Dynamic Cone Penetrometer Incorporated with Time Domain Reflectometry (TDR) Sensors for the Evaluation of Water Contents in Sandy Soils
Abstract
1. Introduction
2. Time Domain Reflectometry
3. DCP Incorporated with TDR Sensors
4. Calibration Tests
4.1. Relative Permittivity and Volumetric Water Content by the TDCP
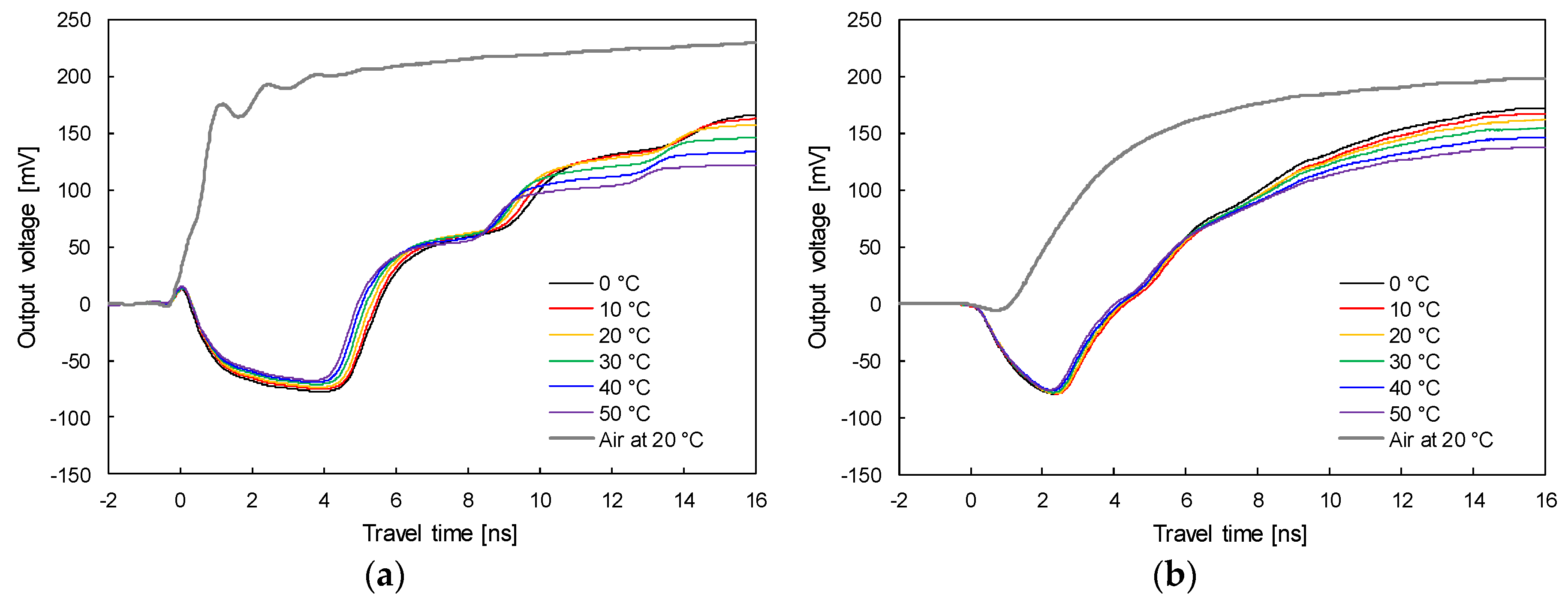
4.2. Temperature Effect on Relative Permittivity
4.3. Penetration Index Correction
5. Field Application Test
5.1. Experimental Setup
5.2. Experimental Results and Analyses
5.3. Verification of Volumetric Water Content Estimated by the TDCP
6. Summary and Conclusions
Author Contributions
Funding
Conflicts of Interest
References
- Birle, E.; Heyer, D.; Vogt, N. Influence of the initial water content and dry density on the soil–water retention curve and the shrinkage behavior of a compacted clay. Acta Geotech. 2008, 3, 191. [Google Scholar] [CrossRef]
- Wheeler, S.J.; Sharma, R.S.; Buisson, M.S.R. Coupling of hydraulic hysteresis and stress–strain behaviour in unsaturated soils. Géotechnique 2003, 53, 41–54. [Google Scholar] [CrossRef]
- Chen, R.H.; Chen, H.P.; Chen, K.S.; Zhung, H.B. Simulation of a slope failure induced by rainfall infiltration. Environ. Geol. 2009, 58, 943–952. [Google Scholar] [CrossRef]
- Meyer, L.D. How rain intensity affects interrill erosion. Trans. ASAE 1981, 24, 1472–1475. [Google Scholar] [CrossRef]
- Rahimi, A.; Rahardjo, H.; Leong, E.C. Effect of antecedent rainfall patterns on rainfall-induced slope failure. J. Geotech. Geoenviron. 2011, 137, 483–491. [Google Scholar] [CrossRef]
- Tu, X.B.; Kwong, A.K.L.; Dai, F.C.; Tham, L.G.; Min, H. Field monitoring of rainfall infiltration in a loess slope and analysis of failure mechanism of rainfall-induced landslides. Eng. Geol. 2009, 105, 134–150. [Google Scholar] [CrossRef]
- Fox, G.A.; Wilson, G.V. The role of subsurface flow in hillslope and stream bank erosion: A review. Soil Sci. Soc. Am. J. 2010, 74, 717–733. [Google Scholar] [CrossRef]
- Bengtsson, T.O. The Hydrologic Effects from Intense Ground-Water Pumpagein East-Central Hillsborough County, Florida. In Multidisciplinary Conference on Sinkholes and the Environmental Impacts of Karst; Balkema: Rotterdam, The Netherlands, 1987; pp. 109–114. [Google Scholar]
- Hong, W.T.; Kang, S.; Lee, S.J.; Lee, J.S. Analyses of GPR signals for characterization of ground conditions in urban areas. J. Appl. Geophys. 2018, 152, 65–76. [Google Scholar] [CrossRef]
- McElvaney, J.; Bundadidjatnika, I.R. Strength evaluation of lime-stabilised pavement foundations using the dynamic cone penetrometer. Aust. Road Res. 1991, 21, 45–52. [Google Scholar]
- Byun, Y.H.; Lee, J.S. Instrumented dynamic cone penetrometer corrected with transferred energy into a cone tip: A laboratory study. Geotech. Test. J. 2013, 36, 1–10. [Google Scholar] [CrossRef]
- Kim, S.Y.; Lee, J.S. Energy correction of dynamic cone penetration index for reliable evaluation of shear strength in frozen sand-silt mixtures. Acta Geotech. 2019. [Google Scholar] [CrossRef]
- Lee, C.; Kim, K.S.; Woo, W.; Lee, W. Soil Stiffness Gauge (SSG) and Dynamic Cone Penetrometer (DCP) tests for estimating engineering properties of weathered sandy soils in Korea. Eng. Geol. 2014, 169, 91–99. [Google Scholar] [CrossRef]
- Mohammadi, S.D.; Nikoudel, M.R.; Rahimi, H.; Khamehchiyan, M. Application of the dynamic cone penetrometer (DCP) for determination of the engineering parameters of sandy soils. Eng. Geol. 2008, 101, 195–203. [Google Scholar] [CrossRef]
- Fellner-Feldegg, H. Measurement of dielectrics in the time domain. J. Phys. Chem. 1969, 73, 616–623. [Google Scholar] [CrossRef]
- Li, A.G.; Yue, Z.Q.; Tham, L.G.; Lee, C.F.; Law, K.T. Field-monitored variations of soil moisture and matric suction in a saprolite slope. Can. Geotech. J. 2005, 42, 13–26. [Google Scholar] [CrossRef]
- Jones, S.B.; Wraith, J.M.; Or, D. Time domain reflectometry measurement principles and applications. Hydrol. Process. 2002, 16, 141–153. [Google Scholar] [CrossRef]
- Noborio, K. Measurement of soil water content and electrical conductivity by time domain reflectometry: A review. Comput. Electron. Agr. 2001, 31, 213–237. [Google Scholar] [CrossRef]
- Topp, G.C.; Davis, J.L.; Annan, A.P. Electromagnetic determination of soil water content: Measurements in coaxial transmission lines. Water Resour. Res. 1980, 16, 574–582. [Google Scholar] [CrossRef]
- Hong, W.T.; Jung, Y.S.; Kang, S.; Lee, J.S. Estimation of soil-water characteristic curves in multiple-cycles using membrane and TDR system. Materials 2016, 9, 1019. [Google Scholar] [CrossRef]
- Vaz, C.M.P.; Hopmans, J.W.; Macedo, A.; Bassoi, L.H.; Wildenschild, D. Soil water retention measurements using a combined tensiometer-coiled time domain reflectometry probe. Soil Sci. Soc. Am. J. 2002, 66, 1752–1759. [Google Scholar] [CrossRef]
- ASTM D6565. Standard Test Method for Determination of Water (Moisture) Content of Soil by the Time-Domain Reflectometry (TDR) Method; Annual Book of ASTM Standard; ASTM International: West Conshohocken, PA, USA, 2005; pp. 1–5. [Google Scholar]
- Lin, C.P.; Tang, S.H.; Chung, C.C. Development of TDR penetrometer through theoretical and laboratory investigations: 1. Measurement of soil dielectric permittivity. Geotech. Test. J. 2006, 29, 306–313. [Google Scholar]
- Vaz, C.M.P.; Hopmans, J.W. Simultaneous measurement of soil penetration resistance and water content with a combined penetrometer-TDR moisture probe. Soil Sci. Soc. Am. J. 2001, 65, 4–12. [Google Scholar] [CrossRef]
- Topp, G.C.; Lapen, D.R.; Edwards, M.J.; Young, G.D. Laboratory calibration, in-field validation and use of a soil penetrometer measuring cone resistance and water content. Vadose Zone J. 2003, 2, 633–641. [Google Scholar] [CrossRef]
- Noborio, K.; McInnes, K.J.; Heilman, J.L. Measurements of soil water content, heat capacity, and thermal conductivity with a single TDR probe. Soil Sci. 1996, 161, 22–28. [Google Scholar] [CrossRef]
- Maxwell, J.C. A Treatise on Electricity and Magnetism; Clarendon Press: Oxford, UK, 1873; Volume 1. [Google Scholar]
- Brown, R.G.; Sharpe, R.A.; Hughes, W.L.; Post, R.E. Lines, Waves, and Antennas: The Transmission of Electric Energy, 2nd ed.; Willey: New York, NY, USA, 1973. [Google Scholar]
- Lee, J.S. Geo-Characterization using Waves—Principle to Application. In Proceedings of the 19th International Conference on Soil Mechanics and Geotechnical Engineering, Seoul, Korea, 17–22 September 2017; pp. 245–264. [Google Scholar]
- Lee, J.S.; Song, J.U.; Hong, W.T.; Yu, J.D. Application of time domain reflectometer for detecting necking defects in bored piles. NDT E Int. 2018, 100, 132–141. [Google Scholar] [CrossRef]
- Yu, J.D.; Lee, J.S.; Yoon, H.K. Circular time-domain reflectometry system for monitoring bridge scour depth. Mar. Georesour. Geotech. 2019, 1–10. [Google Scholar] [CrossRef]
- Chung, C.C.; Lin, C.P. Apparent dielectric constant and effective frequency of TDR measurements: Influencing factors and comparison. Vadose Zone J. 2009, 8, 548–556. [Google Scholar] [CrossRef]
- Jiang, Y.J.; Tayabji, S.D. Analysis of Time Domain Reflectometry Data from LTPP Seasonal Monitoring Program Test Sections; Technical Report No. FHWA-RD-99-115; Federal Highway Administration: Washington, DC, USA, 1999. [Google Scholar]
- Klemunes, J., Jr. Determining Soil Volumetric Moisture Content Using Time Domain Reflectometry; Technical Report No. FHWA-RD-97-139; Federal Highway Administration: Washington, DC, USA, 1998. [Google Scholar]
- Haynes, W.M. CRC Handbook of Chemistry and Physics; CRC Press: Boca Raton, FL, USA, 2014. [Google Scholar]
- Gnatowski, T.; Szatyłowicz, J.; Pawluśkiewicz, B.; Oleszczuk, R.; Janicka, M.; Papierowska, E.; Szejba, D. Field Calibration of TDR to Assess the Soil Moisture of Drained Peatland Surface Layers. Water 2018, 10, 1842. [Google Scholar] [CrossRef]
- ASTM D2487. Standard Practice for Classification of Soils for Engineering Purposes (Unified Soil Classification System); Annual Book of ASTM Standard; ASTM International: West Conshohocken, PA, USA, 2017; pp. 1–12. [Google Scholar]
- Roth, K.; Schulin, R.; Flühler, H.; Attinger, W. Calibration of time domain reflectometry for water content measurement using a composite dielectric approach. Water Resour. Res. 1990, 26, 2267–2273. [Google Scholar] [CrossRef]
- Livneh, M.; Ishai, I. The Relationship Between in Situ CBR Test and the Various Penetration Tests. In Proceedings of the First International Conference on Penetration Testing, Orlando, FL, USA, 20–24 March 1988; pp. 445–452. [Google Scholar]
- Webster, S.L.; Grau, R.H.; Williams, R.P. Description and Application of Dual Mass Dynamic Cone Penetrometer; Instruction Report No. GL-92-3; Army Engineer Waterways Experiment Station: Vicksburg, MS, USA, 1992. [Google Scholar]
















| Property | Value | |
|---|---|---|
| Coefficient of uniformity, Cu [ ] | 21.14 | |
| Coefficient of curvature, Cc [ ] | 1.14 | |
| Specific gravity, Gs [ ] | 2.68 | |
| Median diameter, D50 [mm] | 0.84 | |
| Soil type by USCS 1 | SW 2 | |
| Maximum void ratio, emax [ ] | 0.82 | |
| Minimum void ratio, emin [ ] | 0.41 | |
| Gravimetric water content, ω [%] | 100 mm | 1.78 |
| 200 mm | 5.52 | |
| 300 mm | 6.74 | |
| 400 mm | 7.63 | |
| 500 mm | 9.72 | |
| 600 mm | 11.22 | |
| 700 mm | 13.26 | |
| 800 mm | 14.26 | |
| 900 mm | 15.00 | |
© 2019 by the authors. Licensee MDPI, Basel, Switzerland. This article is an open access article distributed under the terms and conditions of the Creative Commons Attribution (CC BY) license (http://creativecommons.org/licenses/by/4.0/).
Share and Cite
Hong, W.-T.; Yu, J.-D.; Kim, S.Y.; Lee, J.-S. Dynamic Cone Penetrometer Incorporated with Time Domain Reflectometry (TDR) Sensors for the Evaluation of Water Contents in Sandy Soils. Sensors 2019, 19, 3841. https://doi.org/10.3390/s19183841
Hong W-T, Yu J-D, Kim SY, Lee J-S. Dynamic Cone Penetrometer Incorporated with Time Domain Reflectometry (TDR) Sensors for the Evaluation of Water Contents in Sandy Soils. Sensors. 2019; 19(18):3841. https://doi.org/10.3390/s19183841
Chicago/Turabian StyleHong, Won-Taek, Jung-Doung Yu, Sang Yeob Kim, and Jong-Sub Lee. 2019. "Dynamic Cone Penetrometer Incorporated with Time Domain Reflectometry (TDR) Sensors for the Evaluation of Water Contents in Sandy Soils" Sensors 19, no. 18: 3841. https://doi.org/10.3390/s19183841
APA StyleHong, W.-T., Yu, J.-D., Kim, S. Y., & Lee, J.-S. (2019). Dynamic Cone Penetrometer Incorporated with Time Domain Reflectometry (TDR) Sensors for the Evaluation of Water Contents in Sandy Soils. Sensors, 19(18), 3841. https://doi.org/10.3390/s19183841

