Tracking Control for Wheeled Mobile Robot Based on Delayed Sensor Measurements
Abstract
1. Introduction
- the observer is developed for trajectory tracking of a WMR in the case of delayed measurements where the delay is constant and known;
- the stability of the proposed approach is treated formally;
- the proposal of a coordinate transformation for the orientation error which results in an increased feasibility region of the LMI problem and better tracking of the reference trajectory;
- validation of the approach on the real platform of a MIABOT mobile robot.
2. Materials and Methods
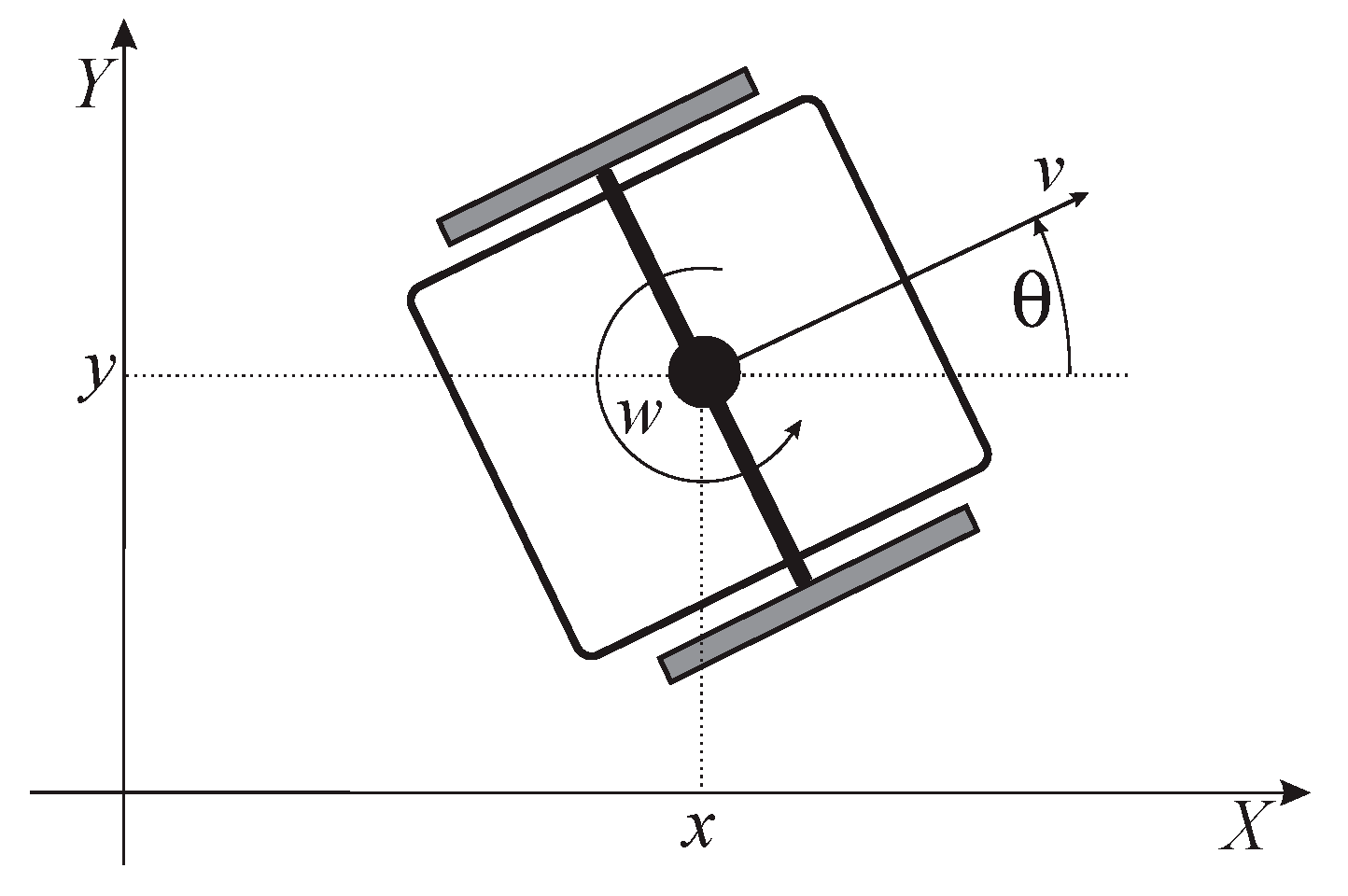
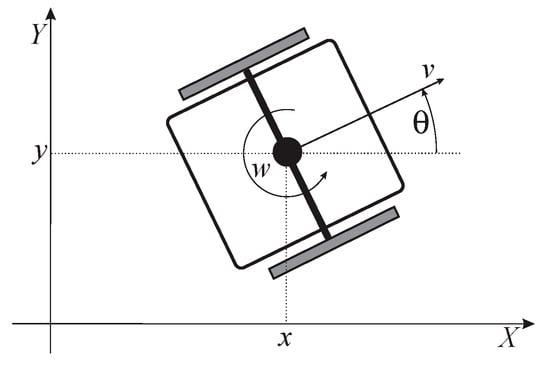
2.1. Kinematic Model of a Wheeled Mobile Robot
- Calculating the control for a kinematic model (speed control) is in general simpler than for a dynamic model (toque control).
- There are no complex geometric or inertial parameters to be identified for a kinematic model.
- Finally, very often (e.g., in the case of miniature mobile robots used in our application), the inertia parameters of the robot are relatively low, while the dynamics of the actuators and the power stage are very fast.
2.1.1. Kinematic Model
2.1.2. Kinematic Error-Model of Trajectory Tracking
2.2. Parallel Distributed Compensation Control of a WMR
2.2.1. Control Problem Statement
2.2.2. TS Fuzzy Model of a WMR
2.2.3. PDC Control of a WMR
2.3. Nonlinear Predictor Observer
2.4. TS Fuzzy Predictor Observer
- I is the identity matrix;
- acts as a disturbance.
- ;
- ;
- .
- is an identity matrix;
- R is symmetric positive definite matrix.
3. Results
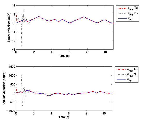
3.1. The Use of Original Tracking Error in the Control Law
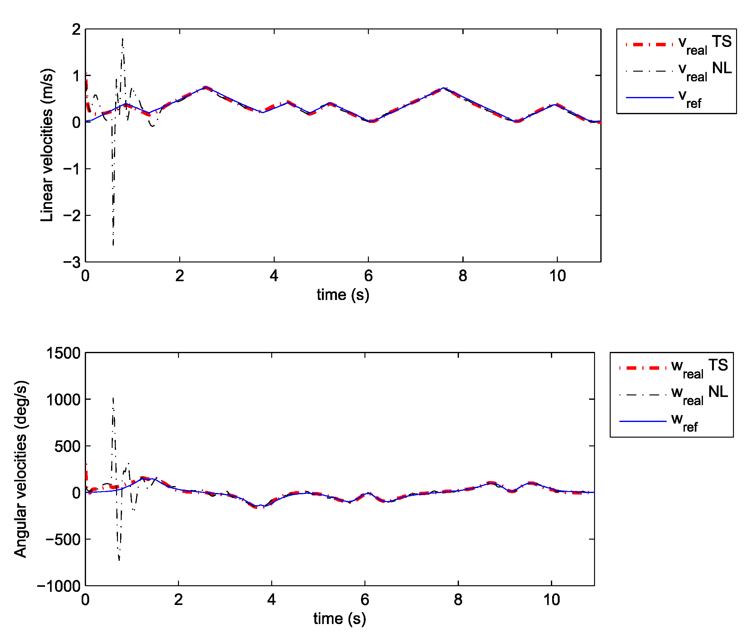
3.2. The Use of a Modified Tracking Error in the Control Law
4. Discussion
Author Contributions
Funding
Acknowledgments
Conflicts of Interest
References
- Ning, X.; Gui, M.; Zhang, J.; Fang, J.; Liu, G. Solar oscillation time delay measurement assisted celestial navigation method. Acta Astronaut. 2017, 134, 152–158. [Google Scholar] [CrossRef]
- Wood, T.A.; Ahbe, E.; Hesse, H.; Smith, R.S. Predictive Guidance Control for Autonomous Kites with Input Delay. IFAC-PapersOnLine 2017, 50, 13276–13281. [Google Scholar] [CrossRef]
- Ren, H.; Deng, F. Mean square consensus of leader-following multi-agent systems with measurement noises and time delays. ISA Trans. 2017, 71, 76–83. [Google Scholar] [CrossRef]
- Mazenc, F.; Harman, J.; Malisoff, M. Stabilization in a chemostat with sampled and delayed measurements and uncertain growth functions. Automatica 2017, 78, 241–249. [Google Scholar] [CrossRef]
- Slawiñski, E.; Mut, V.; Postigo, J.F. Teleoperation of mobile robots with time-varying delay. Robotica 2006, 24, 673–681. [Google Scholar] [CrossRef]
- Mungyu, B.; Seungho, Y.; Jongtack, J.; Seongjoon, P.; Kangho, K.; Joon, Y.-L.; Hwangnam, K. Devising mobile sensing and actuation infrastructure with drones. Sensors 2018, 18, 624. [Google Scholar]
- Khosravian, A.; Trumpf, J.; Mahony, R.; Hamel, T. Recursive attitude estimation in the presence of multi-rate and multi-delay vector measurements. In Proceedings of the American Control Conference, Chicago, IL, USA, 1–3 July 2015; pp. 3199–3205. [Google Scholar]
- Fridman, E. Tutorial on Lyapunov-based methods for time-delay systems. Eur. J. Control 2014, 20, 271–283. [Google Scholar] [CrossRef]
- De la Sen, M. Robust adaptive control of linear time-delay systems with point time-varying delays via multi-estimation. Appl. Math. Model. 2009, 33, 959–977. [Google Scholar] [CrossRef]
- Battilotti, S. Nonlinear predictors for systems with bounded trajectories and delayed measurements. Automatica 2015, 59, 127–138. [Google Scholar] [CrossRef]
- Germani, A.; Manes, C.; Pepe, P. A new approach to state observation of nonlinear systems with delayed output. IEEE Trans. Autom. Control 2002, 47, 96–101. [Google Scholar] [CrossRef]
- Karafyllis, I.; Kravaris, C. From continuous-time design to sampled-data design of observers. IEEE Trans. Autom. Control 2009, 54, 2169–2174. [Google Scholar] [CrossRef]
- Senejohnny, D.; Namvar, M. A predictor-based attitude and position estimation for rigid bodies moving in planar space by using delayed landmark measurements. Robotica 2017, 35, 1415–1430. [Google Scholar] [CrossRef]
- Kazantzis, N.; Wright, R.A. Nonlinear observer design in the presence of delayed output measurements. Syst. Control Lett. 2005, 54, 877–886. [Google Scholar] [CrossRef]
- Khosravian, A.; Trumpf, J.; Mahony, R.; Hamel, T. State estimation for invariant systems on Lie groups with delayed output measurements. Automatica 2016, 68, 254–265. [Google Scholar] [CrossRef]
- Hansen, J.M.; Fossen, T.I.; Johansen, T.A. Nonlinear observer for INS aided by time-delayed GNSS measurements: Implementation and UAV experiments. In Proceedings of the IEEE International Conference on Unmanned Aircraft Systems, Denver, CO, USA, 9–12 June 2015; pp. 157–166. [Google Scholar]
- Shen, Y.; Zhang, D.; Xia, X. Continuous observer design for a class of multi-output nonlinear systems with multi-rate sampled and delayed output measurements. Automatica 2017, 75, 127–132. [Google Scholar] [CrossRef]
- Ahmed-Ali, T.; Karafyllis, I.; Lamnabhi-Lagarrigue, F. Global exponential sampled-data observers for nonlinear systems with delayed measurements. Syst. Control Lett. 2013, 62, 539–549. [Google Scholar] [CrossRef]
- Efimov, D.; Fridman, E.; Polyakov, A.; Perruquetti, W.; Richard, J.-P. Linear interval observers under delayed measurements and delay-dependent positivity. Automatica 2016, 72, 123–130. [Google Scholar] [CrossRef]
- Vatanski, N.; Georges, J.-P.; Aubrun, C.; Rondeau, E.; Jämsä-Jounela, S.-L. Networked control with delay measurement and estimation. Control Eng. Pract. 2009, 17, 231–244. [Google Scholar] [CrossRef]
- Ahmad, S.; Rehan, M. Generalized filtering of one-sided Lipschitz nonlinear systems under measurement delays. J. Frankl. Inst. 2017, 354, 5589–5616. [Google Scholar] [CrossRef]
- Bahrami, S.; Namvar, M. Global attitude estimation using single delayed vector measurement and biased gyro. Automatica 2017, 75, 88–95. [Google Scholar] [CrossRef]
- Yamchi, M.H.; Esfanjani, R.M. Distributed predictive formation control of networked mobile robots subject to communication delay. Robot. Auton. Syst. 2017, 91, 194–207. [Google Scholar] [CrossRef]
- Guechi, E.-H.; Lauber, J.; Dambrine, M.; Klančar, G.; Blažič, S. PDC control design for nonholonomic wheeled mobile robots with delayed outputs. J. Intell. Robot. Syst. 2010, 60, 395–414. [Google Scholar] [CrossRef]
- Tanaka, K.; Wang, H.O. Fuzzy Control Systems Design and Analysis: A Linear Matrix Inequality Approach; Wiley-Interscience: New York, NY, USA, 2001; pp. 1–303. [Google Scholar]
- Blažič, S. On periodic control laws for mobile robots. IEEE Trans. Ind. Electron. 2014, 61, 3660–3670. [Google Scholar] [CrossRef]
- Fliess, M.; Levine, J.; Martin, P.; Rouchon, P. Flatness and defect of nonlinear systems: Introductory theory and examples. Int. J. Control 1995, 61, 1327–1361. [Google Scholar] [CrossRef]
- Kanayama, Y.; Kimura, Y.; Miyazaki, F.; Noguchi, T. A stable tracking control method for a non-holonomic mobile robot. In Proceedings of the IROS Conference: IEEE/RSJ International Workshop on Intelligent Robots and Systems, Osaka, Japan, 3–5 November 1991; pp. 1236–1241. [Google Scholar]
- Maalouf, E.; Saad, M.; Saliah, H. A higher level path tracking controller for a four-wheel differentially steered mobile robot. Robot. Auton. Syst. 2005, 54, 23–33. [Google Scholar] [CrossRef]
- Precup, R.-E.; Tomescu, M.L.; Preitl, S.; Petriu, E.M.; Fodor, J.; Pozna, C. Stability analysis and design of a class of MIMO fuzzy control systems. J. Intell. Fuzzy Syst. 2013, 25, 145–155. [Google Scholar]
- Tanaka, K.; Ikeda, T.; Wang, H.O. Robust stabilization of a class of uncertain nonlinear system via fuzzy control: Quadratic stabilizability, H∞ control theory and linear matrix. IEEE Trans. Fuzzy Syst. 1996, 4, 1–13. [Google Scholar] [CrossRef]
- Guechi, E.-H.; Lauber, J.; Dambrine, M.; Blažič, S.; Klančar, G. Tracking-error model based PDC control for mobile robots with acceleration limits. In Proceedings of the IEEE International Conference on Fuzzy Systems, Jeju Island, Korea, 20–24 August 2009; pp. 197–202. [Google Scholar]
- Tuan, H.D.; Apkarian, P.; Narikiyo, T.; Yamamoto, Y. Parameterized linear matrix inequality techniques in fuzzy control system design. IEEE Trans. Fuzzy Syst. 2001, 9, 324–332. [Google Scholar] [CrossRef]
- Ichalal, D.; Marx, B.; Ragot, J.; Maquin, D. Robust observer design for uncertain Takagi-Sugeno model with unmeasurable decision variables: An L2 approach. In Proceedings of the 16th IEEE Mediterranean Conference on Control and Automation, Ajaccio, France, 25–27 June 2008; pp. 274–279. [Google Scholar]
- Fridman, E.; Shaked, U. An improved stabilization method for linear time-delay systems. IEEE Trans. Autom. Control 2002, 47, 1931–1937. [Google Scholar] [CrossRef]
- Seuret, A.; Gouaisbaut, F.; Fridman, E. Stability of systems with fast-varying delay using improved wirtinger’s. In Proceedings of the 52nd IEEE Conference on Decision and Control, Florence, Italy, 10–13 December 2013; pp. 946–951. [Google Scholar]
- García-Sánchez, J.R.; Tavera-Mosqueda, S.; Silva-Ortigoza, R.; Hernández-Guzmán, V.M.; Sandoval-Gutiérrez, J.; Marcelino-Aranda, M.; Taud, H.; Marciano-Melchor, M. Robust switched tracking control for wheeled mobile robots considering the actuators and drivers. Sensors 2018, 18, 4316. [Google Scholar] [CrossRef]













© 2019 by the authors. Licensee MDPI, Basel, Switzerland. This article is an open access article distributed under the terms and conditions of the Creative Commons Attribution (CC BY) license (http://creativecommons.org/licenses/by/4.0/).
Share and Cite
Guechi, E.-H.; Belharet, K.; Blažič, S. Tracking Control for Wheeled Mobile Robot Based on Delayed Sensor Measurements. Sensors 2019, 19, 5177. https://doi.org/10.3390/s19235177
Guechi E-H, Belharet K, Blažič S. Tracking Control for Wheeled Mobile Robot Based on Delayed Sensor Measurements. Sensors. 2019; 19(23):5177. https://doi.org/10.3390/s19235177
Chicago/Turabian StyleGuechi, El-Hadi, Karim Belharet, and Sašo Blažič. 2019. "Tracking Control for Wheeled Mobile Robot Based on Delayed Sensor Measurements" Sensors 19, no. 23: 5177. https://doi.org/10.3390/s19235177
APA StyleGuechi, E.-H., Belharet, K., & Blažič, S. (2019). Tracking Control for Wheeled Mobile Robot Based on Delayed Sensor Measurements. Sensors, 19(23), 5177. https://doi.org/10.3390/s19235177

