Satellite Edge Computing for the Internet of Things in Aerospace
Abstract
:1. Introduction
2. Related Works
2.1. Satellite Constellation for IoT
2.2. New Concept Satellite Research
3. The Architecture and Application Scenarios of Satellite Edge Computing
3.1. iSat System
- Provide a consistent operating paradigm across multiple satellite infrastructures.
- Support large-scale, distributed space network environments.
- Support application integration, orchestration, and migration.
- Meet hardware resource limits and cost constraints.
- Capable of running on confined and unstable networks.
- Meet the needs of ultra-low latency applications.
- On-board resources can be flexibly shared with multiple users or applications.
3.1.1. Hardware Structure
- Low system integration. Each subsystem has substantial weight, high power consumption, large volume, and complicated interfaces. The optimization design is limited to the subsystem level. The overall performance cannot be guaranteed to be optimal.
- Low resource utilization. There are a lot of redundant designs in each subsystem, but these idle resources cannot be effectively utilized.
- Low bus bandwidth. The data transmission capability between subsystems is limited. It is impossible to achieve effective coordination and integrated design between systems.
- Low reusability. Each subsystem needs to be customized, resulting in poor compatibility and interchangeability. The development and expansion of the system are costly.
3.1.2. Software Architecture
3.1.3. Uploading Apps
3.2. Application Scenarios
4. System Model
4.1. Computation Model
4.2. Communication Model
4.3. Satellite Orbit Model
4.4. Time and Energy Consumption
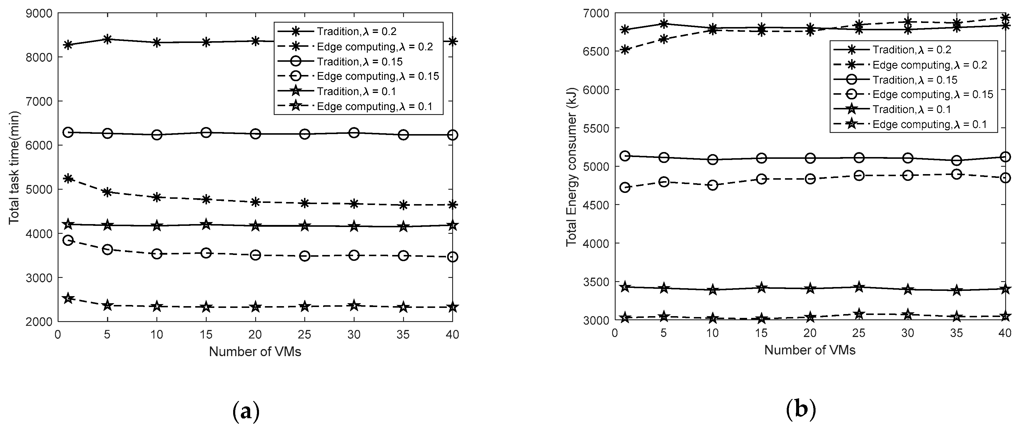
5. Performance Evaluation
- Step 1: The terrestrial user terminal generates tasks.
- Step 2: The terminal sends the task to the satellite.
- Step 3: The satellite forwards the mission to the terrestrial station.
- Step 4: The terrestrial station sends the results back to the satellite after processing.
- Step 5: The satellite sends the result back to the terrestrial terminal.
- Step 1 and Step 2 are the same as the traditional satellite processing steps.
- Step 3: iSat will choose whether to offload the task to the terrestrial cloud computing platform.
- Step 4: If the task is executed on iSat, the results will be sent back to the terminal. If the task is offloaded to the terrestrial cloud computing platform, the result is sent back to the ground terminal via satellite after the task is executed.
6. Conclusions
Author Contributions
Funding
Conflicts of Interest
References
- Al-Fuqaha, A.; Guizani, M.; Mohammadi, M.; Aledhari, M.; Ayyash, M. Internet of things: A survey on enabling technologies, protocols, and applications. IEEE Commun. Surv. Tutor. 2015, 17, 2347–2376. [Google Scholar] [CrossRef]
- Laplante, P.A.; Laplante, N. The internet of things in healthcare: Potential applications and challenges. It Prof. 2016, 18, 2–4. [Google Scholar] [CrossRef]
- Miranda, J.; Cabral, J.; Wagner, S.; Fischer Pedersen, C.; Ravelo, B.; Memon, M.; Mathiesen, M. An open platform for seamless sensor support in healthcare for the internet of things. Sensors 2016, 16, 2089. [Google Scholar] [CrossRef] [PubMed]
- Zhou, H.; Liu, B.; Wang, D. Design and research of urban intelligent transportation system based on the internet of things. In Internet of Things; Springer: Berlin/Heidelberg, Germany, 2012; pp. 572–580. [Google Scholar]
- Guo, T.; Zhong, W. Design and implementation of the span greenhouse agriculture Internet of Things system. In Proceedings of the 2015 International Conference on Fluid Power and Mechatronics (FPM), Harbin, China, 21–23 August 2015; pp. 398–401. [Google Scholar]
- Krylovskiy, A.; Jahn, M.; Patti, E. Designing a smart city internet of things platform with microservice architecture. In Proceedings of the 2015 3rd International Conference on Future Internet of Things and Cloud, Rome, Italy, 24–26 August 2015; pp. 25–30. [Google Scholar]
- Soliman, M.; Abiodun, T.; Hamouda, T.; Zhou, J.; Lung, C.-H. Smart home: Integrating internet of things with web services and cloud computing. In Proceedings of the 2013 IEEE 5th International Conference on Cloud Computing Technology and Science, Bristol, UK, 2–5 December 2013; pp. 317–320. [Google Scholar]
- Su, X.; Shao, G.; Vause, J.; Tang, L. An integrated system for urban environmental monitoring and management based on the environmental internet of things. Int. J. Sustain. Dev. World Ecol. 2013, 20, 205–209. [Google Scholar] [CrossRef]
- Qu, Z.; Zhang, G.; Cao, H.; Xie, J. LEO satellite constellation for Internet of Things. IEEE Access 2017, 5, 18391–18401. [Google Scholar] [CrossRef]
- Narayanasamy, A.; Ahmad, Y.A.; Othman, M. Nanosatellites constellation as an IoT communication platform for near equatorial countries. In IOP Conference Series: Materials Science and Engineering; IOP Publishing: Bristol, UK, 2007; p. 012028. [Google Scholar]
- Premsankar, G.; Di Francesco, M.; Taleb, T. Edge computing for the Internet of Things: A case study. IEEE Int. Things J. 2018, 5, 1275–1284. [Google Scholar] [CrossRef]
- Zhang, Q.; Gu, S.; Wang, Y.; Xue, J. Distributed data storage and transmission for space Internet of things. Chin. J. Internet Things 2019, 2, 22–30. [Google Scholar]
- Bittencourt, L.; Immich, R.; Sakellariou, R.; Fonseca, N.; Madeira, E.; Curado, M.; Villas, L.; da Silva, L.; Lee, C.; Rana, O. The internet of things, fog and cloud continuum: Integration and challenges. Int. Things 2018, 3, 134–155. [Google Scholar] [CrossRef]
- Dautov, R.; Distefano, S.; Bruneo, D.; Longo, F.; Merlino, G.; Puliafito, A. Data processing in cyber-physical-social systems through edge computing. IEEE Access 2018, 6, 29822–29835. [Google Scholar] [CrossRef]
- Cochetti, R. Mobile Satellite Communications Handbook; Wiley Online Library: New York, NY, USA, 2015. [Google Scholar]
- Deckett, M. ORBCOMM-A description and status of the LEO satellite mobile data communication system. In Proceedings of the 15th International Communicatons Satellite Systems Conference and Exhibit, San Diego, CA, USA, 28 February–3 March 1994; p. 1135. [Google Scholar]
- Turner, J.; Agardy, F. The Advanced Research and Global Observation Satellite Program (ARGOS). In Proceedings of the Space Programs and Technologies Conference and Exhibit, Huntsville, AL, USA, 27–29 September 1994; p. 4580. [Google Scholar]
- Nugent, R.; Munakata, R.; Chin, A.; Coelho, R.; Puig-Suari, J. CubeSat: The Pico-Satellite Standard for Research and Education. Mol. Syst. Biol. 2008, 11, 761–765. [Google Scholar]
- Fronterhouse, D.; Lyke, J.; Achramowicz, S. Plug-and-play Satellite (PnPSat). In Proceedings of the AIAA Infotech@ Aerospace 2007 Conference and Exhibit, Rohnert Park, CA, USA, 7–10 May 2007. [Google Scholar]
- Jaeger, T.; Mirczak, W. Satlets—The Building Blocks of Future Satellites-And Which Mold Do You Use? In Proceedings of the AIAA SPACE 2013 Conference and Exposition, San Diego, CA, USA, 10–12 September 2013. [Google Scholar]
- Fenech, H.; Sonya, A.; Tomatis, A.; Soumpholphakdy, V.; Merino, J.L.S. Eutelsat Quantum: A Game Changer. In Proceedings of the 33rd AIAA International Communications Satellite Systems Conference and Exhibition, Queensland, Australia, 7–10 September 2015. [Google Scholar]
- Zhang, Z.; Zhang, W.; Tseng, F.-H. Satellite mobile edge computing: Improving QoS of high-speed satellite-terrestrial networks using edge computing techniques. IEEE Netw. 2019, 33, 70–76. [Google Scholar] [CrossRef]
- Yan, L.; Cao, S.; Gong, Y.; Han, H.; Wei, J.; Zhao, Y.; Yang, S. SatEC: A 5G Satellite Edge Computing Framework Based on Microservice Architecture. Sensors 2019, 19, 831. [Google Scholar] [CrossRef]
- Courbot, A.; Grimaud, G.; Vandewalle, J.J. Efficient Off-Board Deployment and Customization of Virtual Machine-Based Embedded Systems. ACM Trans. Embed. Comput. Syst. 2010, 9, 1–53. [Google Scholar] [CrossRef]
- Mulfari, D.; Fazio, M.; Celesti, A.; Villari, M.; Puliafito, A. Design of an IoT Cloud System for Container Virtualization on Smart Objects. In European Conference on Service-Oriented and Cloud Computing; Springer: Champaign, IL, USA, 2015. [Google Scholar]
- Bedon, H.; Miguel, C.; Fernandez, A.; Park, J.S. A DTN system for nanosatellite-based sensor networks using a new ALOHA multiple access with gateway priority. SmartCR 2013, 3, 383–396. [Google Scholar] [CrossRef]
- Chen, X. Decentralized computation offloading game for mobile cloud computing. IEEE Trans. Parallel Distrib. Syst. 2014, 26, 974–983. [Google Scholar] [CrossRef]
- Li, H. Multi-task Offloading and Resource Allocation for Energy-Efficiency in Mobile Edge Computing. Int. J. Comput. Tech. 2018, 5, 5–13. [Google Scholar]
- Burd, T.D.; Brodersen, R.W. Processor design for portable systems. J. VLSI Signal Process. Syst. Signal Image Video Technol. 1996, 13, 203–221. [Google Scholar] [CrossRef]
- Chen, X.; Jiao, L.; Li, W.; Fu, X. Efficient multi-user computation offloading for mobile-edge cloud computing. IEEE/ACM Trans. Netw. 2015, 24, 2795–2808. [Google Scholar] [CrossRef]
- You, C.; Huang, K.; Chae, H.; Kim, B.-H. Energy-efficient resource allocation for mobile-edge computation offloading. IEEE Trans. Wirel. Commun. 2016, 16, 1397–1411. [Google Scholar] [CrossRef]








| Parameters | Value |
|---|---|
| Number of Planes | 6 |
| Number of Satellite per Planes | 11 |
| Semimajor Axis | 7159.14 km |
| Inclination | 86.4° |
© 2019 by the authors. Licensee MDPI, Basel, Switzerland. This article is an open access article distributed under the terms and conditions of the Creative Commons Attribution (CC BY) license (http://creativecommons.org/licenses/by/4.0/).
Share and Cite
Wang, Y.; Yang, J.; Guo, X.; Qu, Z. Satellite Edge Computing for the Internet of Things in Aerospace. Sensors 2019, 19, 4375. https://doi.org/10.3390/s19204375
Wang Y, Yang J, Guo X, Qu Z. Satellite Edge Computing for the Internet of Things in Aerospace. Sensors. 2019; 19(20):4375. https://doi.org/10.3390/s19204375
Chicago/Turabian StyleWang, Yuxuan, Jun Yang, Xiye Guo, and Zhi Qu. 2019. "Satellite Edge Computing for the Internet of Things in Aerospace" Sensors 19, no. 20: 4375. https://doi.org/10.3390/s19204375
APA StyleWang, Y., Yang, J., Guo, X., & Qu, Z. (2019). Satellite Edge Computing for the Internet of Things in Aerospace. Sensors, 19(20), 4375. https://doi.org/10.3390/s19204375
