Optimal Number of Message Transmissions for Probabilistic Guarantee of Latency in the IoT
Abstract
:1. Introduction
1.1. Context
- end-to-end reliability, denoted R: the data generated by any sensor node must be delivered to the sink with a probability greater than or equal to R. A value of is frequent. In industry, a value of is targeted.
- end-to-end latency, denoted L: since, on the one hand, the role of the network is to collect data generated by wireless sensor nodes that are deployed in the area covered by this network and, on the other hand, only up-to-date information can be used to take accurate decisions, the time elapsed between data generation and data delivery to the sink is defined as the end-to-end latency. A value less than one second is usual.
- network lifetime, denoted T: since most IoT devices are battery operated, the goal of the network is to maximize its lifetime defined as the time when the first device has exhausted its battery. The importance of this requirement increases with the difficulty or the cost of replacing a battery in the environment concerned. A lifetime of several years (e.g., 3 years) is usual.
1.2. Contributions
2. Related Work
- The quality of any wireless link can be classified as good, intermediate or bad. The challenge lies in an accurate estimation of the intermediate link quality.
- An ideal link quality estimator should be [10] energy efficient (i.e., requiring low processing, communication and memory overhead), accurate (i.e., reflecting the real link behavior), reactive (i.e., able to promptly react to persistent link state changes) and stable (i.e., able to tolerate transient link state changes).
- To better reflect the real behavior of a link, several link properties should be taken into account. That is why link quality estimators tend to combine several simple estimators [14] and use sophisticated techniques (e.g., simple average, filtering, machine learning [15,16], regression, and fuzzy logic [17,18]) to produce a metric from link measurements.
3. Optimal Retransmission Estimation
3.1. Assumptions and Basic Properties
3.2. A Fair Method
| Algorithm 1:: compute the number of transmissions on each link j to reach a reliability over this link per message of flow f visiting h links. |
| Require:R the targeted end-to-end reliability, = the success probability of receiving the acknowledgment after a single message transmission over link j with Ensure: is the minimum number of transmissions on link j to achieve for each link j do if then else end if end for |
3.3. An Optimal Method
| Algorithm 2:: Compute the number of transmissions on link j to achieve an end-to end reliability and minimize the total number of transmissions per message of flow f visiting h links |
| Require:R the targeted end-to-end reliability , =the probability of successful acknowledgment receipt after a single transmission over link j with Ensure: is the minimum number of transmissions to achieve R for each link j do if then else end if end for while do Select the link j maximizing If several links provide the same , take the farthest link j from the sink end while |
3.4. Expected vs. Maximum Number of Transmissions
4. Framework for a TSCH Network
4.1. TSCH Network
4.2. Scheduling Function
4.3. Computation of Key Performance Indicators
- The maximum end-to-end latency L is the maximum time elapsed between data generation by a sensor node and its delivery to the sink. To compute this value within the framework defined in Section 4.2, we make an additional assumption:Assumption 4.The maximum number of message transmissions on a link, denoted as , a parameter of the MAC TSCH protocol, is dynamically tuned according to the value computed by or .With Assumption 4, the maximum end-to-end latency [27] is obtained when the last slot assigned to the node considered has just elapsed and then only the last transmission of the message is successful. This gives:where is the number of slots used by the schedule for data gathering. Hence, the smallest maximum end-to-end latency that can be achieved is obtained by an optimal schedule, which uses the minimum number of slots for data gathering and for a slotframe duration equal to this number of slots. This smallest maximum latency is equal to
- The end-to-end reliability R provided by the network. It is evaluated by the ratio of the total number of user-data messages sent by the sensor nodes over the total number of user-data messages delivered to the sink.
- Network lifetime T is defined as the time the first node runs out of battery. Network lifetime can be expressed as:where denotes the initial energy of node N, is the average energy consumption of N per slotframe, and is the slotframe duration.
4.4. Generalization of the Theoretical Bound on the Maximum Latency
5. Performance Results for a Toy Example
5.1. Number of Transmissions and End-To-End Reliability
- The maximum number of transmissions per message over a link increases, when the link quality decreases.
- Both methods provide the same maximum number of transmissions for all single-hop flows.
- The total number of transmissions per message of any given multi-hop flow obtained by is always less than or equal to that obtained by . For instance, for (see Table 3), we observe a gain on the total number of transmissions per message and per flow, which is equal to 1 for the 2-hop flows (i.e., flows originating from C and E), and for the 3-hop flow originating from D. This gain becomes 2 for the 4-hop flow originating from G and 3 for the 4-hop flow originating from H. To summarize the results obtained for the six multi-hop flows considered, we observe five improvements for , four improvements for , two improvements for , four improvements for and five improvements for , leading to a total of 20 improvements over the 30 cases tested.
- Even if the total number of transmissions is the same for both methods, the distribution over the links may differ as exemplified in Table 7 by the flow originating from D, where gets an end-to-end reliability of , whereas gets a slightly less value . Hence, provides the smallest total number of transmissions per flow and, if equal with , provides the highest end-to-end reliability.
- With , two links having the same link quality always have the same maximum number of transmissions for the same flow, as exemplified in all tables by the flow originating from H, where the links and have the same quality. However, this is not always the case with ; see, for instance, this flow in Table 4, where the maximum transmission number for link is 9, whereas it is 8 for link . Since the nodes close to the sink usually have a larger load, decreasing their load improves the network performances. Notice, however, that the maximum number of transmissions on a given link depends on the flow. For instance, the maximum number of transmissions on Link is equal to 11 for all flows, except the flow originating at B, where it is 10, for a targeted .
- The number of iterations of never exceeds in all the cases evaluated.
5.2. Load-Based Scheduling
6. Performance Results of a TSCH Network with 50 Nodes
6.1. Simulation Parameters
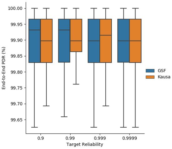
6.2. End-To-End Delivery Rate
6.3. End-To-End Latency
6.4. Duty Cycle
6.5. Impact of , a TSCH Parameter
7. Comparison with
7.1. Our Implementation in the 6TiSCH Simulator
- selects first the flow requesting the highest end-to-end reliability, then the shortest end-to-end latency and finally the flow originating from the farthest node of the sink. Our approach selects the flow originating from the most loaded sensor node (i.e., the sensor node needing the largest number of Tx+Rx cells).
- For any flow f, starts by assigning cells to the most loaded node visited by f. Then, goes backward to the source of f. Finally, goes upward from the most loaded node to the sink. In our approach, cells are assigned to nodes visited by f in a cascading way from the source of f up to the sink. It follows that our approach is easier to implement.
- For any flow f, minimizes the number of retransmissions on the most loaded node, whereas we minimize the total number of retransmissions on the path of f.
7.2. End-To-End Latency
7.3. End-To-End Reliability
7.4. Duty Cycle
7.5. Schedule Size
8. Conclusions
Author Contributions
Funding
Acknowledgments
Conflicts of Interest
References
- Delaney, D.; O’Hare, G. A framework to implement IoT network performance modelling techniques for network solution selection. Sensors 2016, 16, 2038. [Google Scholar] [CrossRef] [PubMed]
- Tao, M.; Ota, K. Locating compromised data sources in IoT-enabled smart cities: A great-alternative-region-based approach. IEEE Trans. Ind. Inf. 2018, 14, 2579–2587. [Google Scholar] [CrossRef]
- Tao, M.; Wei, W.; Huang, S. Location-based trustworthy services recommendation in cooperative- communication-enabled internet of vehicles. J. Netw. Comput. Appl. 2019, 126, 1–11. [Google Scholar] [CrossRef]
- Praveen Kumar, M.; Santhoshkumar, S.; Gowdhaman, T.; Syed Shajahaan, S. A survey on IoT performances in big data. Int. J. Comput. Sci. Mob. Comput. IJCSMC 2017, 6, 26–34. [Google Scholar]
- Srinidhi, N.; Dilip Kumar, S.; Venugopal, K. Network optimizations in the Internet of Things: A review. Eng. Sci. Technol. Int. J. 2019, 22, 1–21. [Google Scholar] [CrossRef]
- IEEE Standards Association. IEEE Standard for Local and Metropolitan Area Networks—Part 15.4: Low-Rate Wireless Personal Area Networks (LR-WPANs); IEEE Std 802.15.4-2011 (Revision of IEEE Std 802.15.4-2006); IEEE: Piscataway, NJ, USA, 2011. [Google Scholar] [CrossRef]
- IEEE Standards Association. IEEE Standard for Local and Metropolitan Area Networks—Part 15.4: Low-Rate Wireless Personal Area Networks (LR-WPANs)—Amendment 1: MAC Sublayer; IEEE Std 802.15.4e-2012 (Amendment to IEEE Std 802.15.4-2011); IEEE: Piscataway, NJ, USA, 2012. [Google Scholar]
- Gaillard, G.; Barthel, D.; Theoleyre, F.; Valois, F. Kausa: KPI-aware scheduling algorithm for multi-flow in multi-hop IoT networks. In Ad-Hoc, Mobile, and Wireless Networks; Mitton, N., Loscri, V., Mouradian, A., Eds.; Springer International Publishing: Lille, France, 2016; pp. 47–61. [Google Scholar]
- Kirubasri, G.; Uma Maheswari, N. A study on hardware and software link quality metrics for wireless multimedia sensor networks. Int. J. Adv. Netw. Appl. 2016, 8, 3103–3109. [Google Scholar]
- Baccour, N. Radio link quality estimation in wireless sensor networks: A survey. ACM Trans. Sens. Netw. (TOSN) 2012, 8, 35. [Google Scholar] [CrossRef]
- De Couto, D.; Aguayo, D.; Bicket, J.; Morris, R. A high-throughput path metric for multi-hop wireless routing. In Proceedings of the 9th Annual International Conference on Mobile Computing and Networking, San Diego, CA, USA, 14–19 September 2003; Volume 11, pp. 134–146. [Google Scholar] [CrossRef]
- Baccour, N.; Koubâa, A.; Youssef, H.; Ben Jamâa, M.; do Rosário, D.; Alves, M.; Becker, L.B. F-LQE: A fuzzy link quality estimator for wireless sensor networks. In Wireless Sensor Networks; Silva, J.S., Krishnamachari, B., Boavida, F., Eds.; Springer: Berlin/Heidelberg, Germany, 2010; pp. 240–255. [Google Scholar]
- Pöttner, W.B.; Seidel, H.; Brown, J.; Roedig, U.; Wolf, L. Constructing schedules for time-critical data delivery in wireless sensor networks. ACM Trans. Sen. Netw. 2014, 10, 44. [Google Scholar] [CrossRef]
- Vlavianos, A.; Law, L.K.; Broustis, I.; Krishnamurthy, S.V.; Faloutsos, M. Assessing link quality in IEEE 802.11 wireless networks: Which is the right metric? In Proceedings of the 2008 IEEE 19th International Symposium on Personal, Indoor and Mobile Radio Communications, Cannes, France, 15–18 September 2008; IEEE: Piscataway, NJ, USA, 2008. [Google Scholar]
- Cerar, G.; Mohorcic, M.; Gale, T.; Fortuna, C. Link Quality Estimation using Machine Learning. arXiv 2019, arXiv:1812.08856. [Google Scholar]
- Sun, W.; Lu, W.; Li, Q.; Chen, L.; Mu, D.; Yuan, X. WNN-LQE: Wavelet-neural-network-based link quality wstimation for smart grid WSNs. IEEE Access 2017, 5, 12788–12797. [Google Scholar] [CrossRef]
- Rekik, S.; Baccour, N.; Jmaiel, M.; Drira, K. Low-Power link quality estimation in smart grid environments. In Proceedings of the 2015 International Wireless Communications and Mobile Computing Conference (IWCMC), Dubrovnik, Croatia, 24–28 August 2015; pp. 1211–1216. [Google Scholar] [CrossRef]
- Guo, Z.; Wang, Q.; Li, M.; He, J. Fuzzy logic based multidimensional link quality estimation for multi-hop wireless sensor networks. IEEE Sens. J. 2013, 13, 3605–3615. [Google Scholar] [CrossRef]
- Nguyen, D.; Minet, P. Quality of service routing in a MANET with OLSR. J. Univ. Comput. Sci. 2007, 13, 56–86. [Google Scholar]
- Marinca, D.; Minet, P. On-line learning and prediction of link quality in wireless sensor networks. In Proceedings of the 2014 IEEE Global Communications Conference GLOBECOM 2014, Austin, TX, USA, 8–12 December 2014; IEEE: Piscataway, NJ, USA, 2014. [Google Scholar]
- Mahfoudh, S.; Minet, P.; Amdouni, I. Energy efficient routing and node activity scheduling in the OCARI wireless sensor network. Future Internet 2010, 2, 308–340. [Google Scholar] [CrossRef]
- Gaillard, G.; Barthel, D.; Theoleyre, F.; Valois, F. Enabling Flow-Level Reliability on FTDMA Schedules with Efficient Hop-by-Hop Over-Provisioning. Available online: https://hal.inria.fr/hal-01278077v2 (accessed on 13 September 2019).
- Palattella, M.R.; Accettura, N.; Dohler, M.; Grieco, L.A.; Boggia, G. Traffic Aware Scheduling Algorithm for reliable low-power multi-hop IEEE 802.15.4e networks. In Proceedings of the 2012 IEEE 23rd International Symposium on Personal, Indoor and Mobile Radio Communications—(PIMRC), Sydney, NSW, Australia, 9–12 September 2012; pp. 327–332. [Google Scholar] [CrossRef]
- Audéoud, H.; Heusse, M. Quick and efficient link quality estimation in wireless sensors networks. In Proceedings of the 2018 14th Annual Conference on Wireless On-demand Network Systems and Services (WONS), Isola, France, 6–18 February 2018; pp. 87–90. [Google Scholar] [CrossRef]
- Brun-Laguna, K.; Henrique Gomes, P.; Minet, P.; Watteyne, T. Moving beyond testbeds? Lessons (we) learned about connectivity. IEEE Pervasive Comput. 2018, 17, 15–27. [Google Scholar] [CrossRef]
- Brun-Laguna, K.; Minet, P.; Tanaka, Y. Optimized scheduling algorithm for time-critical industrial IoT. In Proceedings of the IEEE Global Communications Conference (Globecom), Waikoloa, HI, USA, 9–13 December 2019. [Google Scholar]
- Khoufi, I.; Minet, P.; Rmili, B. Scheduling transmissions with latency constraints in an IEEE 802.15.4e TSCH network. In Proceedings of the VTC 2017—IEEE 86th Vehicular Technology Conference, Toronto, ON, Canada, 24–27 September 2017. [Google Scholar]
- Municio, E.; Daneels, G.; Vicinic, M.; Latre, S.; Famaey, J.; Tanaka, Y.; Brun-Laguna, K.; Muraoka, K.; Vilajosana, X.; Watteyne, T. Simulating 6TiSCH networks. Trans. Emerging Telecommun. Technol. 2018, 30, e3494. [Google Scholar] [CrossRef]
- Le, H.P.; John, M.; Pister, K. Energy-Aware Routing in Wireless Sensor Networks with Adaptive Energy-Slope Control; Technical Report EE290Q-2 Spring; University of California: Berkeley, CA, USA, 2009. [Google Scholar]




















| Name | Meaning |
|---|---|
| R | the targeted end-to-end reliability |
| L | the targeted end-to-end latency |
| T | the targeted network lifetime |
| j | the link from node to its parent in the routing tree |
| the maximum number of transmissions of any message transmitted on link j | |
| the probability of successful acknowledgment receipt after a single message transmission on link j | |
| the probability of successful acknowledgment receipt on link j after a maximum number of transmissions |
| Parameter | Value |
|---|---|
| Initial energy of node powered by 2 Energizers L-91 AA batteries | 2821.5 mAh |
| Transmit a data frame & receive its acknowledgment | 54.5 C |
| Receive a data frame & transmit its acknowledgment | 32.6 C |
| IdleListen | 6.4 C |
| Sleep | 0 C |
| Maximum Number of Transmissions for Targeted R = 0.9 | Total Number of Transmissions per msg | End-To-End Reliability | |||||||||||||
|---|---|---|---|---|---|---|---|---|---|---|---|---|---|---|---|
| Flow | Hop | P = 0.7 | P = 0.5 | P = 0.8 | P = 0.6 | P = 0.9 | |||||||||
| Fair | Opt. | Fair | Opt. | Fair | Opt. | Fair | Opt. | Fair | Opt. | Fair | Opt. | Fair | Opt. | ||
| B | 1 | 2 | 2 | 2 | 2 | 0.91 | 0.91 | ||||||||
| C | 2 | 3 | 3 | 5 | 4 | 8 | 7 | 0.9425 | 0.91218 | ||||||
| E | 2 | 3 | 3 | 4 | 3 | 7 | 6 | 0.9480 | 0.9107 | ||||||
| D | 3 | 3 | 3 | 5 | 5 | 3 | 2 | 11 | 10 | 0.9350 | 0.90489 | ||||
| F | 3 | 3 | 3 | 4 | 4 | 10 | 10 | 0.92249 | 0.92249 | ||||||
| G | 4 | 4 | 3 | 6 | 5 | 3 | 3 | 2 | 2 | 15 | 13 | 0.95890 | 0.92570 | ||
| H | 4 | 4 | 3 | 6 | 5 | 3 | 3 | 19 | 16 | 0.95345 | 0.90583 | ||||
| Maximum Number of Transmissions for Targeted R = 0.99 | Total Number of Transmissions per msg | End-To-End Reliability | |||||||||||||
|---|---|---|---|---|---|---|---|---|---|---|---|---|---|---|---|
| Flow | Hop | P = 0.7 | P = 0.5 | P = 0.8 | P = 0.6 | P = 0.9 | |||||||||
| Fair | Opt. | Fair | Opt. | Fair | Opt. | Fair | Opt. | Fair | Opt. | Fair | Opt. | Fair | Opt. | ||
| B | 1 | 4 | 4 | 4 | 4 | 0.9919 | 0.9919 | ||||||||
| C | 2 | 5 | 5 | 8 | 8 | 13 | 13 | 0.993673 | 0.993673 | ||||||
| E | 2 | 5 | 5 | 6 | 6 | 11 | 11 | 0.99348 | 0.99348 | ||||||
| D | 3 | 5 | 5 | 9 | 8 | 4 | 4 | 18 | 17 | 0.99402 | 0.99208 | ||||
| F | 3 | 5 | 5 | 5 | 7 | 6 | 17 | 16 | 0.9935 | 0.99106 | |||||
| G | 4 | 5 | 5 | 9 | 8 | 4 | 4 | 3 | 3 | 21 | 20 | 0.99303 | 0.99109 | ||
| H | 4 | 5 | 5 | 9 | 9 8 | 3 | 3 | 27 | 26 | 0.99208 | 0.99014 | ||||
| Maximum Number of Transmissions for Targeted R = 0.99 | Total Number of Transmissions per msg | End-To-End Reliability | |||||||||||||
|---|---|---|---|---|---|---|---|---|---|---|---|---|---|---|---|
| Flow | Hop | P = 0.7 | P = 0.5 | P = 0.8 | P = 0.6 | P = 0.9 | |||||||||
| Fair | Opt. | Fair | Opt. | Fair | Opt. | Fair | Opt. | Fair | Opt. | Fair | Opt. | Fair | Opt. | ||
| B | 1 | 6 | 6 | 6 | 6 | 0.99927 | 0.99927 | ||||||||
| C | 2 | 7 | 7 | 11 | 11 | 18 | 18 | 0.99929 | 0.99929 | ||||||
| E | 2 | 7 | 7 | 9 | 8 | 16 | 15 | 0.99951 | 0.99912 | ||||||
| D | 3 | 7 | 7 | 12 | 11 | 5 | 6 | 24 | 24 | 0.99921 | 0.999229 | ||||
| F | 3 | 7 | 7 | 9 | 9 | 23 | 23 | 0.99930 | 0.99930 | ||||||
| G | 4 | 7 | 8 | 12 | 11 | 6 | 6 | 4 | 4 | 29 | 28 | 0.99937 | 0.99922 | ||
| H | 4 | 7 | 7 | 12 | 12 | 6 | 6 | 37 | 37 | 0.999229 | 0.999229 | ||||
| Maximum Number of Transmissions for Targeted R = 0.99 | Total Number of Transmissions per msg | End-To-End Reliability | |||||||||||||
|---|---|---|---|---|---|---|---|---|---|---|---|---|---|---|---|
| Flow | Hop | P = 0.7 | P = 0.5 | P = 0.8 | P = 0.6 | P = 0.9 | |||||||||
| Fair | Opt. | Fair | Opt. | Fair | Opt. | Fair | Opt. | Fair | Opt. | Fair | Opt. | Fair | Opt. | ||
| B | 1 | 8 | 8 | 8 | 8 | 0.999934 | 0.999934 | ||||||||
| C | 2 | 9 | 9 | 15 | 15 | 24 | 24 | 0.9999498 | 0.9999498 | ||||||
| E | 2 | 9 | 9 | 11 | 11 | 20 | 20 | 0.99993837 | 0.99993837 | ||||||
| D | 3 | 9 | 9 | 15 | 14 | 7 | 7 | 31 | 30 | 0.999937 | 0.999918 | ||||
| F | 3 | 9 | 9 | 12 | 11 | 30 | 29 | 0.99994386 | 0.999906 | ||||||
| G | 4 | 9 | 9 | 16 | 15 | 7 | 7 | 5 | 5 | 37 | 36 | 0.999942 | 0.999927 | ||
| H | 4 | 9 | 9 | 16 | 15 | 7 | 7 | 48 | 46 | 0.999937 | 0.999906 | ||||
| Maximum Number of Transmissions for Targeted R = 0.99 | Total Number of Transmissions per msg | End-To-End Reliability | |||||||||||||
|---|---|---|---|---|---|---|---|---|---|---|---|---|---|---|---|
| Flow | Hop | P = 0.7 | P = 0.5 | P = 0.8 | P = 0.6 | P = 0.9 | |||||||||
| Fair | Opt. | Fair | Opt. | Fair | Opt. | Fair | Opt. | Fair | Opt. | Fair | Opt. | Fair | Opt. | ||
| B | 1 | 10 | 10 | 10 | 10 | 0.9999941 | 0.9999941 | ||||||||
| C | 2 | 11 | 11 | 18 | 17 | 29 | 28 | 0.99999441 | 0.9999906 | ||||||
| E | 2 | 11 | 11 | 14 | 13 | 25 | 24 | 0.99999554 | 0.99999152 | ||||||
| D | 3 | 11 | 11 | 19 | 18 | 8 | 8 | 38 | 37 | 0.99999376 | 0.99999185 | ||||
| F | 3 | 11 | 11 | 14 | 14 | 36 | 36 | 0.99999377 | 0.99999377 | ||||||
| G | 4 | 11 | 11 | 19 | 18 | 9 | 9 | 6 | 6 | 45 | 44 | 0.9999948 | 0.9999929 | ||
| H | 4 | 11 | 11 | 19 | 18 | 9 | 9 | 58 | 56 | 0.9999939 | 0.9999909 | ||||
| Relative Improvement | |||||||||
|---|---|---|---|---|---|---|---|---|---|
| 52 | 101 | 933 | 52 | 101 | 933 | 52 | 101 | 933 | |
| Max. latency (s) | 0.74675 | 1.102 | 7.134 | 0.70325 | 1.0585 | 7.0905 | 5.82% | 3.94% | 0.61% |
| Lifetime (days) | 20.35 | 39.54 | 365.28 | 22.87 | 44.42 | 410.41 | 10.98% | 12.35% | 12.35% |
| Parameter | Value | |
|---|---|---|
| Config. | Number of nodes | 50 |
| Number of Channels | 16 | |
| Topology | random | |
| Link reliability | computed | |
| TSCH | Slot duration | 10 ms |
| Slotframe size | 700 slots | |
| Secure join | disabled | |
| Keep-alive (L2) | disabled | |
| Transmit queue size | 10 packets | |
| Max of retransmissions | 5 (i.e., max of 6 transmissions) | |
| Routing | RPL | with ETX metric where DAO is disabled |
| a stable routing topology | after 60 min | |
| Scheduling | Scheduling function | Load-based scheduler |
| Application | is run & measures made | during the next 60 min |
| packet generation interval on each sensor node | [57 s, 63 s] | |
| Simulation | 100 runs per pair (algorithm, targeted reliability) | algorithm |
| target. reliability |
| Targeted End-To-End Reliability | ||||||
|---|---|---|---|---|---|---|
| 0.9 | 0.99 | 0.999 | 0.9999 | |||
| Schedule size (slots) | 96 | 154 | 199 | 249 | ||
| 84 | 134 | 190 | 246 | |||
| relative improvement | 12.5% | 12.98% | 4.52% | 1.20% | ||
| Min TX cells per (node, flow) | 2 | 2 | 2 | 3 | ||
| 2 | 2 | 2 | 3 | |||
| Maximum end-to-end latency (s) | theory | 28.96 | 29.54 | 29.99 | 16.49 | |
| simulation | 13.79 | 13.93 | 9.64 | 7.70 | ||
| theory | 28.84 | 29.34 | 29.90 | 16.46 | ||
| simulation | 19.93 | 13.94 | 7.43 | 7.69 | ||
| End-to-end reliability | 0.997959 | 0.998977 | 0.998978 | 0.999659 | ||
| 1 | 0.998294 | 0.999318 | 1 | |||
| Targeted End-To-End Reliability | |||||
|---|---|---|---|---|---|
| 0.9 | 0.99 | 0.999 | 0.9999 | ||
| Schedule size (slots) | 96 | 154 | 199 | 249 | |
| 84 | 134 | 190 | 246 | ||
| Cells assigned to busiest node | 77 | 103 | 127 | 159 | |
| 63 | 87 | 122 | 149 | ||
| Duty cycle of busiest node | 11% | 14.71% | 18.14% | 22.71% | |
| 9% | 12.42% | 17.42% | 21.28% | ||
| Relative gain | 18.18% | 15.53% | 3.93% | 6.29% | |
© 2019 by the authors. Licensee MDPI, Basel, Switzerland. This article is an open access article distributed under the terms and conditions of the Creative Commons Attribution (CC BY) license (http://creativecommons.org/licenses/by/4.0/).
Share and Cite
Minet, P.; Tanaka, Y. Optimal Number of Message Transmissions for Probabilistic Guarantee of Latency in the IoT. Sensors 2019, 19, 3970. https://doi.org/10.3390/s19183970
Minet P, Tanaka Y. Optimal Number of Message Transmissions for Probabilistic Guarantee of Latency in the IoT. Sensors. 2019; 19(18):3970. https://doi.org/10.3390/s19183970
Chicago/Turabian StyleMinet, Pascale, and Yasuyuki Tanaka. 2019. "Optimal Number of Message Transmissions for Probabilistic Guarantee of Latency in the IoT" Sensors 19, no. 18: 3970. https://doi.org/10.3390/s19183970
APA StyleMinet, P., & Tanaka, Y. (2019). Optimal Number of Message Transmissions for Probabilistic Guarantee of Latency in the IoT. Sensors, 19(18), 3970. https://doi.org/10.3390/s19183970

