Passively Addressable Ultra-Low Volume Sweat Chloride Sensor
Abstract
1. Introduction
2. Materials and Methods
2.1. Sensor Fabrication
2.2. UV-Vis for Validation of Binding Chemistry
2.3. Zeta Potential Measurements for Validation of Electrical Neutrality of Capture Probe
2.4. Sensor Calibration in Perspired Human Sweat for Chloride Sensing
2.5. Continuous Monitoring of Chloride Ions in Human Sweat
2.6. Sweat Chloride Sensing on Human Subjects
3. Results
3.1. Binding Chemistry and Working of the Sensor Stack
3.2. Effect of Buffer pH on Surface Charge of the Capture Probe
3.3. Sensor Calibration and Evaluation of Sensor Performance by EIS and CA
3.4. Dynamic Chloride Sensing and Discussion of Continuous Data
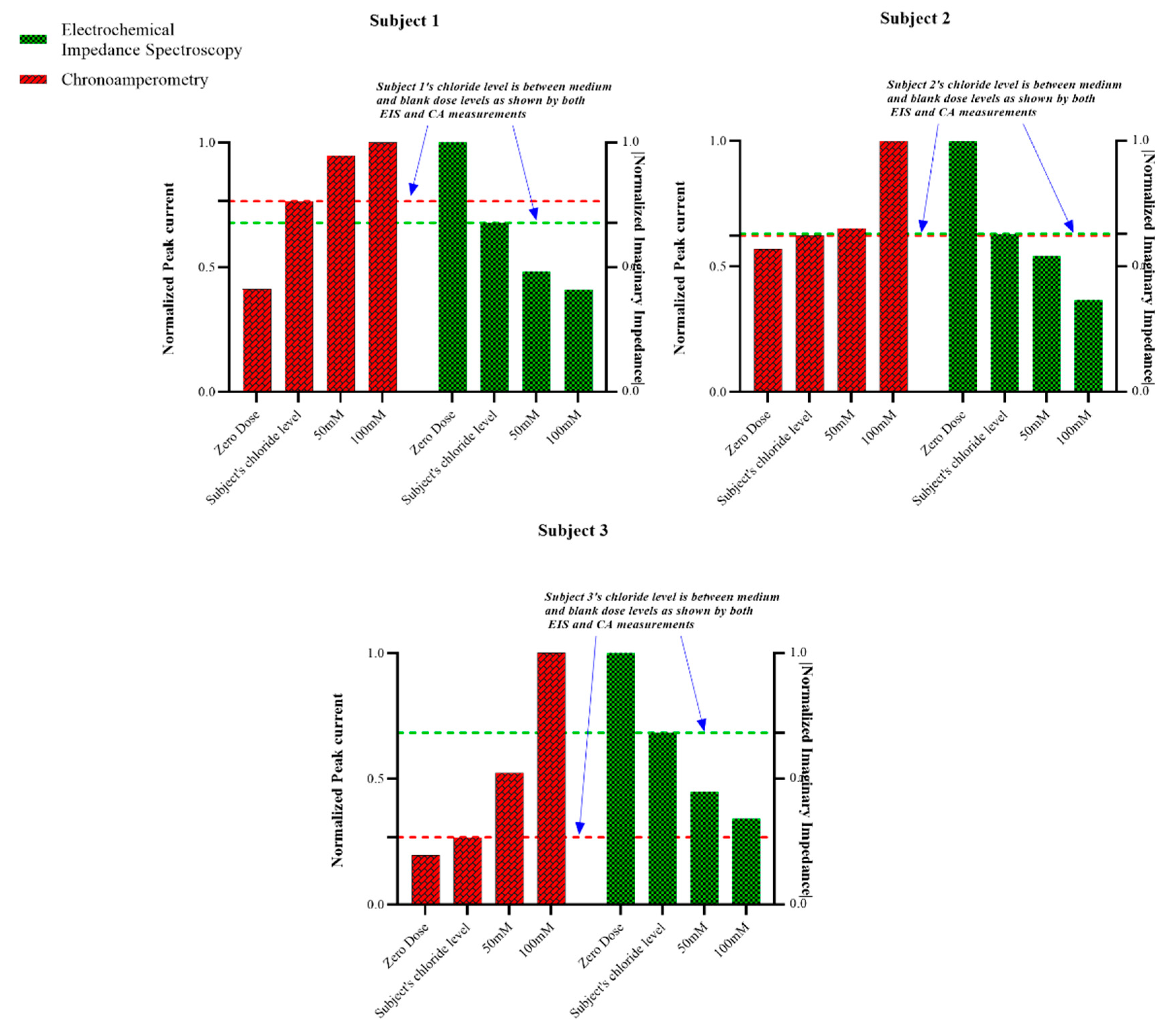
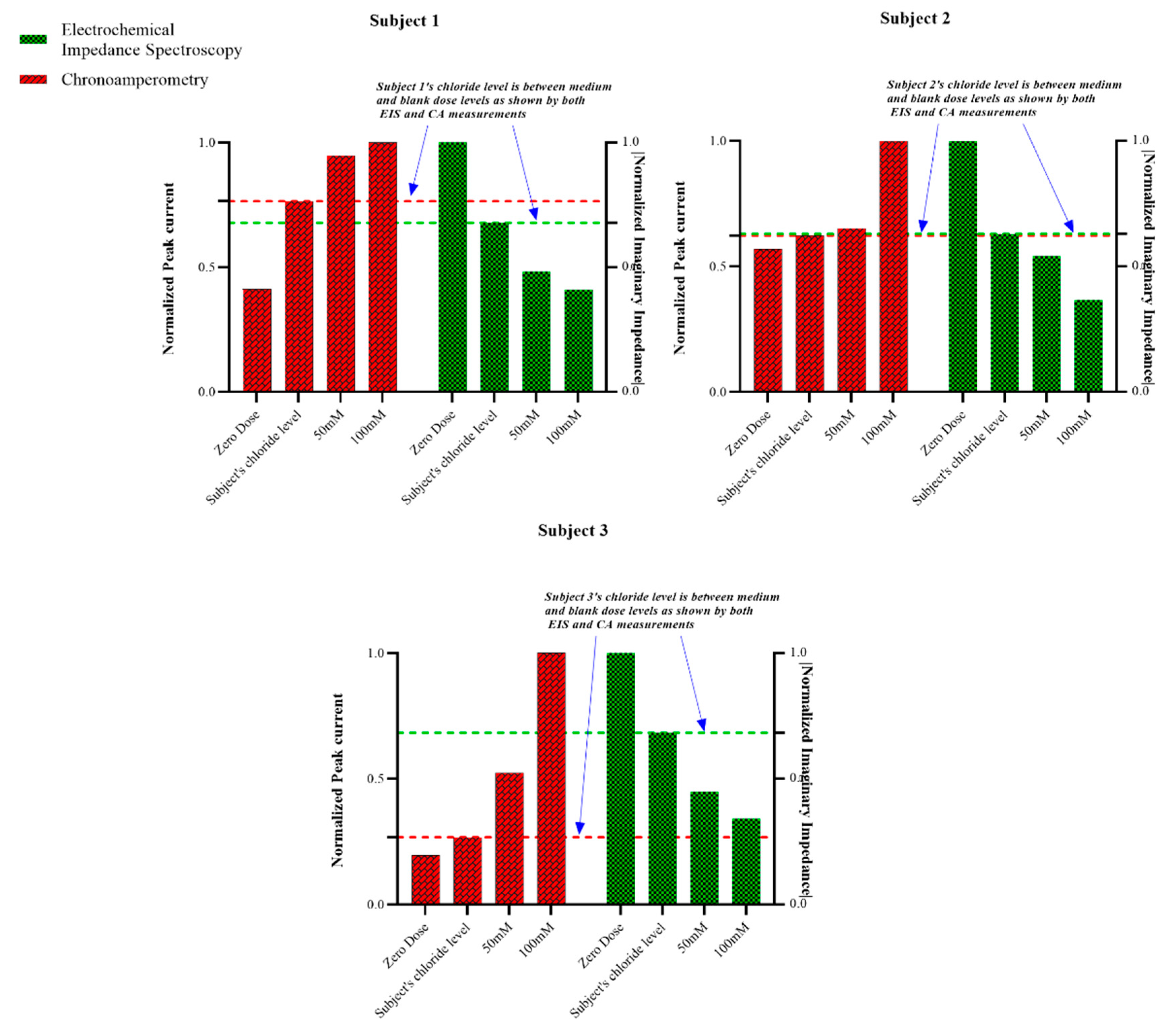
3.5. Testing Sensor Performance on Human Subjects
4. Discussion
Supplementary Materials
Author Contributions
Funding
Acknowledgments
Conflicts of Interest
References
- Su, S.B.; Poon, T.C.; Thongboonkerd, V. Human body fluid. Biomed. Res. Int. 2013, 2013, 918793. [Google Scholar] [CrossRef] [PubMed]
- Anastasova, S.; Crewther, B.; Bembnowicz, P.; Curto, V.; Ip, H.M.; Rosa, B.; Yang, G.Z. A wearable multisensing patch for continuous sweat monitoring. Biosens. Bioelectron. 2017, 93, 139–145. [Google Scholar] [CrossRef] [PubMed]
- Mena-Bravo, A.; De Castro, M.L. Sweat: A sample with limited present applications and promising future in metabolomics. J. Pharm. Biomed. Anal. 2014, 90, 139–147. [Google Scholar] [CrossRef] [PubMed]
- Kintz, P.; Tracqui, A.; Mangin, P.; Edel, Y. Sweat testing in opioid users with a sweat patch. J. Anal. Toxicol. 1996, 20, 393–397. [Google Scholar] [CrossRef]
- Heikenfeld, J. Bioanalytical devices: Technological leap for sweat sensing. Nature 2016, 529, 475–476. [Google Scholar] [CrossRef]
- Sonner, Z.; Wilder, E.; Heikenfeld, J.; Kasting, G.; Beyette, F.; Swaile, D.; Sherman, F.; Joyce, J.; Hagen, J.; Kelley-Loughnane, N.; et al. The microfluidics of the eccrine sweat gland, including biomarker partitioning, transport, and biosensing implications. Biomicrofluidics 2015, 9, 031301. [Google Scholar] [CrossRef]
- Jadoon, S.; Karim, S.; Akram, M.R.; Kalsoom Khan, A.; Zia, M.A.; Siddiqi, A.R.; Murtaza, G. Recent developments in sweat analysis and its applications. Int. J. Anal. Chem. 2015, 2015, 164974. [Google Scholar] [CrossRef]
- Seifter, J.L.; Chang, H.Y. Extracellular Acid-Base Balance and Ion Transport Between Body Fluid Compartments. Physiology 2017, 32, 367–379. [Google Scholar] [CrossRef]
- Morgan, R.M.; Patterson, M.J.; Nimmo, M.A. Acute effects of dehydration on sweat composition in men during prolonged exercise in the heat. Acta Physiol. Scand. 2004, 182, 37–43. [Google Scholar] [CrossRef]
- Baker, L.B. Sweating Rate and Sweat Sodium Concentration in Athletes: A Review of Methodology and Intra/Interindividual Variability. Sports Med. 2017, 47, 111–128. [Google Scholar] [CrossRef]
- Mishra, A.; Greaves, R.; Smith, K.; Carlin, J.B.; Wootton, A.; Stirling, R.; Massie, J. Diagnosis of cystic fibrosis by sweat testing: Age-specific reference intervals. J. Pediatr. 2008, 153, 758–763. [Google Scholar] [CrossRef] [PubMed]
- Servidoni, M.F.; Gomez, C.C.S.; Marson, F.A.L.; Toro, A.A.D.C.; Ribeiro, M.A.G.O.; Ribeiro, J.D.; Ribeiro, A.F. Grupo Colaborativo de Estudos em Fibrose Cistica Sweat test and cystic fibrosis: Overview of test performance at public and private centers in the state of Sao Paulo, Brazil. J. Bras. Pneumol. 2017, 43, 121–128. [Google Scholar] [CrossRef] [PubMed]
- Vermeulen, F.; Lebecque, P.; De Boeck, K.; Leal, T. Biological variability of the sweat chloride in diagnostic sweat tests: A retrospective analysis. J. Cyst Fibros. 2017, 16, 30–35. [Google Scholar] [CrossRef] [PubMed]
- Morris, D.; Schazmann, B.; Wu, Y.; Coyle, S.; Brady, S.; Fay, C.; Hayes, J.; Lau, K.T.; Wallace, G.; Diamond, D. Wearable technology for bio-chemical analysis of body fluids during exercise. Conf. Proc. IEEE Eng. Med. Biol. Soc. 2008, 2008, 5741–5744. [Google Scholar] [CrossRef]
- Vimieiro-Gomes, A.C.; Magalhaes, F.C.; Amorim, F.T.; Machado-Moreira, C.A.; Rosa, M.S.; Lima, N.R.; Rodrigues, L.O. Comparison of sweat rate during graded exercise and the local rate induced by pilocarpine. Braz. J. Med. Biol. Res. 2005, 38, 1133–1139. [Google Scholar] [CrossRef]
- Rattenbury, J.M.; Worthy, E. Is the sweat test safe? Some instances of burns received during pilocarpine iontophoresis. Ann. Clin. Biochem. 1996, 33, 456–458. [Google Scholar] [CrossRef]
- Schwarz, V.; Sutcliffe, C.H.; Style, P.P. Some hazards of the sweat test. Arch. Dis. Child 1968, 43, 695–701. [Google Scholar] [CrossRef]
- Choi, D.H.; Kim, J.S.; Cutting, G.R.; Searson, P.C. Wearable Potentiometric Chloride Sweat Sensor: The Critical Role of the Salt Bridge. Anal. Chem. 2016, 88, 12241–12247. [Google Scholar] [CrossRef]
- Choi, D.H.; Thaxton, A.; Jeong, I.C.; Kim, K.; Sosnay, P.R.; Cutting, G.R.; Searson, P.C. Sweat test for cystic fibrosis: Wearable sweat sensor vs. standard laboratory test. J. Cyst. Fibros. 2018, 17, e35–e38. [Google Scholar] [CrossRef]
- Toh, H.S.; Batchelor-McAuley, C.; Tschulik, K.; Compton, R.G. Electrochemical detection of chloride levels in sweat using silver nanoparticles: A basis for the preliminary screening for cystic fibrosis. Analyst 2013, 138, 4292–4297. [Google Scholar] [CrossRef]
- Parrilla, M.; Ortiz-Gómez, I.; Canovas, R.; Salinas-Castillo, A.; Cuartero, M.; Crespo, G.A. Wearable Potentiometric Ion Patch for On-Body Electrolyte Monitoring in Sweat: Towards a Validation Strategy to Ensure Physiological Relevance. Anal. Chem. 2019, 91, 8644–8651. [Google Scholar] [CrossRef] [PubMed]
- Gao, W.; Emaminejad, S.; Nyein, H.Y.Y.; Challa, S.; Chen, K.; Peck, A.; Fahad, H.M.; Ota, H.; Shiraki, H.; Kiriya, D. Fully integrated wearable sensor arrays for multiplexed in situ perspiration analysis. Nature 2016, 529, 509. [Google Scholar] [CrossRef] [PubMed]
- LaVerne Szabo, M.; Kenny, A.; Lee, W. Direct measurement of chloride in sweat with an ion-selective electrode. Clin. Chem. 1973, 19, 727–730. [Google Scholar]
- Gonzalo-Ruiz, J.; Mas, R.; de Haro, C.; Cabruja, E.; Camero, R.; Alonso-Lomillo, M.A.; Muñoz, F.J. Early determination of cystic fibrosis by electrochemical chloride quantification in sweat. Biosens. Bioelectron. 2009, 24, 1788–1791. [Google Scholar] [CrossRef] [PubMed]
- Bray, P.T.; Clark, G.; Moody, G.J.; Thomas, J. Sweat testing for cystic fibrosis: Characteristics of a combination chloride ion-selective electrode. Clin. Chim. Acta 1977, 77, 69–76. [Google Scholar] [CrossRef]
- Mathew, M.T.; Ariza, E.; Rocha, L.A.; Fernandes, A.C.; Vaz, F. TiCxOy thin films for decorative applications: Tribocorrosion mechanisms and synergism. Tribol. Int. 2008, 41, 603–615. [Google Scholar] [CrossRef]
- Munje, R.D.; Muthukumar, S.; Prasad, S. Lancet-free and label-free diagnostics of glucose in sweat using Zinc Oxide based flexible bioelectronics. Sens. Actuators B Chem. 2017, 238, 482–490. [Google Scholar] [CrossRef]
- The Diffusion Barrier Technique for Accurate and Reproducible Protein Mobility Measurement. Available online: https://www.malvernpanalytical.com/en/learn/knowledge-center/application-notes/AN120906DiffusionBarrierTechnique (accessed on 10 May 2019).
- Zetasizer Nano ZS for Protein Size, Zeta Potential, Protein Mobility and Microrheology. Available online: https://www.malvernpanalytical.com/en/products/product-range/zetasizer-range/zetasizer-nano-range/zetasizer-nano-zs (accessed on 9 May 2019).
- Xiao, K.P.; Bühlmann, P.; Nishizawa, S.; Amemiya, S.; Umezawa, Y.A. Chloride Ion-Selective Solvent Polymeric Membrane Electrode Based on a Hydrogen Bond Forming Ionophore. Anal. Chem. 1997, 69, 1038–1044. [Google Scholar] [CrossRef]
- Bühlmann, P.; Nishizawa, S.; Xiao, K.P.; Umezawa, Y. Strong Hydrogen Bond-Mediated Complexation of H2PO4-by Neutral Bis-Thiourea Hosts. Tetrahedron 1997, 5, 1647–1654. [Google Scholar] [CrossRef]
- Raina, M.A.; Khan, M.S.; Malik, S.A.; Raina, A.H.; Makhdoomi, M.J.; Bhat, J.I.; Mudassar, S. Assessment of Correlation between Sweat Chloride Levels and Clinical Features of Cystic Fibrosis Patients. J. Clin. Diagn. Res. JCDR 2016, 10, BC0–BC6. [Google Scholar] [CrossRef]
- Pagaduan, J.V.; Ali, M.; Dowlin, M.; Suo, L.; Ward, T.; Ruiz, F.; Devaraj, S. Revisiting sweat chloride test results based on recent guidelines for diagnosis of cystic fibrosis. Pract. Lab. Med. 2018, 10, 34–37. [Google Scholar] [CrossRef] [PubMed]
- Electrode Experiments: Gamry Potentiostat 4-Probe Instrument. Available online: https://www.gamry.com/application-notes/electrodes-cells/two-three-and-four-electrode-experiments/ (accessed on 10 May 2019).
- Bard, A.J.; Faulkner, L.R.; Leddy, J.; Zoski, C.G. Electrochemical Methods: Fundamentals and Applications; Wiley: New York, NY, USA, 1980. [Google Scholar]
- Scholz, F. Electroanalytical Methods; Springer: Berlin/Heidelberg, Germany, 2010. [Google Scholar]
- Daniels, J.S.; Pourmand, N. Label-free impedance biosensors: Opportunities and challenges. Electroanal. Int. J. Devoted Fundam. Pract. Asp. Electroanal. 2007, 19, 1239–1257. [Google Scholar] [CrossRef] [PubMed]
- Randviir, E.P.; Banks, C.E. Electrochemical impedance spectroscopy: An overview of bioanalytical applications. Anal. Methods 2013, 5, 1098–1115. [Google Scholar] [CrossRef]
- Orazem, M.E.; Tribollet, B. Electrochemical impedance spectroscopy. Angew. Chem. Int. Ed. 2009, 48, 1532–1534. [Google Scholar]
- Clogston, J.D.; Patri, A.K. Zeta Potential Measurement. In Characterization of Nanoparticles Intended for Drug Delivery; Springer: Berlin/Heidelberg, Germany, 2011; pp. 63–70. [Google Scholar]







© 2019 by the authors. Licensee MDPI, Basel, Switzerland. This article is an open access article distributed under the terms and conditions of the Creative Commons Attribution (CC BY) license (http://creativecommons.org/licenses/by/4.0/).
Share and Cite
Ganguly, A.; Prasad, S. Passively Addressable Ultra-Low Volume Sweat Chloride Sensor. Sensors 2019, 19, 4590. https://doi.org/10.3390/s19204590
Ganguly A, Prasad S. Passively Addressable Ultra-Low Volume Sweat Chloride Sensor. Sensors. 2019; 19(20):4590. https://doi.org/10.3390/s19204590
Chicago/Turabian StyleGanguly, Antra, and Shalini Prasad. 2019. "Passively Addressable Ultra-Low Volume Sweat Chloride Sensor" Sensors 19, no. 20: 4590. https://doi.org/10.3390/s19204590
APA StyleGanguly, A., & Prasad, S. (2019). Passively Addressable Ultra-Low Volume Sweat Chloride Sensor. Sensors, 19(20), 4590. https://doi.org/10.3390/s19204590

