Effects of pH on High-Performance ZnO Resistive Humidity Sensors Using One-Step Synthesis
Abstract
:1. Introduction
2. Materials and Methods
2.1. Materials and Synthesis
2.2. Characterization
2.3. Preparation of ZnO Humidity Sensor
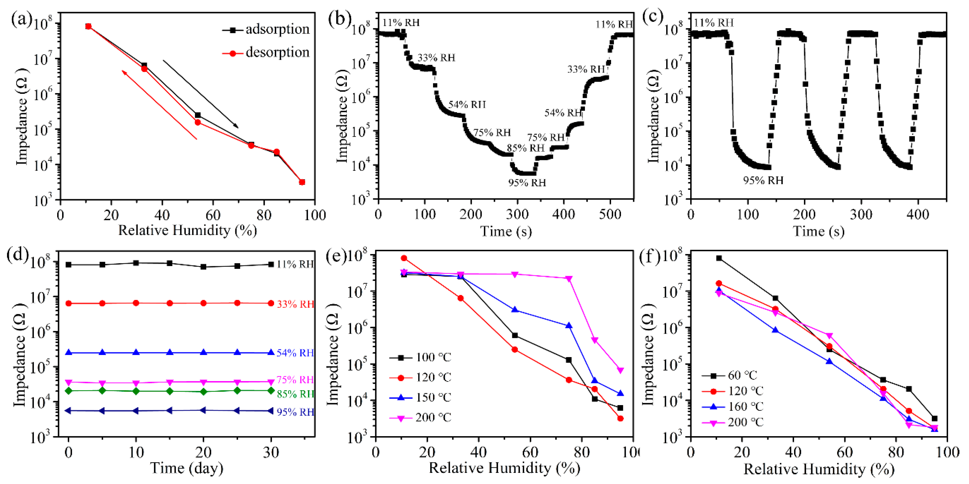
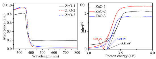
3. Results and Discussion
4. Conclusions
Supplementary Materials
Author Contributions
Funding
Conflicts of Interest
References
- Ma, L.; Wu, R.; Patil, A.; Zhu, S.; Meng, Z.; Meng, H.; Hou, C.; Zhang, Y.; Liu, Q.; Yu, R.; et al. Full-Textile Wireless Flexible Humidity Sensor for Human Physiological Monitoring. Adv. Funct. Mater. 2019, 29, 1904549. [Google Scholar] [CrossRef]
- Duan, Z.; Jiang, Y.; Yan, M.; Wang, S.; Yuan, Z.; Zhao, Q.; Sun, P.; Xie, G.; Du, X.; Tai, H. Facile, Flexible, Cost-Saving, and Environment-Friendly Paper-Based Humidity Sensor for Multifunctional Applications. ACS Appl. Mater. Interfaces 2019, 11, 21840–21849. [Google Scholar] [CrossRef] [PubMed]
- Yu, S.; Zhang, H.; Chen, C.; Lin, C. Investigation of humidity sensor based on Au modified ZnO nanosheets via hydrothermal method and first principle. Sens. Actuators B: Chem. 2019, 287, 526–534. [Google Scholar] [CrossRef]
- Zhao, J.; Li, N.; Yu, H.; Wei, Z.; Liao, M.; Chen, P.; Wang, S.; Shi, D.; Sun, Q.; Zhang, G. Highly Sensitive MoS2 Humidity Sensors Array for Noncontact Sensation. Adv. Mater. 2017, 29, 1702076. [Google Scholar] [CrossRef] [PubMed]
- Zhang, H.; Xiang, L.; Yang, Y.; Xiao, M.; Han, J.; Ding, L.; Zhang, Z.; Hu, Y.; Peng, L.M. High-Performance Carbon Nanotube Complementary Electronics and Integrated Sensor Systems on Ultrathin Plastic Foil. ACS Nano 2018, 12, 2773–2779. [Google Scholar] [CrossRef] [PubMed]
- Zhao, X.; Long, Y.; Yang, T.; Li, J.; Zhu, H. Simultaneous High Sensitivity Sensing of Temperature and Humidity with Graphene Woven Fabrics. ACS Appl. Mater. Interfaces 2017, 9, 30171–30176. [Google Scholar] [CrossRef]
- Yan, H.; Guo, S.; Wu, F.; Yu, P.; Liu, H.; Li, Y.; Mao, L. Carbon Atom Hybridization Matters: Ultrafast Humidity Response of Graphdiyne Oxides. Angew. Chem. 2018, 130, 3922–3926. [Google Scholar] [CrossRef]
- Blank, T.A.; Eksperiandova, L.P.; Belikov, K.N. Recent trends of ceramic humidity sensors development: A review. Sens. Actuators B: Chem. 2016, 228, 416–442. [Google Scholar] [CrossRef]
- Zhou, J.; Xiao, X.; Cheng, X.F.; Gao, B.J.; He, J.H.; Xu, Q.F.; Li, H.; Li, N.J.; Chen, D.Y.; Lu, J.M. Surface Modification of Polysquaraines to Sense Humidity Within a Second for Breath Monitoring. Sens. Actuators B Chem. 2018, 271, 137–146. [Google Scholar] [CrossRef]
- Mogera, U.; Sagade, A.A.; George, S.J.; Kulkarni, G.U. Ultrafast response humidity sensor using supramolecular nanofibre and its application in monitoring breath humidity and flow. Sci. Rep. 2014, 4, 4103. [Google Scholar] [CrossRef]
- Tomer, V.K.; Thangaraj, N.; Gahlot, S.; Kailasam, K. Cubic mesoporous Ag@ CN: A high performance humidity sensor. Nanoscale 2016, 8, 19794–19803. [Google Scholar] [CrossRef] [PubMed]
- Kargar, A.; Jing, Y.; Kim, S.J.; Riley, C.T.; Pan, X.; Wang, D. ZnO/CuO heterojunction branched nanowires for photoelectrochemical hydrogen generation. ACS Nano 2013, 7, 11112–11120. [Google Scholar] [CrossRef] [PubMed]
- Park, S.; Lee, D.; Kwak, B.; Lee, H.-S.; Lee, S.; Yoo, B. Synthesis of self-bridged ZnO nanowires and their humidity sensing properties. Sens. Actuators B: Chem. 2018, 268, 293–298. [Google Scholar] [CrossRef]
- Tsai, F.-S.; Wang, S.-J. Enhanced sensing performance of relative humidity sensors using laterally grown ZnO nanosheets. Sens. Actuators B: Chem. 2014, 193, 280–287. [Google Scholar] [CrossRef]
- Zhao, X.; Wang, P.; Li, B. CuO/ZnO core/shell heterostructure nanowire arrays: Synthesis, optical property, and energy application. Chem. Commun. 2010, 46, 6768–6770. [Google Scholar] [CrossRef]
- Maswanganye, M.W.; Rammutla, K.E.; Mosuang, T.E.; Mwakikunga, B.W. The effect of Co and In combinational or individual doping on the structural, optical and selective sensing properties of ZnO nanoparticles. Sens. Actuators B: Chem. 2017, 247, 228–237. [Google Scholar] [CrossRef]
- Zhang, Y.; Chung, J.; Lee, J.; Myoung, J.; Lim, S. Synthesis of ZnO nanospheres with uniform nanopores by a hydrothermal process. J. Phys. Chem. Solids 2011, 72, 1548–1553. [Google Scholar] [CrossRef]
- Ponnuvelu, D.V.; Abdulla, S.; Pullithadathil, B. Highly monodispersed mesoporous, heterojunction ZnO@Au micro-spheres for trace-level detection of NO2 gas. Microporous Mesoporous Mater. 2018, 255, 156–165. [Google Scholar] [CrossRef]
- Fan, H.; Xu, S.; Cao, X.; Liu, D.; Yin, Y.; Hao, H.; Wei, D.; Shen, Y. Ultra-long Zn2SnO4-ZnO microwires based gas sensor for hydrogen detection. Appl. Surf. Sci. 2017, 400, 440–445. [Google Scholar] [CrossRef]
- Zhang, D.; Sun, Y.E.; Li, P.; Zhang, Y. Facile fabrication of MoS2-modified SnO2 hybrid nanocomposite for ultrasensitive humidity sensing. ACS Appl. Mater. Interfaces 2016, 8, 14142–14149. [Google Scholar] [CrossRef]
- Zhao, Y.; Yang, B.; Liu, J. Effect of interdigital electrode gap on the performance of SnO2-modified MoS2 capacitive humidity sensor. Sens. Actuators B: Chem. 2018, 271, 256–263. [Google Scholar] [CrossRef]
- Jung, H.J.; Koutavarapu, R.; Lee, S.; Kim, J.H.; Choi, H.C.; Choi, M.Y. Enhanced photocatalytic activity of Au-doped Au@ ZnO core-shell flower-like nanocomposites. J. Alloys Compd. 2018, 735, 2058–2066. [Google Scholar] [CrossRef]
- Gong, M.; Li, Y.; Guo, Y.; Lv, X.; Dou, X. 2D TiO2 nanosheets for ultrasensitive humidity sensing application benefited by abundant surface oxygen vacancy defects. Sens. Actuators B: Chem. 2018, 262, 350–358. [Google Scholar] [CrossRef]
- Han, M.; Yin, X.; Wu, H.; Hou, Z.; Song, C.; Li, X.; Zhang, L.; Cheng, L. Ti3C2 MXenes with modified surface for high-performance electromagnetic absorption and shielding in the X-band. ACS Appl. Mater. Interfaces 2016, 8, 21011–21019. [Google Scholar] [CrossRef]
- Zhang, H.; Zhang, M.; Lin, C.; Zhang, J. AuNPs Hybrid Black ZnO Nanorods Made by a Sol-Gel Method for Highly Sensitive Humidity Sensing. Sensors 2018, 18, 218. [Google Scholar] [CrossRef]
- Trandafilović, L.V.; Jovanović, D.J.; Zhang, X.; Ptasińska, S.; Dramićanin, M.D. Enhanced photocatalytic degradation of methylene blue and methyl orange by ZnO: Eu nanoparticles. Appl. Catal. B: Environ. 2017, 203, 740–752. [Google Scholar] [CrossRef]
- Khan, M.M.; Ansari, S.A.; Pradhan, D.; Han, D.H.; Lee, J.; Cho, M.H. Defect-induced band gap narrowed CeO2 nanostructures for visible light activities. Ind. Eng. Chem. Res. 2014, 53, 9754–9763. [Google Scholar] [CrossRef]
- Tomer, V.K.; Duhan, S.; Sharma, A.K.; Malik, R.; Nehra, S.P.; Devi, S. One pot synthesis of mesoporous ZnO–SiO2 nanocomposite as high performance humidity sensor. Colloids Surf. A: Physicochem. Eng. Asp. 2015, 483, 121–128. [Google Scholar] [CrossRef]
- Yu, S.; Zhang, H.; Lin, C.; Bian, M. The enhancement of humidity sensing performance based on Eu-doped ZnO. Curr. Appl. Phys. 2019, 19, 82–88. [Google Scholar] [CrossRef]
- Zhang, M.; Zhang, H.; Li, L.; Tuokedaerhan, K.; Jia, Z. Er-enhanced humidity sensing performance in black ZnO-based sensor. J. Alloys Compd. 2018, 744, 364–369. [Google Scholar] [CrossRef]
- Yuan, Q.; Nan, L.; Jinchun, T.; Xiaotian, L.; Rui, W.; Tong, Z.; Changlu, S. Preparation and humidity sensitive property of mesoporous ZnO–SiO2 composite. Sens. Actuators B: Chem. 2010, 149, 413–419. [Google Scholar] [CrossRef]
- Zhuang, Z.; Li, Y.; Qi, D.; Zhao, C.; Na, H. Novel polymeric humidity sensors based on sulfonated poly (ether ether ketone) s: Influence of sulfonation degree on sensing properties. Sens. Actuators B: Chem. 2017, 242, 801–809. [Google Scholar] [CrossRef]
- Feng, M.H.; Wang, W.C.; Li, X.J. Capacitive humidity sensing properties of CdS/ZnO sesame-seed-candy structure grown on silicon nanoporous pillar array. J. Alloys Compd. 2017, 698, 94–98. [Google Scholar] [CrossRef]
- Zhang, Y.; Fu, W.; Yang, H.; Qi, Q.; Zeng, Y.; Zhang, T.; Ge, R.; Zou, G. Synthesis and characterization of TiO2 nanotubes for humidity sensing. Appl. Surf. Sci. 2008, 254, 5545–5547. [Google Scholar] [CrossRef]
- Zhang, Y.; Yu, K.; Ouyang, S.; Luo, L.; Hu, H.; Zhang, Q.; Zhu, Z. Detection of humidity based on quartz crystal microbalance coated with ZnO nanostructure films. Phys. B: Condens. Matter 2005, 368, 94–99. [Google Scholar] [CrossRef]
- Song, X.; Qi, Q.; Zhang, T.; Wang, C. A humidity sensor based on KCl-doped SnO2 nanofibers. Sens. Actuators B Chem. 2009, 138, 368–373. [Google Scholar] [CrossRef]
- Wang, Z.; Chen, C.; Zhang, T.; Guo, H.; Zou, B.; Wang, R.; Wu, F. Humidity sensitive properties of K + -doped nanocrystalline LaCo0.3Fe0.7O3. Sens. Actuators B: Chem. 2007, 126, 678–683. [Google Scholar] [CrossRef]
- Jiang, K.; Fei, T.; Zhang, T. Humidity sensor using a Li-loaded microporous organic polymer assembled by 1,3,5-trihydroxybenzene and terephthalic aldehyde. RSC Adv. 2014, 4, 28451. [Google Scholar] [CrossRef]
- Jiang, K.; Zhao, H.; Fei, T.; Dou, H.; Zhang, T. A guest/host composite of Fe(NO3)3/nanoporous polytriphenylamine assembly for humidity sensor. Sens. Actuators B: Chem. 2016, 222, 440–446. [Google Scholar] [CrossRef]
- Yu, X.; Chen, X.; Ding, X.; Chen, X.; Yu, X.; Zhao, X. High-sensitivity and low-hysteresis humidity sensor based on hydrothermally reduced graphene oxide/nanodiamond. Sens. Actuators B: Chem. 2019, 283, 761–768. [Google Scholar] [CrossRef]









| Material | Order of Impedance Change | Response Time (s) | Recovery Time (s) | Hysteresis (%) | Ref. |
|---|---|---|---|---|---|
| Er-ZnO | 3 | 32.3 | 39.6 | — | [30] |
| ZnO-SiO2 | 4 | 50 | 100 | 2 | [31] |
| Sulfonated Poly | 4 | 100 | 105 | 3 | [32] |
| CdS/ZnO | — | 110 | 32 | 5.4 | [33] |
| TiO2 nanotube | 2 | 100 | 190 | — | [34] |
| ZnO nanostructure | — | 90 | 120 | — | [35] |
| ZnO | 4 | 31 | 15 | 0.9 | This work |
© 2019 by the authors. Licensee MDPI, Basel, Switzerland. This article is an open access article distributed under the terms and conditions of the Creative Commons Attribution (CC BY) license (http://creativecommons.org/licenses/by/4.0/).
Share and Cite
Yu, S.; Zhang, H.; Zhang, J.; Li, Z. Effects of pH on High-Performance ZnO Resistive Humidity Sensors Using One-Step Synthesis. Sensors 2019, 19, 5267. https://doi.org/10.3390/s19235267
Yu S, Zhang H, Zhang J, Li Z. Effects of pH on High-Performance ZnO Resistive Humidity Sensors Using One-Step Synthesis. Sensors. 2019; 19(23):5267. https://doi.org/10.3390/s19235267
Chicago/Turabian StyleYu, Shuguo, Hongyan Zhang, Jun Zhang, and Zhijun Li. 2019. "Effects of pH on High-Performance ZnO Resistive Humidity Sensors Using One-Step Synthesis" Sensors 19, no. 23: 5267. https://doi.org/10.3390/s19235267
APA StyleYu, S., Zhang, H., Zhang, J., & Li, Z. (2019). Effects of pH on High-Performance ZnO Resistive Humidity Sensors Using One-Step Synthesis. Sensors, 19(23), 5267. https://doi.org/10.3390/s19235267

