An MIMO Radar System Based on the Sparse-Array and Its Frequency Migration Calibration Method
Abstract
:1. Introduction
2. Sparse-Array Optimization for MIMO Radar
2.1. MIMO Radar Based on Sparse-Array
2.2. Optimization Design of the Sparse-Array MIMO Radar
| Algorithm 1 The optimize of sparse-arrays’ arrangement by GA |
| Step 1 Initialization: Initializing the individual chromosome, which represents the sparse-array arrangement. The length of the individual chromosome is initialed as (that is, the number of grid points N). The existence or nonexistence of each gene in a chromosome is defined by binary code 1 and 0. Initializing the number of array elements to randomly generate the initial population , initial crossover probability as , initial mutation probability as , and initial iteration times as . is the probability of random generation of each gene. |
| Step 2 Fitness assignment: Substituting each individual chromosome into the fitness function to calculate the corresponding fitness value. The peak side lobe level in the radiation pattern is taken as the fitness function, which is given as , where is the peak side-lobe level of the ith optimized array. |
| Step 3 Selection: The optimal fitness value and chromosome of each generation were both reserved, and the rest were selected according to the Roulette Wheel Selection Method to pass on to the next generation. |
| Step 4 Crossover: Crossover was carried out in this step, and it will occur if ; otherwise, no crossover will occur. |
| Step 5 Mutation: Mutation was carried out in this step, and it will occur if ; otherwise, no mutation will occur. |
| Step 6 Termination conditions determine: The iteration times and the change rate of the optimal peak side-lobe level were taken as the termination conditions. If one of the termination conditions was satisfied, then the individuals with the best fitness of a certain generation can be obtained as the global optimal solution, which is the optimal arrangement of sparse-array elements; otherwise, go back to Step 2 and repeat. |
2.3. Analysis of Optimization Results
3. Sparse-Array TDM MIMO Radar System Signal Processing
3.1. Signal Model
3.2. The Deviation Caused by Motion Targets
3.3. Signal Calibration Processing
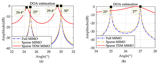
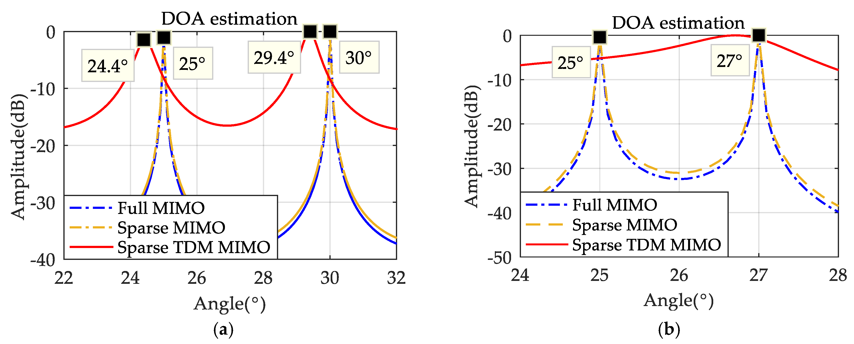
3.4. System DOA Performance after Calibration
4. Conclusions
Author Contributions
Funding
Conflicts of Interest
References
- Tan, X.; Roberts, W.; Li, J.; Stoica, P. Sparse learning via iterative minimization with application to MIMO radar imaging. IEEE Trans. Signal Process. 2011, 59, 1088–1101. [Google Scholar] [CrossRef]
- Li, J.; Jiang, D.; Zhang, X. DOA estimation based on combined unitary ESPRIT for coprime MIMO radar. IEEE Commun. Lett. 2017, 21, 96–99. [Google Scholar] [CrossRef]
- Godrich, H.; Tajer, A.; Poor, H.V. Distributed target tracking in multiple widely separated radar architectures. In Proceedings of the IEEE 7th Sensor Array and Multichannel Signal Processing Workshop, Hoboken, NJ, USA, 17–20 June 2012; pp. 153–156. [Google Scholar]
- Sit, Y.L.; Li, G.; Manchala, S.; Afrasiabi, H.; Sturm, C.; Lubbert, U. BPSK-based MIMO FMCW automotive-radar concept for 3D position measurement. In Proceedings of the 15th European Radar Conference (EuRAD), Madrid, Spain, 26–28 September 2018; pp. 289–292. [Google Scholar]
- Ciuonzo, D. On time-reversal imaging by statistical testing. IEEE Signal Process. Lett. 2017, 24, 1024–1028. [Google Scholar] [CrossRef]
- Devaney, A.J. Time reversal imaging of obscured targets from multistatic data. IEEE Trans. Antennas Propag. 2005, 53, 1600–1610. [Google Scholar] [CrossRef]
- Cao, M.; Vorobyov, S.A.; Hassanien, A. Transmit array interpolation for DOA estimation via tensor decomposition in 2-D MIMO radar. IEEE Trans. Signal Process. 2017, 65, 5225–5239. [Google Scholar] [CrossRef]
- Ciuonzo, D.; Romano, G.; Solimene, R. Performance analysis of time-reversal music. IEEE Trans. Signal Process. 2015, 63, 2650–2662. [Google Scholar] [CrossRef]
- Zhou, C.; Gu, Y.; Fan, X.; Shi, Z.; Mao, G.; Zhang, Y.D. Direction-of-arrival estimation for coprime array via virtual array interpolation. IEEE Trans. Signal Process. 2018, 66, 5956–5971. [Google Scholar] [CrossRef]
- Sun, H.; Wan, L.; Lan, X.; Xie, L. Target DOA estimation using nonuniform sparse array for low frequency radar. In Proceedings of the International Conference on Radar Systems, Belfast, UK, 23–26 October 2017; pp. 1–4. [Google Scholar]
- Zhou, C.; Shi, Z.; Gu, Y. Coprime array adaptive beamforming with enhanced degrees-of-freedom capability. In Proceedings of the IEEE Radar Conference (RadarConf), Seattle, WA, USA, 8–12 May 2017; pp. 1357–1361. [Google Scholar]
- Zhou, C.; Gu, Y.; He, S.; Shi, Z. A robust and efficient algorithm for coprime array adaptive beamforming. IEEE Trans. Veh. Technol. 2018, 67, 1099–1112. [Google Scholar] [CrossRef]
- Ullah, N.; Huiling, Z.; Rahim, T.; Rahman, S.U.; Kamal, M. Reduced side lobe level of sparse linear antenna array by optimized spacing and excitation amplitude using particle swarm optimization. In Proceedings of the 7th IEEE International Symposium on Microwave, Antenna, Propagation and EMC Technologies (MAPE), Xi’an, China, 24–27 October 2017; pp. 96–99. [Google Scholar]
- Bo, L.; Chao, S. A new method for array extension based on minimum redundancy linear array. In Proceedings of the IEEE 10th International Conference on Signal Processing Proceedings, Beijing, China, 24–28 October 2010; pp. 332–335. [Google Scholar]
- Chen, K.; He, Z.; Han, C. A modified real GA for the sparse linear array synthesis with multiple constraints. IEEE Trans. Antennas Propag. 2006, 54, 2169–2173. [Google Scholar] [CrossRef]
- Li, L.; Bi, M.; Miao, X.; Fu, Y.; Hu, W. High-fidelity and low-latency mobile fronthaul based on segment-wise TDM and MIMO-interleaved arraying. Opt. Express 2018, 26, 2079–2088. [Google Scholar] [CrossRef] [PubMed]
- Zhang, D.; He, Y.; Gong, X.; Hu, Y.; Chen, Y.; Zeng, B. Multitarget AOA estimation using wideband LFMCW signal and two receiver antennas. IEEE Trans. Veh. Technol. 2018, 67, 7101–7112. [Google Scholar] [CrossRef]
- Rambach, K.; Vogel, M.; Yang, B. Optimal time division multiplexing schemes for DOA estimation of a moving target using a colocated MIMO radar. In Proceedings of the IEEE International Symposium on Signal Processing and Information Technology, Noida, India, 15–17 December 2014; pp. 108–113. [Google Scholar]
- Guetlein, J.; Kirschner, A.; Detlefsen, J. Calibration strategy for a TDM FMCW MIMO radar system. In Proceedings of the IEEE International Conference on Microwaves, Communications, Antennas and Electronic Systems, Tel Aviv, Israel, 21–23 October 2013; pp. 1–5. [Google Scholar]
- Rambach, K.; Yang, B. Direction of arrival estimation of two moving targets using a time division multiplexed colocated MIMO radar. In Proceedings of the IEEE Radar Conference, Cincinnati, OH, USA, 19–23 May 2014; pp. 1118–1123. [Google Scholar]
- Hu, X.; Lu, M.; Li, Y.; Wang, Y. Motion compensation for TDM MIMO radar by sparse reconstruction. Electron. Lett. 2017, 53, 1604–1606. [Google Scholar] [CrossRef]
- Bechter, J.; Roos, F.; Waldschmidt, C. Compensation of motion-induced phase errors in TDM MIMO radars. IEEE Microw. Wirel. Compon. Lett. 2017, 27, 1164–1166. [Google Scholar] [CrossRef]
- Hua, G.; Abeysekera, S.S. A comparison on DOA parameter identifiability for MIMO and phased-array radar. In Proceedings of the 9th International Conference on Information, Communications and Signal Processing, Tainan, Taiwan, 10–13 December 2013; pp. 1–5. [Google Scholar]












© 2019 by the authors. Licensee MDPI, Basel, Switzerland. This article is an open access article distributed under the terms and conditions of the Creative Commons Attribution (CC BY) license (http://creativecommons.org/licenses/by/4.0/).
Share and Cite
Ma, Y.; Miao, C.; Zhao, Y.; Wu, W. An MIMO Radar System Based on the Sparse-Array and Its Frequency Migration Calibration Method. Sensors 2019, 19, 3580. https://doi.org/10.3390/s19163580
Ma Y, Miao C, Zhao Y, Wu W. An MIMO Radar System Based on the Sparse-Array and Its Frequency Migration Calibration Method. Sensors. 2019; 19(16):3580. https://doi.org/10.3390/s19163580
Chicago/Turabian StyleMa, Yue, Chen Miao, Yangying Zhao, and Wen Wu. 2019. "An MIMO Radar System Based on the Sparse-Array and Its Frequency Migration Calibration Method" Sensors 19, no. 16: 3580. https://doi.org/10.3390/s19163580
APA StyleMa, Y., Miao, C., Zhao, Y., & Wu, W. (2019). An MIMO Radar System Based on the Sparse-Array and Its Frequency Migration Calibration Method. Sensors, 19(16), 3580. https://doi.org/10.3390/s19163580

