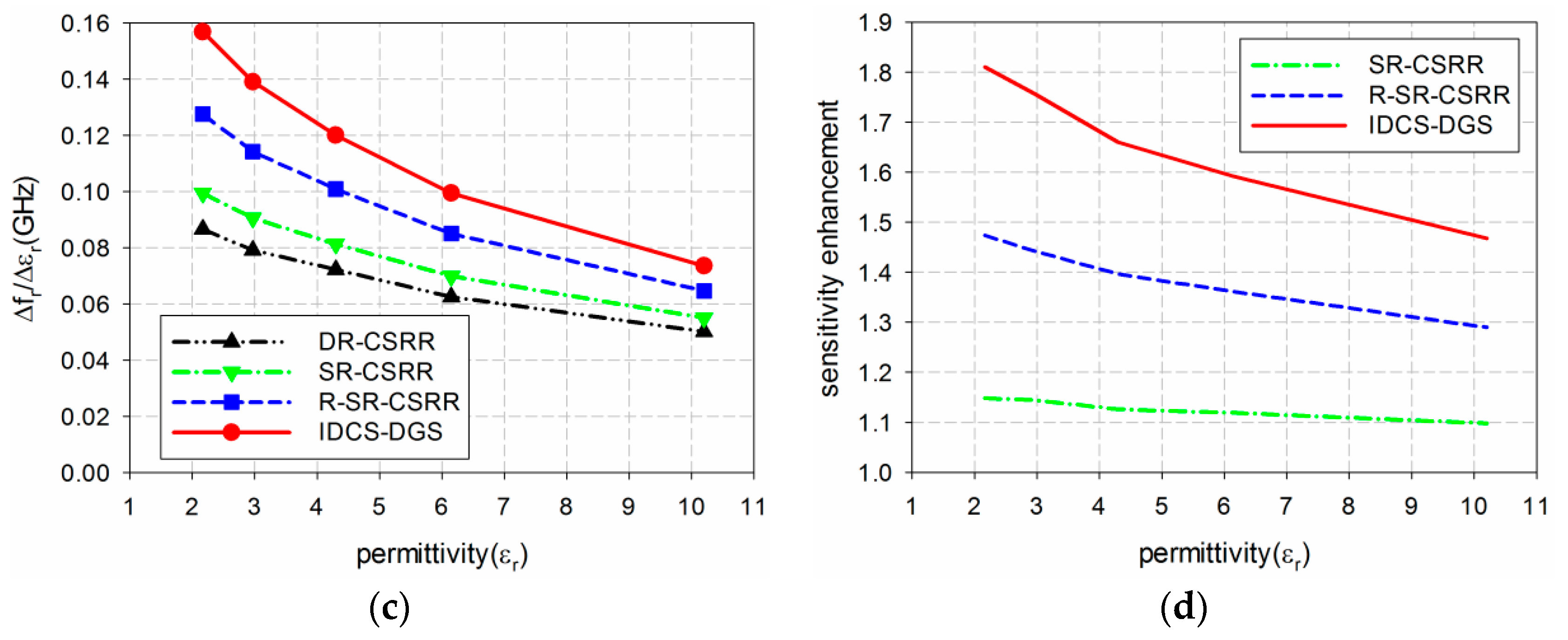
2. Sensor Design and Sensitivity Comparison
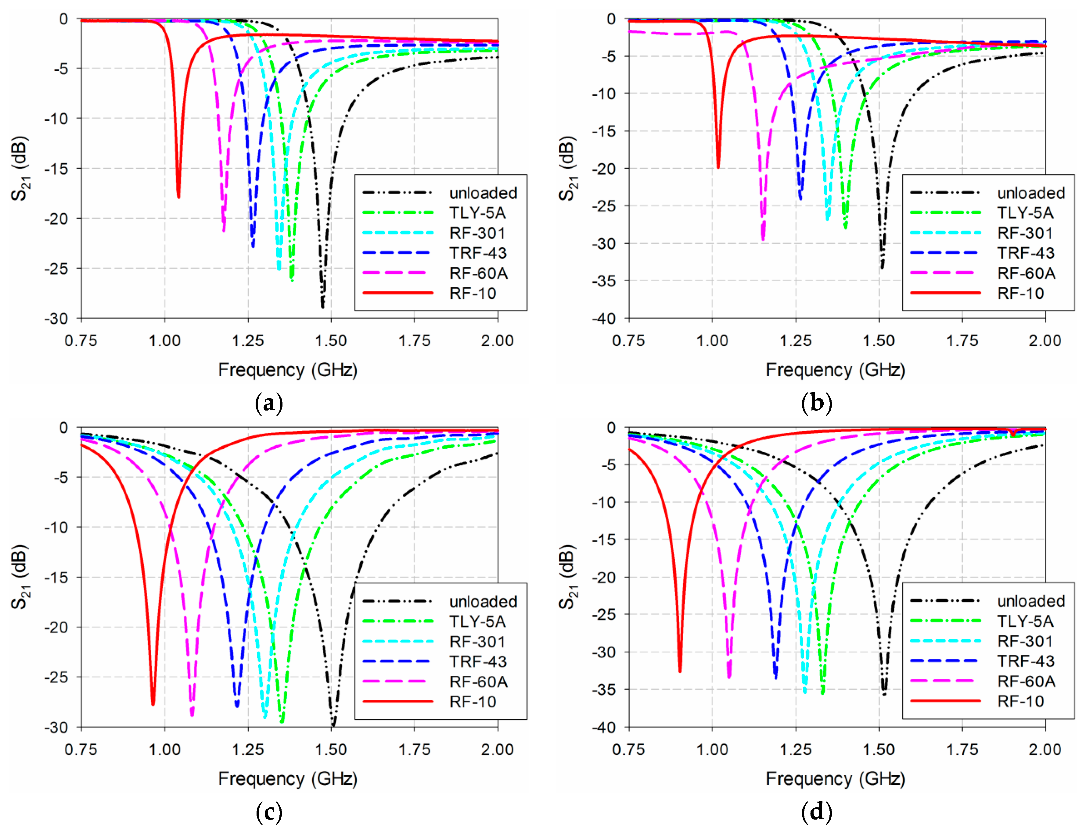
3. Experiment Results and Discussion
4. Conclusions
Author Contributions
Funding
Conflicts of Interest
References
- Saeed, K.; Shafique, M.F.; Byrne, M.B.; Hunter, I.C. Planar microwave sensors for complex permittivity characterization of materials and their applications. In Applied Measurement System; Haq, M.Z., Ed.; INTECH: Rijeka, Croatia, 2012. [Google Scholar]
- Boybay, M.S.; Ramahi, O.M. Material characterization using complementary split-ring resonators. IEEE Trans. Instrum. Meas. 2012, 61, 3039–3046. [Google Scholar] [CrossRef]
- Nicolson, A.; Ross, G. Measurement of the intrinsic properties of materials by time domain techniques. IEEE Trans. Instrum. Meas. 1970, 19, 377–382. [Google Scholar] [CrossRef]
- Weir, W. Automatic measurement of complex dielectric constant and permeability at microwave frequencies. Proc. IEEE 1974, 62, 33–36. [Google Scholar] [CrossRef]
- Baker-Jarvis, J.; Vanzura, E.; Kissick, W. Improved technique for determining complex permittivity with the transmission/reflection method. IEEE Trans. Microw. Theory Tech. 1990, 38, 1096–1103. [Google Scholar] [CrossRef]
- Varadan, V.V.; Hollinger, R.; Ghodgaonkar, D.; Varadan, V.K. Free-space, broadband measurements of high-temperature, complex dielectric properties at microwave frequencies. IEEE Trans. Instrum. Meas. 1991, 40, 842–846. [Google Scholar] [CrossRef]
- Akhter, Z.; Akhtar, M.J. Free-Space Time Domain Position Insensitive Technique for Simultaneous Measurement of Complex Permittivity and Thickness of Lossy Dielectric Samples. IEEE Trans. Instrum. Meas. 2016, 65, 2394–2405. [Google Scholar] [CrossRef]
- Athey, T.; Stuchly, M.; Stuchly, S. Measurement of radio frequency permittivity of biological tissues with an open ended coaxial line: Part I. IEEE Trans. Microw. Theory Tech. 1982, 30, 82–86. [Google Scholar] [CrossRef]
- Grant, J.P.; Clarke, R.N.; Symm, G.T.; Spyrou, N.M. A critical study of the open-ended coaxial line sensor for RF and microwave complex permittivity measurements. J. Phys. E Sci. Instrum. 1989, 22, 757–770. [Google Scholar] [CrossRef]
- Raj, A.; Holmes, W.; Judah, S. Wide bandwidth measurement of complex permittivity of liquids using coplanar lines. IEEE Trans. Instrum. Meas. 2001, 50, 905–909. [Google Scholar] [CrossRef]
- Hinojosa, J. S-parameter broad-band measurements on-microstrip and fast extraction of the substrate intrinsic properties. IEEE Microw. Wireless Compon. Lett. 2001, 11, 305–307. [Google Scholar] [CrossRef]
- Mathew, K.T.; Raveendranath, U. Waveguide cavity perturbation method for measuring complex permittivity of water. Microw. Opt. Technol. Lett. 1993, 6, 104–106. [Google Scholar] [CrossRef]
- Raveendranath, U.; Bijukumar, S.; Matthew, K. Broadband coaxial cavity resonator for complex permittivity measurements of liquids. IEEE Trans. Instrum. Meas. 2000, 49, 1305–1312. [Google Scholar] [CrossRef]
- Saeed, K.; Pollard, R.D.; Hunter, I.C. Substrate integrated waveguide cavity resonators for complex permittivity characterization of materials. IEEE Trans. Microw. Theory Tech. 2008, 56, 2340–2347. [Google Scholar] [CrossRef]
- Fratticcioli, E.; Dionigi, M.; Sorrentino, R. A simple and low-cost measurement system for the complex permittivity characterization of materials. IEEE Trans. Instrum. Meas. 2004, 53, 1071–1077. [Google Scholar] [CrossRef]
- Withayachumnankul, W.; Jaruwongrungsee, K.; Adisorn, T.; Fumeaux, C.; Abbott, D. Metamaterial-based microfluidic sensor for dielectric characterization. Sens. Actuators A-Phys. 2013, 189, 233–237. [Google Scholar] [CrossRef]
- T, M.S.K.; Ansari, M.A.H.; Jha, A.K.; Akhtar, M.J. Design of SRR-based microwave sensor for characterization of magnetodielectric substrates. IEEE Microw. Compon. Lett. 2017, 27, 524–526. [Google Scholar]
- Sha, K.T.M.; Jha, A.K.; Akhtar, M.J. Improved planar resonant RF sensor for retrieval of permittivity and permeability of materials. IEEE Sens. J. 2017, 17, 5479–5486. [Google Scholar]
- Velez, P.; Su, L.; Grenier, K.; Mata-Contreras, J.; Dubuc, D.; Martin, F. Microwave microfluidic sensor based on a microstrip splitter/combiner configuration and split ring Resonators (SRRs) for dielectric characterization of liquids. IEEE Sens. J. 2017, 17, 6589–6598. [Google Scholar] [CrossRef]
- Ebrahimi, A.; Scott, J.; Ghorbani, K. Differential sensors using microstrip lines loaded with two split ring resonators. IEEE Sens. J. 2018, 18, 5786–5793. [Google Scholar] [CrossRef]
- Lee, C.S.; Yang, C.L. Thickness and permittivity measurement in multi-layered dielectric structures using complementary split-ring resonators. IEEE Sens. J. 2014, 14, 695–700. [Google Scholar] [CrossRef]
- Lee, C.S.; Yang, C.L. Complementary split-ring resonators for measuring dielectric constants and loss tangents. IEEE Microw. Wireless Compon. Lett. 2014, 24, 563–565. [Google Scholar] [CrossRef]
- Ebrahimi, A.; Withayachumnankul, W.; Al-Sarawi, S.; Abbott, D. High-sensitivity metamaterial-inspired sensor for microfluidic dielectric characterization. IEEE Sens. J. 2014, 14, 1345–1351. [Google Scholar] [CrossRef]
- Ansari, M.A.H.; Jha, A.K.; Akhtar, M.J. Design and application of the CSRR-based planar sensor for noninvasive measurement of complex permittivity. IEEE Sens. J. 2015, 15, 7181–7189. [Google Scholar] [CrossRef]
- Yang, C.L.; Lee, C.S.; Chen, K.W.; Chen, K.Z. Noncontact measurement of complex permittivity and thickness by using planar resonators. IEEE Trans. Microw. Theory Tech. 2016, 64, 247–257. [Google Scholar] [CrossRef]
- Su, L.; Mata-Contreras, J.; Naqui, J.; Martín, F. Splitter/combiner microstrip sections loaded with pairs of complementary split ring resonators (CSRRs): Modeling and optimization for differential sensing applications. IEEE Trans. Microw. Theory Tech. 2016, 64, 4362–4370. [Google Scholar] [CrossRef]
- Su, L.; Mata-Contreras, J.; Vélez, P.; Fernández-Prieto, A. Analytical method to estimate the complex permittivity of oil samples. Sensors 2018, 18, 984. [Google Scholar] [CrossRef]
- Ansari, M.A.H.; Jha, A.K.; Akhter, Z.; Akhtar, M.J. Multi-band RF planar sensor using complementary split ring resonator for testing of dielectric materials. IEEE Sens. J. 2018, 18, 6596–6606. [Google Scholar] [CrossRef]
- Li, C.; Li, F. Characterization and modeling of a microstrip line loaded with complementary split-ring resonators (CSRRs) and its application to highpass filters. J. Phys. D Appl. Phys. 2007, 40, 3780–3787. [Google Scholar] [CrossRef]
- Shi, X.L.; Hesselink, L.; Thornton, R.L. Ultrahigh light transmission through a C-shaped nanoaperture. Opt. Lett. 2003, 28, 1320–1322. [Google Scholar] [CrossRef]
- Yoo, J.G.; Cho, Y.K.; Yeo, J.; Ko, J.H.; Kim, K.C. Design and experiment of miniaturized small resonant aperture using modified ridge structure. IEICE Electron. Express 2017, 14, 1–11. [Google Scholar] [CrossRef]
- Salim, A.; Lim, S. Complementary split-ring resonator-loaded microfluidic ethanol chemical sensor. Sensors 2016, 16, 1802. [Google Scholar] [CrossRef] [PubMed]
- Taconic PTFE laminates. Available online: http://www.taconic.co.kr/pages/sub02_03.php. (accessed on 14 January 2019).
















| Sensor Type | εr = 1 | εr = 2 | εr = 3 | εr = 4 | εr = 5 | εr = 6 | εr = 7 | εr = 8 | εr = 9 | εr = 10 |
|---|---|---|---|---|---|---|---|---|---|---|
| DR-CSSR | 1.5 | 1.412 | 1.340 | 1.280 | 1.228 | 1.182 | 1.142 | 1.105 | 1.071 | 1.041 |
| SR-CSSR | 1.5 | 1.398 | 1.318 | 1.251 | 1.194 | 1.145 | 1.103 | 1.064 | 1.028 | 0.997 |
| R-SR-CSSR | 1.5 | 1.367 | 1.270 | 1.190 | 1.124 | 1.067 | 1.019 | 0.977 | 0.941 | 0.908 |
| Proposed IDCS-DGS | 1.5 | 1.339 | 1.222 | 1.130 | 1.056 | 0.996 | 0.945 | 0.901 | 0.863 | 0.829 |
| No. | MUT | εr | tan δ | Thickness |
|---|---|---|---|---|
| 1 | TLY-5A | 2.17 ± 0.02 | 0.0009@10 GHz | 1.58 mm |
| 2 | RF-301 | 2.97 ± 0.07 | 0.0012@1.9 GHz | 1.52 mm |
| 3 | TRF-43 | 4.3 ± 0.15 | 0.0035@10 GHz | 1.63 mm |
| 4 | RF-60A | 6.15 ± 0.15 | 0.0028@10 GHz | 1.52 mm |
| 5 | RF-10 | 10.2 ± 0.3 | 0.0025@10 GHz | 1.52 mm |
| Sensor Type | Unloaded (εr = 1) | TLY-5A (εr = 2.17) | RF-301 (εr = 2.97) | TRF-43 (εr = 4.3) | RF-60A (εr = 6.15) | RF-10 (εr = 10.2) |
|---|---|---|---|---|---|---|
| DR-CSSR | 1.5 | 1.399 | 1.344 | 1.262 | 1.178 | 1.039 |
| SR-CSSR | 1.5 | 1.384 | 1.322 | 1.232 | 1.14 | 0.994 |
| R-SR-CSSR | 1.5 | 1.351 | 1.275 | 1.167 | 1.062 | 0.905 |
| Proposed IDCS-DGS | 1.5 | 1.317 | 1.226 | 1.104 | 0.988 | 0.823 |
| Sensor Type | Unloaded (εr = 1) | TLY-5A (εr = 2.17) | RF-301 (εr = 2.97) | TRF-43 (εr = 4.3) | RF-60A (εr = 6.15) | RF-10 (εr = 10.2) |
|---|---|---|---|---|---|---|
| DR-CSSR | 1.475 | 1.383 | 1.343 | 1.265 | 1.178 | 1.043 |
| SR-CSSR | 1.510 | 1.400 | 1.348 | 1.265 | 1.153 | 1.018 |
| R-SR-CSSR | 1.508 | 1.353 | 1.300 | 1.218 | 1.083 | 0.965 |
| Proposed IDCS-DGS | 1.518 | 1.333 | 1.278 | 1.190 | 1.050 | 0.903 |
© 2019 by the authors. Licensee MDPI, Basel, Switzerland. This article is an open access article distributed under the terms and conditions of the Creative Commons Attribution (CC BY) license (http://creativecommons.org/licenses/by/4.0/).
Share and Cite
Yeo, J.; Lee, J.-I. High-Sensitivity Microwave Sensor Based on an Interdigital-Capacitor-Shaped Defected Ground Structure for Permittivity Characterization. Sensors 2019, 19, 498. https://doi.org/10.3390/s19030498
Yeo J, Lee J-I. High-Sensitivity Microwave Sensor Based on an Interdigital-Capacitor-Shaped Defected Ground Structure for Permittivity Characterization. Sensors. 2019; 19(3):498. https://doi.org/10.3390/s19030498
Chicago/Turabian StyleYeo, Junho, and Jong-Ig Lee. 2019. "High-Sensitivity Microwave Sensor Based on an Interdigital-Capacitor-Shaped Defected Ground Structure for Permittivity Characterization" Sensors 19, no. 3: 498. https://doi.org/10.3390/s19030498
APA StyleYeo, J., & Lee, J.-I. (2019). High-Sensitivity Microwave Sensor Based on an Interdigital-Capacitor-Shaped Defected Ground Structure for Permittivity Characterization. Sensors, 19(3), 498. https://doi.org/10.3390/s19030498

