Spectral Image Processing for Museum Lighting Using CIE LED Illuminants
Abstract
1. Introduction
2. Materials and Methods
2.1. The Art Piece
2.2. Illuminants
2.3. Workflow
2.3.1. Spectral Image Capture and Post-Processing
2.3.2. Color Calculation
2.3.3. Corresponding Color Calculation
2.3.4. Color-Difference Calculations
2.3.5. Masking
3. Results
3.1. Visual Comparisons of Color Appearance and Related CCTs
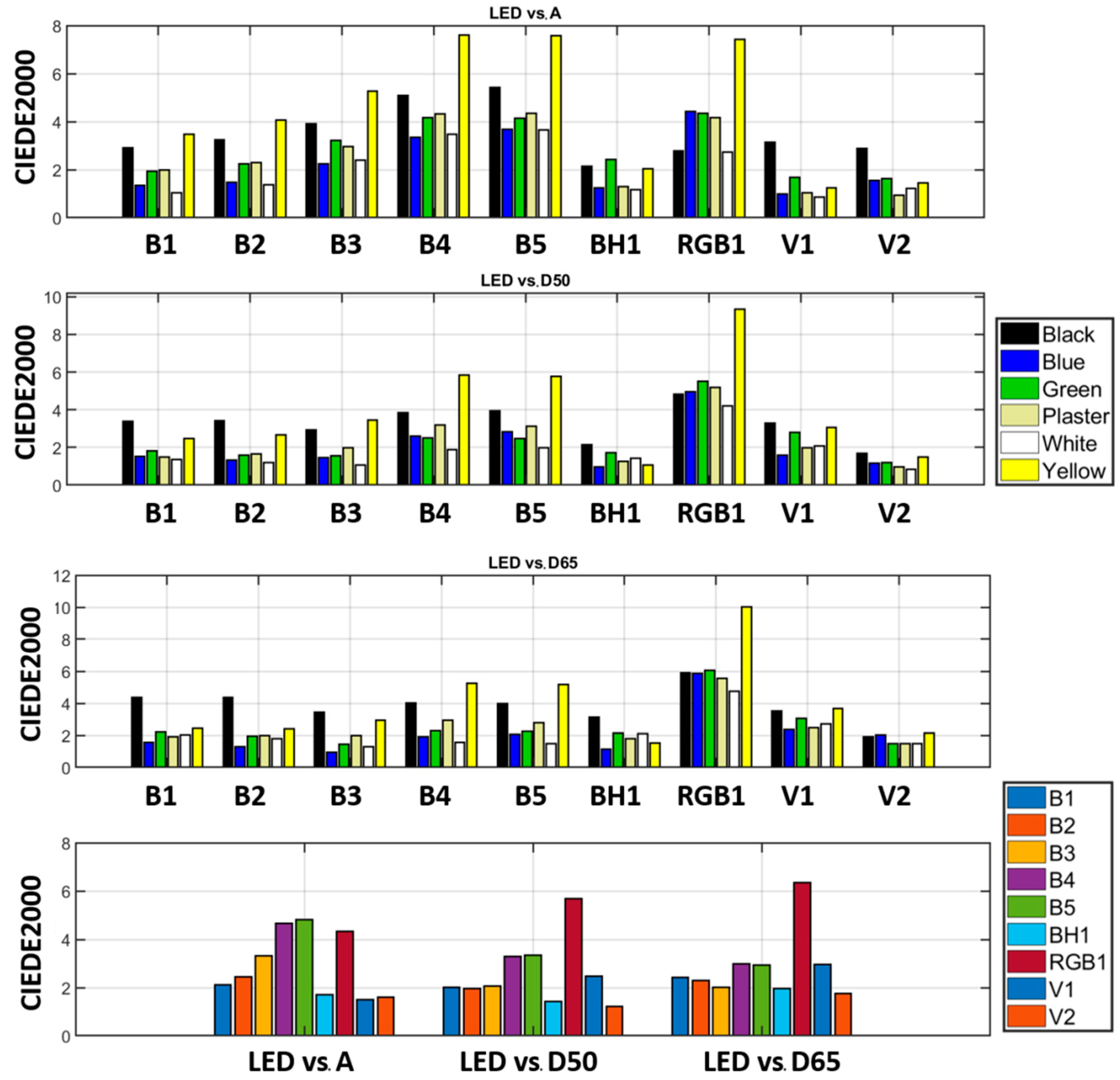
3.2. Color-Difference Analysis
4. Conclusions
Author Contributions
Funding
Acknowledgments
Conflicts of Interest
References
- Dale, L.M.; Thewis, A.; Boudry, C.; Rotar, I.; Dardenne, P.; Baeten, V.; Pierna, J.A.F. Hyperspectral imaging applications in agriculture and agro-food product quality and safety control: A review. Appl. Spectrosc. 2013, 48, 142–159. [Google Scholar] [CrossRef]
- Martínez, M.Á.; Valero, E.M.; Nieves, J.L.; Blanc, R.; Manzano, E.; Vílchez, J.L. Multifocus HDR VIS/NIR hyperspectral imaging and its application to works of art. Opt. Express 2019, 27, 11323–11338. [Google Scholar] [CrossRef] [PubMed]
- Martínez, M.Á.; Calero, A.I.; Valero, E.M. Colorimetric and spectral data analysis of consolidants used for preservation of medieval plasterwork. J. Cult. Herit. 2019. [Google Scholar] [CrossRef]
- Martínez, M.Á.; Valero, E.M.; Durbán, M.; Espejo, T.; Blanc, R. Spectral information to get beyond color in the analysis of water-soluble varnish degradation. Herit. Sci. 2019, 7, 875–885. [Google Scholar] [CrossRef]
- Jost-Boissard, S.; Avouac, P.; Fontoynont, M. Preferred color rendition of skin under LED sources. LEUKOS 2016, 12, 79–93. [Google Scholar] [CrossRef]
- Melgosa, M.; Richard, N.; Fernández-Maloigne, C.; Xiao, K.; de Clermont-Gallerande, H.; Jost-Boissard, S.; Okajima, K. Colour differences in Caucasian and Oriental women’s faces illuminated by white light-emitting diode sources. Int. J. Cosmet. Sci. 2018, 40, 244–255. [Google Scholar] [CrossRef] [PubMed]
- Luo, H.W.; Chou, C.J.; Chen, H.S.; Luo, M.R. Museum lighting with LEDs: Evaluation of lighting damage to contemporary photographic materials. Light. Res. Technol. 2019, 51, 417–431. [Google Scholar] [CrossRef]
- Garside, D.; Curran, K.; Korenberg, C.; MacDonald, L.; Teunissen, K.; Robson, S. How is museum lighting selected? An insight into current practice in UK museums. J. Inst. Conserv. 2017, 40, 3–14. [Google Scholar] [CrossRef]
- Berns, R.S. Designing white-light LED lighting for the display of art: A feasibility study. Color Res. Appl. 2011, 36, 324–334. [Google Scholar] [CrossRef]
- Soltic, S.; Chalmers, A.N. Optimization of multiband white-light illuminants for specified color temperatures. Adv. OptoElectron. 2015. [Google Scholar] [CrossRef]
- Amano, K.; Linhares, J.M.M.; Nascimento, S.M.C. Color constancy of color reproductions in art paintings. J. Opt. Soc. Am. A 2018, 35, B324–B333. [Google Scholar] [CrossRef] [PubMed]
- Chen, H.S.; Chou, C.J.; Luo, H.W.; Luo, M.R. Museum lighting environment: Designing a perception zone map and emotional response models. Light. Res. Technol. 2016, 48, 589–607. [Google Scholar] [CrossRef]
- Zhai, Q.Y.; Luo, M.R.; Liu, X.Y. The impact of illuminance and colour temperature on viewing fine art paintings under LED lighting. Light. Res. Technol. 2015, 47, 795–809. [Google Scholar] [CrossRef]
- Liu, Q.; Huang, Z.; Pointer, M.R.; Luo, M.R.; Xiao, K.; Westland, S. Evaluating colour preference of lighting with an empty light booth. Light. Res. Technol. 2018, 50, 1249–1256. [Google Scholar] [CrossRef]
- Wei, M.; Bao, W.; Huang, H.P. Consideration of light level in specifying light source color rendition. LEUKOS 2018, 16, 1–11. [Google Scholar] [CrossRef]
- CIE 015:2018. Colorimetry, 4th ed.; Table 15; CIE Central Bureau: Vienna, Austria, 2018; p. 75. ISBN 978-3-902842-13-8. [Google Scholar]
- Bagniuk, J.; Białek-Kostecka, D.; Forczek-Sajdak, A.; Kaszowska, Z.; Skrzelowska, J. Color changes in wall paintings under the influence of consolidation with synthetic polymers. Color Res. Appl. 2019, 44, 772–782. [Google Scholar] [CrossRef]
- Marinetto Sánchez, P.; de Alicatado, P.; Casamar, M. Arte Islámico en Granada. Propuesta Para un Museo de la Alhambra; Comares: Granada, Spain, 1995; p. 381. [Google Scholar]
- Bermúdez Pareja, J. El gran zócalo del Mexuar de la Alhambra, España entre el Mediterráneo y el Atlántico. In Proceedings of the XXIII International Congress of Art History, Granada, Spain, 1977; pp. 57–61. [Google Scholar]
- Marinetto Sánchez, P. Paño del Mexuar, La Alhambra, Granada. In Al-Andalus. Las Artes Islámicas en España; Dodds, J.D., Ed.; The Metropolitan Museum of Art: Madrid, Spain; New York, NY, USA, 1992; p. 374. [Google Scholar]
- Jones, D.; Michell, G. Panel of Tiles, Mosaic Tiling in Green, Black, Blue and White. In The Arts of Islam (Exhibition Catalogue), Hayward Gallery; The Arts Council of Great Britain: London, UK, 1976; p. 272. [Google Scholar]
- Cardell-Fernández, C.; Navarrete-Aguilera, C. Pigment and Plasterwork Analyses of Nasrid Polychromed Lacework Stucco in the Alhambra (Granada) Spain. Stud. Conserv. 2006, 51, 161–176. [Google Scholar] [CrossRef]
- Melgosa, M.; Collado-Montero, F.J.; Fernández, E.; Medina, V.J. Colorimetric Study of the Tiles in Patio de las Doncellas of the Real Alcazar of Seville (Spain). Boletín de la Sociedad Española de Cerámica y Vidrio 2015, 54, 109–118. [Google Scholar] [CrossRef]
- Collado-Montero, F.J.; Hernández, A.; Fernández, E.; López, O.; Medina, V.J. Exámenes material, colorimétrico y patológico de los zócalos alicatados del Patio de las Doncellas, Palacio de Pedro I, Real Alcázar de Sevilla. Metodología y avance de resultados. In Proceedings of the18th International Meeting on Heritage Conservation, Granada, Spain, 9–11 November 2011; Universidad de Granada: Granada, Spain, 2011; pp. 38–41. [Google Scholar]
- Díaz Navarro, B.; Collado-Montero, F.J. Reproducción de pastas cerámicas y vidriados correspondientes a los alicatados del Patio de las Doncellas (Real Alcázar de Sevilla) y estudio colorimétrico. In Proceedings of the 18th International Meeting on Heritage Conservation, Granada, Spain, 9–11 November 2011; Universidad de Granada: Granada, Spain, 2011; pp. 720–723. [Google Scholar]
- Jost, S.; Ngo, M.; Ferrero, A.; Poikonen, T.; Pulli, T.; Thorseth, A.; Blattner, P. Determination of illuminants representing typical white light emitting diodes sources. In Proceedings of the CIE 2017 Midterm Meetings and Conference on Smarter Lighting for Better Life, Jeju, Korea, 23–25 October 2017; Volume 2017, pp. 427–432. [Google Scholar] [CrossRef]
- CIE 13.3. Method of Measuring and Specifying Colour Rendering Properties of Light Sources; CIE Central Bureau: Vienna, Austria, 1995. [Google Scholar]
- CIE 224:2017. CIE 2017 Colour Fidelity Index for Accurate Scientific Use; CIE Central Bureau: Vienna, Austria, 2017. [Google Scholar]
- Nascimento, S.M.; Ferreira, F.P.; Foster, D.H. Statistics of spatial cone-excitation ratios in natural scenes. J. Opt. Soc. Am. A 2002, 19, 1484–1490. [Google Scholar] [CrossRef]
- Li, C.; Xu, Y.; Wang, Z.; Luo, M.R.; Cui, G.; Melgosa, M.; Brill, M.H.; Pointer, M. Comparing two-step and one-step chromatic adaptation transforms using the CAT16 model. Color Res. Appl. 2018, 43, 633–642. [Google Scholar] [CrossRef]
- Li, C.J.; Li, Z.Q.; Wang, Z.F.; Xu, Y.; Luo, M.R.; Cui, G.; Melgosa, M.; Brill, M.H.; Pointer, M. Comprehensive color solutions: CAM16, CAT16, and CAM16-UCS. Color Res. Appl. 2017, 42, 703–718. [Google Scholar] [CrossRef]
- CIE 159:2004 (ISBN: 3-901-906-29-0). A Colour Appearance Model for Colour Management Systems: CIECAM02; CIE Central Bureau: Vienna, Austria, 2004. [Google Scholar]
- CIE Publication 142. Improvement to Industrial Colour-Difference Evaluation; CIE Central Bureau: Vienna, Austria, 2001. [Google Scholar]
- ISO/CIE 11664-6:2014 (Formerly CIE S 0146/E:2013). Colorimetry—Part 6: CIEDE2000 Colour-Difference Formula; CIE Central Bureau: Vienna, Austria, 2014. [Google Scholar]
- Johnson, G.M.; Fairchild, M.D. A top down description of S-CIELAB and CIEDE2000. Color Res. Appl. 2003, 28, 425–435. [Google Scholar] [CrossRef]
- Hauptmann, M.; Pleschberger, H.; Mai, C.; Follrich, J.; Hansmann, C. The potential of color measurements with the CIEDE2000 equation in wood science. Eur. J. Wood Prod. 2012, 70, 415–420. [Google Scholar] [CrossRef]
- Liu, H.; Huang, M.; Cui, G.; Luo, M.R.; Melgosa, M. Color-difference evaluation for digital images using a categorical judgment method. J. Opt. Soc. Am. B 2013, 30, 616–626. [Google Scholar] [CrossRef] [PubMed]
- Uroz, J.; Luo, M.R.; Morovic, J. Perception of colour difference between printed images. In Colour Science: Exploiting Digital Media; MacDonald, L.W., Luo, M.R., Eds.; Wiley: Hoboken, NJ, USA, 2002; pp. 49–73. [Google Scholar]
- Song, T.; Luo, M.R. Testing color-difference formulae on complex images using a CRT monitor. In Proceedings of the IS&T and SID Eighth Color Imaging Conference, Scottsdale, AZ, USA, 7–10 November 2000; The Society for Imaging Sciences and Technology: Springfield, VA, USA, 2000; pp. 44–48. [Google Scholar]
- Melgosa, M.; Cui, G.H.; Oleari, C.; Pardo, P.J.; Huang, M.; Li, C.J.; Luo, M.R. Revisiting the weighting function for lightness in the CIEDE2000 colour-difference formula. Color. Technol. 2017, 133, 273–282. [Google Scholar] [CrossRef]










| CIE LED | B1 | B2 | B3 | B4 | B5 | BH1 | RGB1 | V1 | V2 |
|---|---|---|---|---|---|---|---|---|---|
| x | 0.4560 | 0.4357 | 0.3756 | 0.3422 | 0.3118 | 0.4474 | 0.4557 | 0.4548 | 0.3781 |
| y | 0.4078 | 0.4012 | 0.3723 | 0.3502 | 0.3236 | 0.4066 | 0.4211 | 0.4044 | 0.3775 |
| CCT (K) | 2733 | 2998 | 4103 | 5109 | 6598 | 2851 | 2840 | 2724 | 4070 |
| ∆uv (× 103) | −0.7 | −1.0 | −0.7 | +0.5 | +0.9 | −0.3 | +4.3 | −1.9 | +1.0 |
| Ra | 82 | 83 | 85 | 77 | 80 | 92 | 57 | 95 | 96 |
| Rf | 84 | 84 | 85 | 77 | 79 | 85 | 71 | 87 | 94 |
© 2019 by the authors. Licensee MDPI, Basel, Switzerland. This article is an open access article distributed under the terms and conditions of the Creative Commons Attribution (CC BY) license (http://creativecommons.org/licenses/by/4.0/).
Share and Cite
Martínez-Domingo, M.Á.; Melgosa, M.; Okajima, K.; Medina, V.J.; Collado-Montero, F.J. Spectral Image Processing for Museum Lighting Using CIE LED Illuminants. Sensors 2019, 19, 5400. https://doi.org/10.3390/s19245400
Martínez-Domingo MÁ, Melgosa M, Okajima K, Medina VJ, Collado-Montero FJ. Spectral Image Processing for Museum Lighting Using CIE LED Illuminants. Sensors. 2019; 19(24):5400. https://doi.org/10.3390/s19245400
Chicago/Turabian StyleMartínez-Domingo, Miguel Ángel, Manuel Melgosa, Katsunori Okajima, Víctor Jesús Medina, and Francisco José Collado-Montero. 2019. "Spectral Image Processing for Museum Lighting Using CIE LED Illuminants" Sensors 19, no. 24: 5400. https://doi.org/10.3390/s19245400
APA StyleMartínez-Domingo, M. Á., Melgosa, M., Okajima, K., Medina, V. J., & Collado-Montero, F. J. (2019). Spectral Image Processing for Museum Lighting Using CIE LED Illuminants. Sensors, 19(24), 5400. https://doi.org/10.3390/s19245400

