A Novel Finger-Controlled Passive RFID Tag Design for Human–Machine Interaction
Abstract
:1. Introduction
2. Tag Design
2.1. Configuration
2.2. Mechanism and Analysis
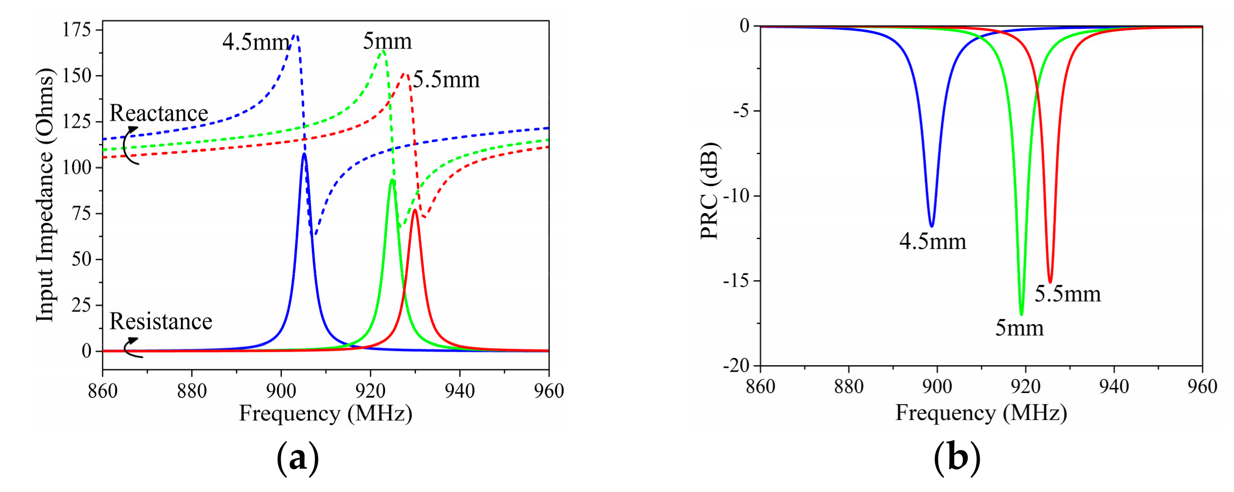
2.3. Parametric Study
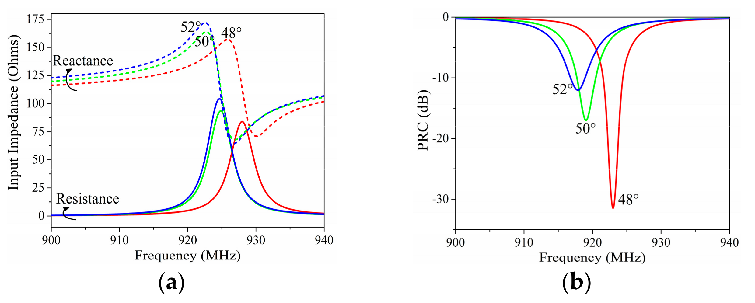
2.4. Impact of Finger
3. Tag Array
3.1. Array Structure
3.2. Simulation Results
3.3. Analysis
4. Experiments and Discussions
4.1. Single Tag Test
4.2. Tag Array Test
5. Conclusions
Author Contributions
Funding
Conflicts of Interest
References
- Sears, A.; Jacko, J.A. The Human-Computer Interaction Handbook: Fundamentals, Evolving Technologies and Emerging Applications, 2nd ed.; Lawrence Erlbaum Associates: New York, NY, USA, 2008. [Google Scholar]
- Zelinsky, A. Visual human-machine interaction. In Advanced Topics in Artificial Intelligence; Springer: Berlin/Heidelberg, Germany, 1999. [Google Scholar]
- Xbox Kinect. Available online: http://www.xbox.com/en-US/kinect/ (accessed on 15 October 2019).
- PlayStation Eye. Available online: http://asia.playstation.com/hk/en/ps4/ (accessed on 15 October 2019).
- PointGrab. Available online: http://www.pointgrab.com/ (accessed on 15 October 2019).
- wii. Available online: http://wii.com/ (accessed on 15 October 2019).
- Lughofer, E.; Smith, J.E.; Tahir, M.A.; Caleb-Solly, P.; Eitzinger, C.; Sannen, D.; Nuttin, M. Human-machine interaction issues in quality control based on online image classification. IEEE Trans. Syst. Man Cyber. Part A Syst. Hum. 2009, 39, 960–970. [Google Scholar] [CrossRef]
- Zeng, Z.; Pantic, M.; Roisman, G.I.; Huang, T.S. A survey of affect recognition methods: Audio, visual, and spontaneous expressions. IEEE Trans. Pattern Anal. Mach. Intell. 2009, 31, 39–58. [Google Scholar] [CrossRef] [PubMed]
- Parada, R.; Melia-Segui, J. Gesture detection using passive RFID tags to enable people-centric IoT applications. IEEE Commun. Mag. 2017, 55, 56–61. [Google Scholar] [CrossRef]
- Batchelor, J.C.; Rakibet, O.O.; Rumens, C.V.; Holder, S.J. Skin-mounted RFID sensing tattoos for assistive technologies. In Proceedings of the IEEE MTT-S International Microwave Workshop Series on RF and Wireless Technologies for Biomedical and Healthcare Applications (IMWS-BIO), London, UK, 8–10 December 2014. [Google Scholar]
- Xie, L.; Wang, C.; Liu, A.X.; Sun, J.; Lu, S. Multi-touch in the air: Concurrent micromovement recognition using RF signals. IEEE/ACM Trans. Netw. 2018, 26, 231–244. [Google Scholar] [CrossRef]
- Zou, Y.; Xiao, J.; Han, J.; Wu, K.; Li, Y.; Ni, L.M. GRFID: A device-free RFID-based gesture recognition system. IEEE Trans. Mob. Comput. 2017, 16, 381–393. [Google Scholar] [CrossRef]
- Bu, Y.; Xie, L.; Gong, Y.; Wang, C.; Yang, L.; Liu, J.; Lu, S. RF-Dial: An RFID-based 2D human-computer interaction via tag array. In Proceedings of the IEEE INFOCOM 2018-IEEE Conference on Computer Communications, Honolulu, HI, USA, 16–19 April 2018. [Google Scholar]
- Amendola, S.; Bianchi, L.; Marrocco, G. Movement detection of human body segments: Passive radio-frequency identification and machine-learning technologies. IEEE Antennas Propag. Mag. 2015, 57, 23–37. [Google Scholar] [CrossRef]
- Wang, L.; Gu, T.; Tao, X.; Lu, J. Toward a wearable RFID system for real-time activity recognition using radio patterns. IEEE Trans. Mob. Comput. 2017, 16, 228–242. [Google Scholar] [CrossRef]
- Kaudki, B.; Surve, A. Human fall detection using RFID technology. In Proceedings of the International Conference on Computing, Communication and Networking Technologies (ICCCNT), Bangalore, India, 10–12 July 2018. [Google Scholar]
- Hsieh, M.J.; Guo, J.L.; Lu, C.Y.; Hsieh, H.W.; Liang, R.H.; Chen, B.Y. RF Touch Pads: Batteryless and Wireless Modular Touch Sensor Pads Based on RFID. In Proceedings of the ACM Symposium, New Orleans, LA, USA, 20–23 October 2019. [Google Scholar]
- Hsieh, M.J.; Liang, R.H.; Huang, D.Y. RFIBricks: Interactive Building Blocks Based on RFID. In Proceedings of the 2018 CHI Conference on Human Factors in Computing Systems, Montréal, QC, Canada, 21–26 April 2018. [Google Scholar]
- Marrocco, G. The art of UHF RFID antenna design: Impedance-matching and size-reduction techniques. IEEE Antennas Propag. 2008, 50, 66–79. [Google Scholar] [CrossRef]
- Finkenzeller, K. RFID Handbook: Fundamentals and Applications in Contactless Smart Cards and Identification, 3rd ed.; John Wiley & Sons, Ltd.: Hoboken, NJ, USA, 2003. [Google Scholar]
- Monza 4 RFID Tag Chip Datasheet. Available online: http://support.impinj.com/hc/en-us/articles/202756908-Monza-4-RFID-Tag-Chip-Datasheet/ (accessed on 15 October 2019).
- Nikitin, P.; Rao, K.; Lam, S.; Pillai, V.; Martinez, R.; Heinrich, H. Power reflection coefficient analysis for complex impedances in RFID tag design. IEEE Trans. Microw. Theory Tech. 2005, 53, 2715–2721. [Google Scholar] [CrossRef]
- Gabriel, S.; Lau, R.W.; Gabriel, C. The dielectric properties of biological tissues III: Parametric models for the dielectric spectrum of tissues. Phys. Med. Biol. 1996, 41, 2271–2293. [Google Scholar] [CrossRef] [PubMed]
- Sarma, S.; Brock, D.; Engels, D. Radio frequency identification and the electronic product code. IEEE Micro 2001, 21, 50–54. [Google Scholar] [CrossRef]
- Rao, K.V.S.; Nikitin, P.V.; Lam, S.F. Antenna design for UHF RFID tags: A review and a practical application. IEEE Trans. Antennas Propag. 2005, 53, 3870–3876. [Google Scholar] [CrossRef]
- Chun, S.; Grudinin, D.; Lee, D.; Kim, S.-H.; Yi, G.-R.; Hwang, I. Roll-to-roll printing of silver oxide pastes and low temperature conversion to silver patterns. Chem. Mater. 2009, 21, 343–350. [Google Scholar] [CrossRef]
- Speedway R420 RAIN RFID Reader. Available online: http://www.impinj.com/platform/connectivity/speedway-r420/ (accessed on 15 October 2019).














| Tag | Input Information | Measured Data | Data Processing |
|---|---|---|---|
| [10] | Tongue Sensing | Backscattered Power | Empirical Induction |
| [11] | Finger Micromovement | Phase | Filtering and Matching |
| [12] | Gestures | Phase | Matching Algorithm |
| [13] | Rigid Transformation | Phase | Filtering and Calculation |
| [14] | Body Movement | RSS | Machine Learning |
| [15] | Human Activity | RSS | Recognition Algorithm |
| [16] | Human Fall | RSS | Machine Learning |
| Proposed | Working State/Text Input | Chip Code | No |
| Parameter | Dimension | Parameter | Dimension |
|---|---|---|---|
| Rout | 14 mm | c1 | 20° |
| w | 0.5 mm | c2 | 5° |
| d | 0.5 mm | f1 | 50° |
| Rf | 13 mm | f2 | 5° |
| Rp | 5 mm |
| Tag | Center Frequency (MHz) | Max. Realized Gain (dBi) | Calculated Max. Reading Range (m) |
|---|---|---|---|
| Single tag | 935 | 0.82 | 14.1 |
| Position 1 | 895 | 1.33 | 15.6 |
| Position 2 | 892 | 1.31 | 15.6 |
| Position 4 | 889 | 1.48 | 16.0 |
| Position 5 | 886 | 1.44 | 16.0 |
| Position Pressed | Measured Max. Range | |
|---|---|---|
| Single tag | Tag | 4.5 m |
| Tag array | 1 | 2.2 m |
| 2 | 1.9 m | |
| 4 | 1.4 m | |
| 5 | 1.3 m |
© 2019 by the authors. Licensee MDPI, Basel, Switzerland. This article is an open access article distributed under the terms and conditions of the Creative Commons Attribution (CC BY) license (http://creativecommons.org/licenses/by/4.0/).
Share and Cite
Liu, Q.; Li, H.; Yu, Y.-F.; Zhao, W.-S.; Zhang, S. A Novel Finger-Controlled Passive RFID Tag Design for Human–Machine Interaction. Sensors 2019, 19, 5125. https://doi.org/10.3390/s19235125
Liu Q, Li H, Yu Y-F, Zhao W-S, Zhang S. A Novel Finger-Controlled Passive RFID Tag Design for Human–Machine Interaction. Sensors. 2019; 19(23):5125. https://doi.org/10.3390/s19235125
Chicago/Turabian StyleLiu, Qi, Hui Li, Yu-Feng Yu, Wen-Sheng Zhao, and Shuai Zhang. 2019. "A Novel Finger-Controlled Passive RFID Tag Design for Human–Machine Interaction" Sensors 19, no. 23: 5125. https://doi.org/10.3390/s19235125
APA StyleLiu, Q., Li, H., Yu, Y.-F., Zhao, W.-S., & Zhang, S. (2019). A Novel Finger-Controlled Passive RFID Tag Design for Human–Machine Interaction. Sensors, 19(23), 5125. https://doi.org/10.3390/s19235125

