Measurement of Pulse Wave Signals and Blood Pressure by a Plastic Optical Fiber FBG Sensor
Abstract
1. Introduction
2. Principle of the FBG Sensor
3. Experimental Methods
3.1. Measurement of Pusle Wave Signals and Reference Blood Pressure
3.2. Processing and Analysis
4. Experimental Results and Discussion
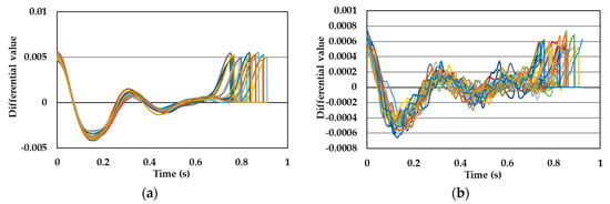
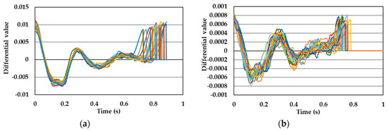
4.1. Pulse Wave Signals Measured by POF-FBG
4.2. Calculation of Blood Pressure using Pulse Wave Signals
4.3. Adequancy of Blood Pressure Measurement Using a POF-FBG Sensor
5. Conclusions
Author Contributions
Funding
Conflicts of Interest
References
- Ministry of Health, Labour and Welfare. Estimated Number of Patients (per Day), 2014 Summary of Patient Survey. Available online: https://www.mhlw.go.jp/english/database/db-hss/dl/sps_2014_01.pdf (accessed on 10 June 2019).
- Cabinet Office, Government of Japan. Situation on Aging, Annual Report on the Aging Society 2015. Available online: http://www8.cao.go.jp/kourei/english/annualreport/2015/pdf/c1-1.pdf (accessed on 10 June 2019).
- Grant, A.; James, B.; Amanda, C.B.; Abbott, D. The validity and inter-device variability of the Apple WatchTM for measuring maximal heart rate. J. Sports Sci. 2018, 36, 1447–1452. [Google Scholar]
- Mallick, B.; Patro, A.K. Heart rate monitoring system using fingertip through arduino and processing software. Int. J. Sci. Eng. Technol. Res. (IJSETR) 2016, 5, 84–89. [Google Scholar]
- Pang, Y.; Tian, H.; Tao, L.; Li, X.; Wang, X.; Deng, N.; Yang, Y.; Ren, T.L. Flexible, Highly Sensitive, and Wearable Pressure and Strain Sensors with Graphene Porous Network Structure. ACS Appl. Mater. Interfaces 2016, 8, 26458–26462. [Google Scholar] [CrossRef] [PubMed]
- Lin, H.; Xu, W.; Guan, N.; Ji, D.; Wei, Y.; Yi, W. Noninvasive and Continuous Blood Pressure Monitoring Using Wearable Body Sensor Networks. IEEE Intell. Syst. 2015, 30, 38–48. [Google Scholar] [CrossRef]
- Yilmaz, T.; Foster, R.; Hao, Y. Detecting Vital Signs with Wearable Wireless Sensors. Sensors 2010, 10, 10837–10862. [Google Scholar] [CrossRef] [PubMed]
- Chino, S.; Ishizawa, H.; Hosoya, S.; Koyama, S.; Fujimoto, K. Non-invasive Blood Pressure Measurement, The Study of Measuring Points. In Proceedings of the SICE Annual Conference 2016, Tsukuba, Japan, 20–23 September 2016; pp. 1706–1709. [Google Scholar]
- Miyauchi, Y.; Ishizawa, H.; Koyama, S.; Sato, S.; Hattori, A. Development of the Pulse Rate Measuring System by FBG Sensors. In Proceedings of the 10th JSMBE Symposium Nagano district, Nagano, Japan, 2012; pp. 13–14. [Google Scholar]
- Miyauchi, Y.; Ishizawa, Z.; Niimura, M. Measurement of Pulse Rate and Respiration Rate Using Fiber Bragg Grating Sensor. Trans. Soc. Instrum. Control Eng. 2013, 49, 1101–1105. [Google Scholar] [CrossRef][Green Version]
- Koyama, S.; Ishizawa, H.; Fujimoto, K.; Chino, S.; Kobayashi, Y. Influence of Individual Differences on the Calculation Method for FBG-Type Blood Pressure Sensors. Sensors 2017, 17, 48. [Google Scholar] [CrossRef] [PubMed]
- Sato, S.; Kawamura, M.; Miyauchi, Y.; Koyama, S.; Ishizawa, H. Simultaneous Measurement of the Pulse Rate and Respiratory Rate by Fiber Bragg Gratins Sensors. In Proceedings of the 28th SICE Sensing Forum, Yokohama, Japan, 13–14 October 2011; pp. 97–100. [Google Scholar]
- Katsuragawa, Y.; Ishizawa, H. Non-invasive Blood Pressure Measurement by Pulse Wave Analysis Using FBG sensor. In Proceedings of the 2015 IEEE International Instrument and Measurement Technology Conference (I2MTC), Pisa, Italy, 11–14 May 2015; pp. 511–515. [Google Scholar]
- Bonefacino, J.; Tam, H.Y.; Glen, T.S.; Cheng, X.; Pun, C.F.J.; Wang, J.; Lee, P.H.; Tse, M.L.V.; Boles, S.T. Ultra-fast polymer optical fiber Bragg grating inscription for medical devices. Light Sci. Appl. 2018, 7, 1–10. [Google Scholar] [CrossRef] [PubMed]
- Haseda, Y.; Ishizawa, H.; Koyama, S.; Ogawa, K.; Fujita, K.; Chino, S.; Fujimoto, K. Fundamental research of pulse wave and blood pressure measurement using passive edged filter integrated in Fiber Bragg Grating measurement system. In Proceedings of the SICE Annual Conference 2018, Nara, Japan, 11–14 September 2018; pp. 1685–1689. [Google Scholar]
- Chino, S.; Ishizawa, H.; Koyama, S.; Fujimoto, K. Influence of Installing Method on Pulse Wave Signal in Blood Pressure Prediction by FBG Sensor. In Proceedings of the 2018 IEEE International Symposium on Medical Measurements and Applications, Rome, Italy, 11–13 June 2018; pp. 570–575. [Google Scholar]














| Core (µm) | Cladding (µm) | Bragg Wavelength (nm) | |
|---|---|---|---|
| Silica-FBG sensor | 8.2 | 125 | 1543 |
| POF-FBG sensor | 5.5 | 120 | 1553 |
| Subject (Gender) | Cardiac Cycle | Number of Measurements | Value of Blood Pressure (mmHg) | ||
|---|---|---|---|---|---|
| Maximum | Minimum | Average | |||
| Calibration Data Sets | |||||
| A (male) | SBP | 80 | 124 | 99 | 113 |
| DBP | 80 | 75 | 52 | 65 | |
| B (male) | SBP | 80 | 117 | 89 | 102 |
| DBP | 80 | 77 | 55 | 64 | |
| Validation Data Sets | |||||
| A (male) | SBP | 40 | 126 | 96 | 112 |
| DBP | 40 | 72 | 59 | 66 | |
| B (male) | SBP | 40 | 111 | 93 | 101 |
| DBP | 40 | 75 | 58 | 64 | |
| Calibration | Validation | ||||
|---|---|---|---|---|---|
| Subject | Cardiac Cycle | PLS Factor | R | SEC (mmHg) | SEP (mmHg) |
| A | SBP | 4 | 0.72 | 5 | 6 |
| DBP | 4 | 0.58 | 4 | 3 | |
| B | SBP | 4 | 0.54 | 4 | 4 |
| DBP | 4 | 0.63 | 4 | 3 | |
© 2019 by the authors. Licensee MDPI, Basel, Switzerland. This article is an open access article distributed under the terms and conditions of the Creative Commons Attribution (CC BY) license (http://creativecommons.org/licenses/by/4.0/).
Share and Cite
Haseda, Y.; Bonefacino, J.; Tam, H.-Y.; Chino, S.; Koyama, S.; Ishizawa, H. Measurement of Pulse Wave Signals and Blood Pressure by a Plastic Optical Fiber FBG Sensor. Sensors 2019, 19, 5088. https://doi.org/10.3390/s19235088
Haseda Y, Bonefacino J, Tam H-Y, Chino S, Koyama S, Ishizawa H. Measurement of Pulse Wave Signals and Blood Pressure by a Plastic Optical Fiber FBG Sensor. Sensors. 2019; 19(23):5088. https://doi.org/10.3390/s19235088
Chicago/Turabian StyleHaseda, Yuki, Julien Bonefacino, Hwa-Yaw Tam, Shun Chino, Shouhei Koyama, and Hiroaki Ishizawa. 2019. "Measurement of Pulse Wave Signals and Blood Pressure by a Plastic Optical Fiber FBG Sensor" Sensors 19, no. 23: 5088. https://doi.org/10.3390/s19235088
APA StyleHaseda, Y., Bonefacino, J., Tam, H.-Y., Chino, S., Koyama, S., & Ishizawa, H. (2019). Measurement of Pulse Wave Signals and Blood Pressure by a Plastic Optical Fiber FBG Sensor. Sensors, 19(23), 5088. https://doi.org/10.3390/s19235088

