Phaseless Terahertz Coded-Aperture Imaging Based on Incoherent Detection
Abstract
1. Introduction
2. System Configuration and Matrix Imaging Equation
2.1. Phaseless Terahertz Coded-Aperture Imaging (PTCAI) System with Single Incoherent Detector
2.2. PTCAI System with Incoherent Detector Array
3. Target Reconstruction Principle and Algorithms
4. Numerical Experiments and Discussion
4.1. Comparisons between Conventional TCAI and PTCAI with Single Detector
4.2. Analyses of the Number of Detection Data for PTCAI with Single Incoherent Detector
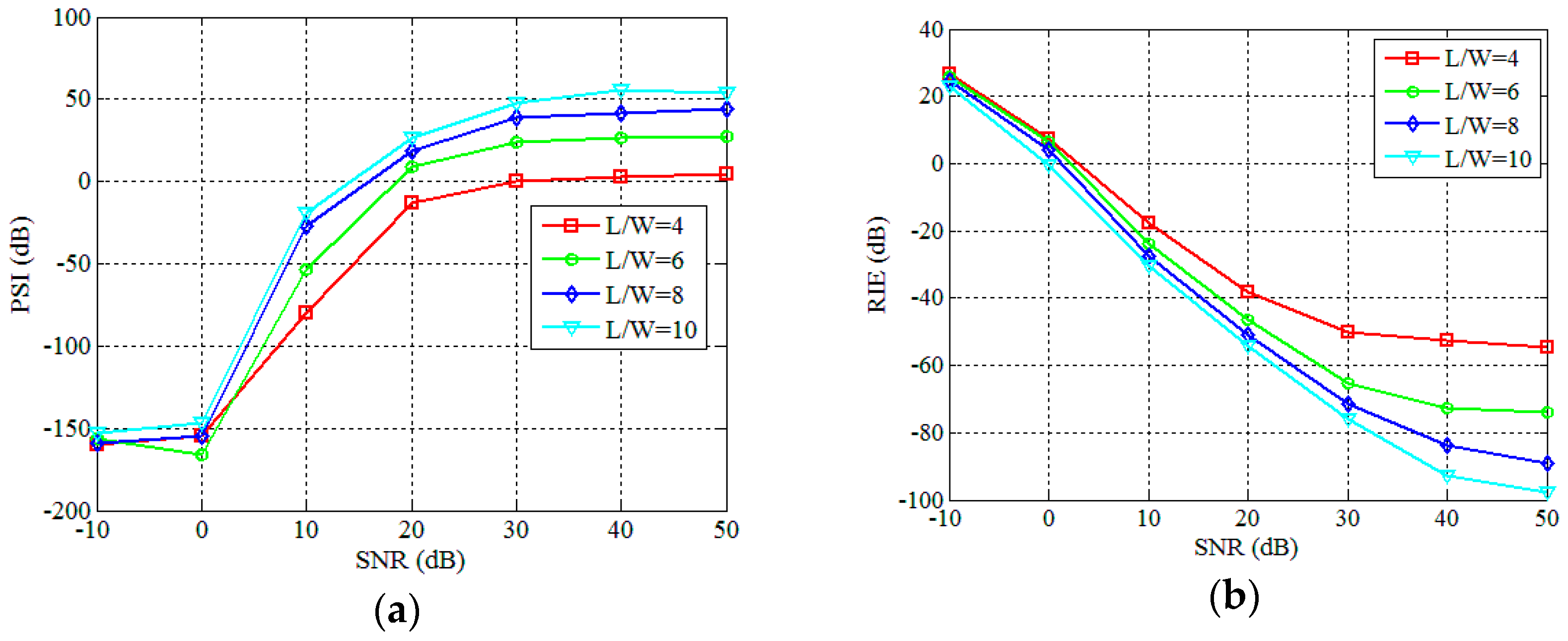
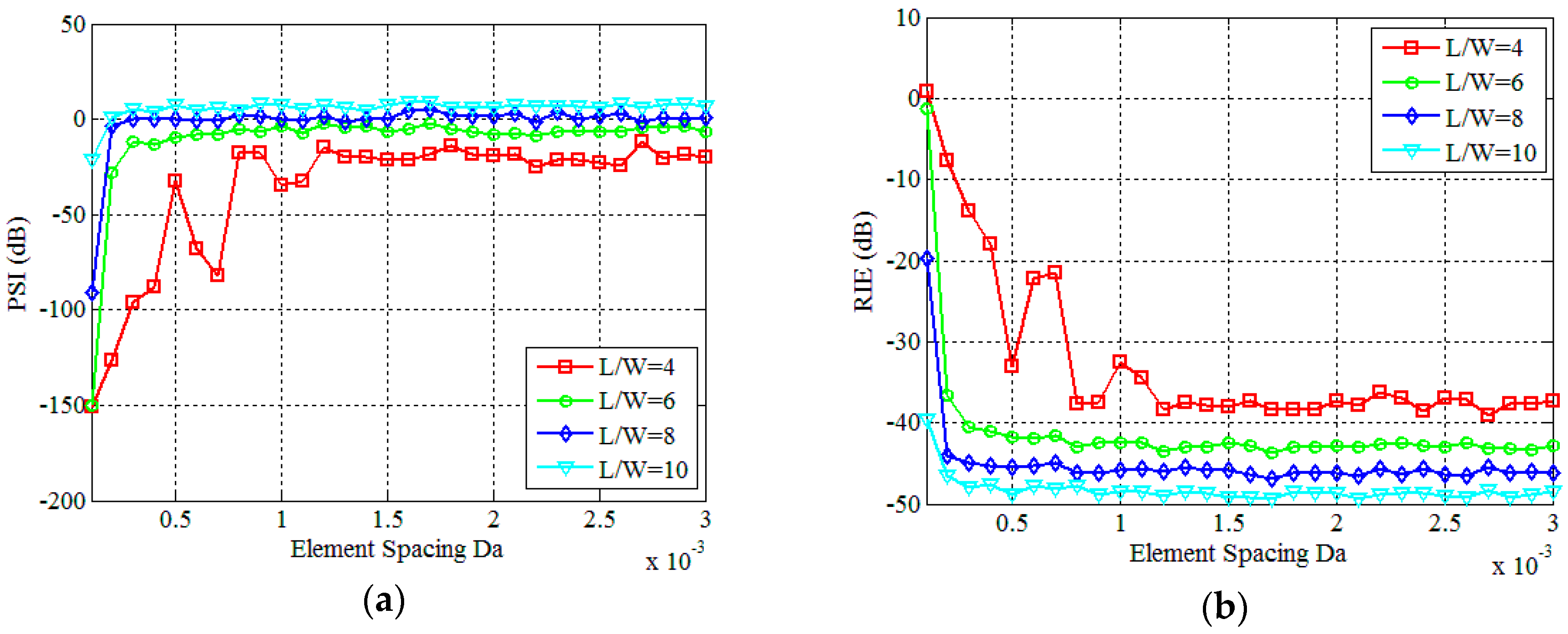
4.3. Parameter Analyses of the Incoherent Detector Array
5. Conclusions
Author Contributions
Funding
Conflicts of Interest
References
- Cooper, K.B.; Dengler, R.J.; Llombart, N.; Thomas, B.; Chattopadhyay, G.; Siegel, P.H. THz Imaging Radar for Standoff Personnel Screening. IEEE Trans. Terahertz Sci. Technol. 2011, 1, 169–182. [Google Scholar] [CrossRef]
- Liu, Z.; Tan, S.; Wu, J.; Li, E.; Xia, S.; Han, S. Spectral Camera based on Ghost Imaging via Sparsity Constraints. Sci. Rep.-UK 2016, 6, 25718. [Google Scholar] [CrossRef] [PubMed]
- Yu, H.; Lu, R.; Han, S.; Xie, H.; Du, G.; Xiao, T.; Zhu, D. Fourier-Transform Ghost Imaging with Hard X Rays. Phys. Rev. Lett. 2016, 117, 113901. [Google Scholar] [CrossRef] [PubMed]
- Li, D.; Li, X.; Qin, Y.; Cheng, Y.; Wang, H. Radar coincidence imaging: An instantaneous imaging technique with stochastic signals. IEEE Trans. Geosci. Remote Sens. 2014, 52, 2261–2277. [Google Scholar]
- Li, D.; Li, X.; Cheng, Y.; Qin, Y.; Wang, H. Radar coincidence imaging under grid mismatch. ISRN Signal Proc. 2014, 2014, 987803. [Google Scholar] [CrossRef]
- Watts, C.M.; Shrekenhamer, D.; Montoya, J.; Lipworth, G.; Hunt, J.; Sleasman, T.; Krishna, S.; Smith, D.R.; Padilla, W.J. Terahertz compressive imaging with metamaterial spatial light modulators. Nat. Photonics 2014, 8, 605–609. [Google Scholar] [CrossRef]
- Li, Y.B.; Li, L.L.; Xu, B.B.; Wu, W.; Wu, R.Y.; Wan, X.; Cheng, Q.; Cui, T.J. Transmission-type 2-bit programmable metasurface for single-sensor and single-frequency microwave imaging. Sci. Rep.-UK 2016, 6, 23731. [Google Scholar] [CrossRef]
- Gollub, J.N.; Yurduseven, O.; Trofatter, K.P.; Arnitz, D.; Imani, M.F.; Sleasman, T.; Boyarsky, M.; Rose, A.; Pedross-Engel, A.; Odabasi, H. Large metasurface aperture for millimeter wave computational imaging at the human-scale. Sci. Rep.-UK 2017, 7, 42650. [Google Scholar] [CrossRef]
- Tribe, W.R.; Newnham, D.A.; Taday, P.F.; Kemp, M.C. Hidden object detection: Security applications of terahertz technology. Proc. SPIE 2004, 5354. [Google Scholar] [CrossRef]
- Sheen, D.M.; Hall, T.E.; Severtsen, R.H.; McMakin, D.L.; Hatchell, B.K.; Valdez, P.L. Standoff concealed weapon detection using a 350-GHz radar imaging system. Proc. SPIE 2010, 7670. [Google Scholar] [CrossRef]
- Friederich, F.; Von Spiegel, W.; Bauer, M.; Meng, F.; Thomson, M.D.; Boppel, S.; Lisauskas, A.; Hils, B.; Krozer, V.; Keil, A. THz active imaging systems with real-time capabilities. IEEE Trans. Terahertz Sci. Technol. 2011, 1, 183–200. [Google Scholar] [CrossRef]
- Brown, W.M. Synthetic aperture radar. IEEE Trans. Aerosp. Electron. Syst. 1967, AES-3, 217–229. [Google Scholar] [CrossRef]
- Ulander, L.M.; Hellsten, H.; Stenstrom, G. Synthetic-aperture radar processing using fast factorized back-projection. IEEE Trans. Aerosp. Electron. Syst. 2003, 39, 760–776. [Google Scholar] [CrossRef]
- Hillenbrand, R.; Keilmann, F. Complex optical constants on a subwavelength scale. Phys. Rev. Lett. 2000, 85, 3029. [Google Scholar] [CrossRef] [PubMed]
- Wolf, E. Determination of the amplitude and the phase of scattered fields by holography. JOSA 1970, 60, 18–20. [Google Scholar] [CrossRef]
- Wehner, D.R. High Resolution Radar; Norwood Ma Artech House Inc.: Norwood, MA, USA, 1987. [Google Scholar]
- Liu, L.; Xu, H.; Duan, Y.; Lichtenberger, A.W.; Hesler, J.L.; Weikle, R.M. A 200 GHz Schottky diode Quasi-optical detector based on folded dipole antenna. In Proceedings of the 20th International Symposium on Space Terahertz Technology, Charlottesville, VA, USA, 20–22 April 2009. [Google Scholar]
- Rogalski, A.; Sizov, F. Terahertz detectors and focal plane arrays. Opto-Electron. Rev. 2011, 19, 346–404. [Google Scholar] [CrossRef]
- Shechtman, Y.; Eldar, Y.C.; Cohen, O.; Chapman, H.N.; Miao, J.; Segev, M. Phase retrieval with application to optical imaging: A contemporary overview. IEEE Signal Proc. Mag. 2015, 32, 87–109. [Google Scholar] [CrossRef]
- Fienup, J.R. Reconstruction of an object from the modulus of its Fourier transform. Opt. Lett. 1978, 3, 27–29. [Google Scholar] [CrossRef] [PubMed]
- Fienup, J.R. Phase retrieval algorithms: A comparison. Appl. Opt. 1982, 21, 2758–2769. [Google Scholar] [CrossRef]
- Gerchberg, R.W. A practical algorithm for the determination of phase from image and diffraction plane pictures. Optik 1972, 35, 237–246. [Google Scholar]
- Chen, S.; Luo, C.; Deng, B.; Wang, H.; Cheng, Y.; Zhuang, Z. Three-dimensional terahertz coded-aperture imaging based on single input multiple output technology. Sensors 2018, 18, 303. [Google Scholar] [CrossRef]
- Chen, S.; Luo, C.; Deng, B.; Qin, Y.; Wang, H. Study on coding strategies for radar coded-aperture imaging in terahertz band. J. Electron. Imaging 2017, 26, 53022. [Google Scholar] [CrossRef]
- Donoho, D.L. Compressed sensing. IEEE Trans. Inf. Theory 2006, 52, 1289–1306. [Google Scholar] [CrossRef]
- Shaobing, C.; Donoho, D. Basis pursuit. In Proceedings of the 28th Asilomar Conference Signals, Systems Computers, Pacific Grove, CA, USA, 31 October–2 November 1994. [Google Scholar]
- Pati, Y.C.; Rezaiifar, R.; Krishnaprasad, P.S. Orthogonal matching pursuit: Recursive function approximation with applications to wavelet decomposition. In Proceedings of the1993 Conference Record of the Twenty-Seventh Asilomar, Pacific Grove, CA, USA, 1–3 November 1993. [Google Scholar]
- Li, C. An Efficient Algorithm for Total Variation Regularization with Applications to the Single Pixel Camera and Compressive Sensing. Master’s Thesis, Rice University, Houston, TX, USA, September 2009. [Google Scholar]
- Candes, E.J.; Li, X.; Soltanolkotabi, M. Phase retrieval via Wirtinger flow: Theory and algorithms. IEEE Trans. Inf. Theory 2015, 61, 1985–2007. [Google Scholar] [CrossRef]
- Chen, Y.; Candes, E. Solving random quadratic systems of equations is nearly as easy as solving linear systems. In Advances in Neural Information Processing Systems; Neural Information Processing Systems Fundation, Inc.: Montreal, QC, Canada, 2015. [Google Scholar]
- Jiang, X.; Rajan, S.; Liu, X. Wirtinger Flow Method with Optimal Stepsize for Phase Retrieval. IEEE Signal Process. Lett. 2016, 23, 1627–1631. [Google Scholar] [CrossRef]
- Qin, H.; Yu, Y.; Sun, J. Characterization of field-effect terahertz detectors by using terahertz time-domain spectroscopy. In International Symposium on Ultrafast Phenomena and Terahertz Waves; Optical Society of America: Washington, DC, USA, 2018. [Google Scholar]
- Zhou, X.; Wang, H.; Cheng, Y.; Qin, Y. Radar coincidence imaging with phase error using Bayesian hierarchical prior modeling. J. Electron. Imaging 2016, 25, 13018. [Google Scholar] [CrossRef]
- Gogineni, S.; Nehorai, A. Target estimation using sparse modeling for distributed MIMO radar. IEEE Trans. Signal Process. 2011, 59, 5315–5325. [Google Scholar] [CrossRef]














| Parameter | Value |
|---|---|
| Center frequency | 340 GHz |
| Pulse width | 100 μs |
| Bandwidth | 12 GHz |
| Imaging distance | 10 m |
| The size of the coded aperture | |
| The number of elements in the coded aperture | |
| The size of the grid cells in the imaging plane | |
| The number of grid cells in the imaging plane | |
| The distance between the coded aperture and the receiver | 0.1 m |
| Detecting Mode | Algorithms | Probability of Successful Imaging (PSI) (dB) | Relative Imaging Error (RIE) (dB) | Number of Detection Data | Runtime (s) |
|---|---|---|---|---|---|
| Coherent detection (TCAI) | TVAL3 | 9.825 | −35.931 | 450 | 0.279 |
| Incoherent detection (PTCAI) | WFOS | 10.691 | −44.131 | 4500 | 1.463 |
| Incoherent detection (PTCAI) | TWF | 0.134 | −12.653 | 27,000 | 40.466 |
© 2019 by the authors. Licensee MDPI, Basel, Switzerland. This article is an open access article distributed under the terms and conditions of the Creative Commons Attribution (CC BY) license (http://creativecommons.org/licenses/by/4.0/).
Share and Cite
Peng, L.; Luo, C.; Deng, B.; Wang, H.; Qin, Y.; Chen, S. Phaseless Terahertz Coded-Aperture Imaging Based on Incoherent Detection. Sensors 2019, 19, 226. https://doi.org/10.3390/s19020226
Peng L, Luo C, Deng B, Wang H, Qin Y, Chen S. Phaseless Terahertz Coded-Aperture Imaging Based on Incoherent Detection. Sensors. 2019; 19(2):226. https://doi.org/10.3390/s19020226
Chicago/Turabian StylePeng, Long, Chenggao Luo, Bin Deng, Hongqiang Wang, Yuliang Qin, and Shuo Chen. 2019. "Phaseless Terahertz Coded-Aperture Imaging Based on Incoherent Detection" Sensors 19, no. 2: 226. https://doi.org/10.3390/s19020226
APA StylePeng, L., Luo, C., Deng, B., Wang, H., Qin, Y., & Chen, S. (2019). Phaseless Terahertz Coded-Aperture Imaging Based on Incoherent Detection. Sensors, 19(2), 226. https://doi.org/10.3390/s19020226

