Characterization and Relaxation Properties of a Series of Monodispersed Magnetic Nanoparticles
Abstract
1. Introduction
2. Materials and Methods
2.1. Magnetic Nanoparticles
2.2. Transmission Electron Microscopy
2.3. Dynamic Light Scattering
2.4. LF-NMR
3. Results
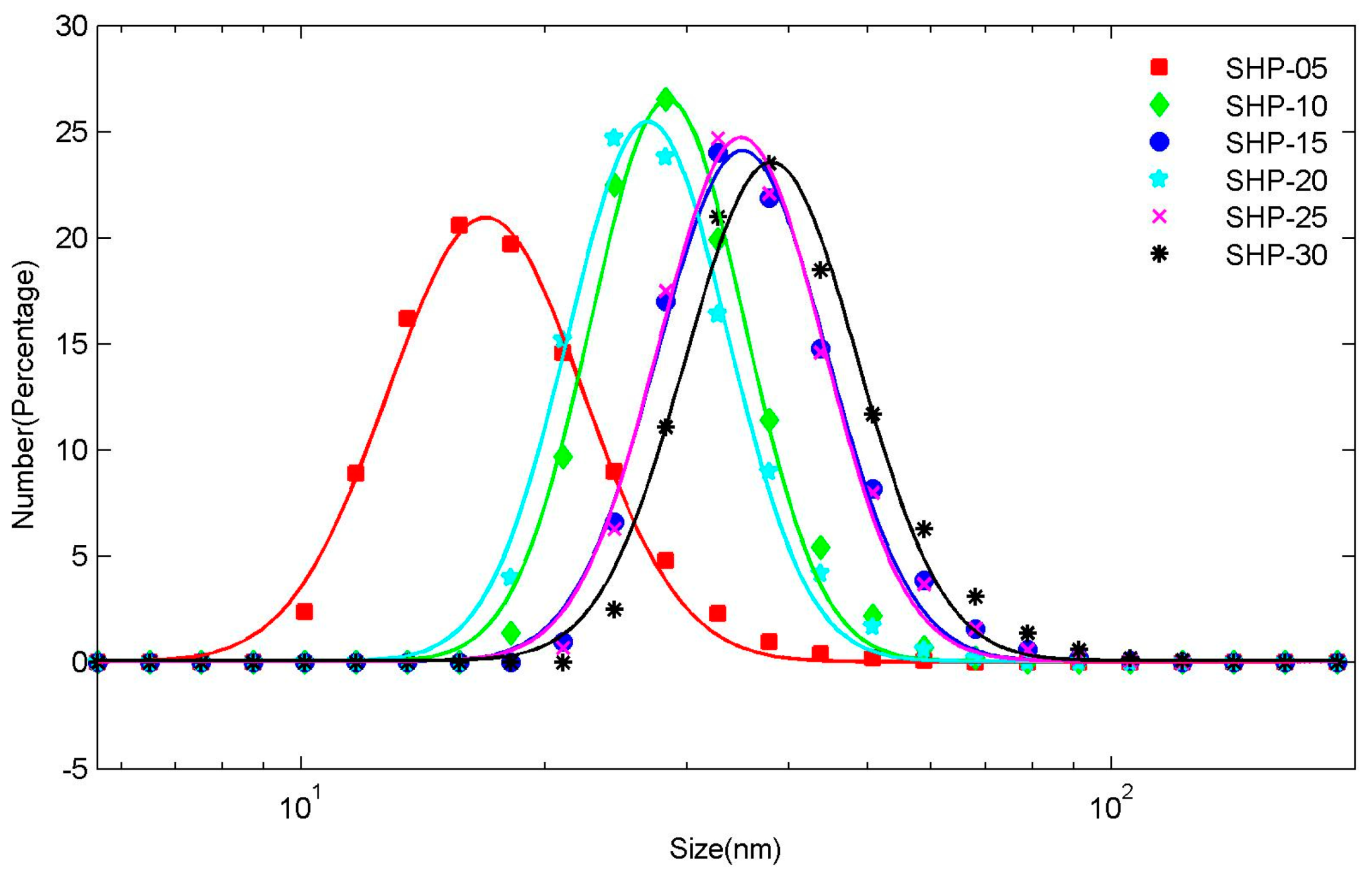
3.1. Characterization of Magnetic Nanoparticles Samples: TEM, DLS
3.2. Waiting Time Dependence of Relaxation Time
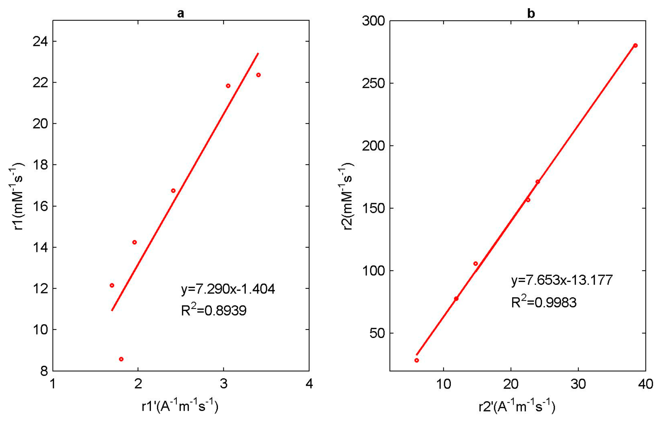
3.3. Relaxation Rate
3.4. Analysis of Relaxation Rate
4. Discussion
5. Conclusions
Author Contributions
Funding
Acknowledgments
Conflicts of Interest
Appendix A
| Sample | Concentration of Fe (mg/mL) | Particle Amount (nmole) of 1 mg Fe |
|---|---|---|
| SHP-05 | 5 | 6.9 |
| SHP-10 | 5 | 0.86 |
| SHP-15 | 5 | 0.27 |
| SHP-20 | 5 | 0.11 |
| SHP-25 | 5 | 0.058 |
| SHP-30 | 5 | 0.034 |
| MNP | No. | (mM) | (m−3) | Induced Magnetization (A.m) | Mean of (s−1) | Standard Deviation of (s−1) | Mean of (s−1) | Standard Deviation of (s−1) |
|---|---|---|---|---|---|---|---|---|
| SHP-05 | 1 | 1.79 | 4.154 × 1020 | 8.51 | 51.80 | 0.10 | 15.68 | 0.03 |
| 2 | 1.12 | 2.596 × 1020 | 5.32 | 30.75 | 0.07 | 9.44 | 0.02 | |
| 3 | 0.89 | 2.077 × 1020 | 4.26 | 25.40 | 0.05 | 7.78 | 0.04 | |
| 4 | 0.45 | 1.038 × 1020 | 2.13 | 13.65 | 0.03 | 4.20 | 0.01 | |
| 5 | 0.22 | 5.192 × 1019 | 1.06 | 6.50 | 0.01 | 2.11 | 0.03 | |
| SHP-10 | 6 | 1.79 | 5.177 × 1019 | 11.73 | 141.10 | 0.37 | 40.67 | 0.04 |
| 7 | 1.12 | 3.236 × 1019 | 7.33 | 83.95 | 0.17 | 23.96 | 0.03 | |
| 8 | 0.89 | 2.589 × 1019 | 5.86 | 70.39 | 0.21 | 20.37 | 0.01 | |
| 9 | 0.45 | 1.294 × 1019 | 2.93 | 36.86 | 0.09 | 10.83 | 0.00 | |
| 10 | 0.22 | 6.472 × 1018 | 1.47 | 17.57 | 0.04 | 5.07 | 0.01 | |
| SHP-15 | 11 | 1.79 | 1.625 × 1019 | 12.78 | 307.03 | 0.85 | 39.73 | 0.03 |
| 12 | 1.12 | 1.016 × 1019 | 7.99 | 24.15 | 0.02 | |||
| 13 | 0.89 | 8.127 × 1018 | 6.39 | 189.62 | 0.53 | 20.42 | 0.01 | |
| 14 | 0.45 | 4.064 × 1018 | 3.19 | 82.40 | 0.19 | 10.78 | 0.05 | |
| 15 | 0.22 | 2.032 × 1018 | 1.60 | 39.27 | 0.14 | 5.10 | 0.03 | |
| SHP-20 | 16 | 1.79 | 6.622 × 1018 | 12.42 | 289.04 | 0.79 | 30.85 | 0.03 |
| 17 | 1.12 | 4.139 × 1018 | 7.76 | 157.09 | 0.22 | 16.70 | 0.01 | |
| 18 | 0.89 | 3.311 × 1018 | 6.21 | 159.89 | 0.42 | 16.71 | 0.02 | |
| 19 | 0.45 | 1.656 × 1018 | 3.11 | 86.34 | 0.22 | 9.16 | 0.07 | |
| 20 | 0.22 | 8.278 × 1017 | 1.55 | 29.91 | 0.14 | 3.19 | 0.01 | |
| SHP-25 | 21 | 1.79 | 3.492 × 1018 | 12.82 | 191.39 | 0.88 | 22.16 | 0.03 |
| 22 | 1.12 | 2.182 × 1018 | 8.01 | 116.99 | 0.14 | 13.35 | 0.07 | |
| 23 | 0.89 | 1.746 × 1018 | 6.41 | 99.96 | 0.21 | 11.63 | 0.01 | |
| 24 | 0.45 | 8.729 × 1017 | 3.21 | 51.62 | 0.23 | 6.09 | 0.01 | |
| 25 | 0.22 | 4.365 × 1017 | 1.60 | 23.62 | 0.06 | 2.82 | 0.05 | |
| SHP-30 | 26 | 1.79 | 2.047 × 1018 | 13.00 | 502.91 | 1.21 | 25.90 | 0.03 |
| 27 | 1.12 | 1.279 × 1018 | 8.13 | 311.00 | 0.85 | 15.69 | 0.02 | |
| 28 | 0.89 | 1.023 × 1018 | 6.50 | 261.14 | 0.68 | 13.54 | 0.02 | |
| 29 | 0.45 | 5.117 × 1017 | 3.25 | 130.26 | 0.40 | 6.93 | 0.05 | |
| 30 | 0.22 | 2.559 × 1017 | 1.63 | 62.21 | 0.09 | 3.35 | 0.01 |
References
- Klokkenburg, M.; Vonk, C.; Claesson, E.M.; Meeldijk, J.D.; Erné, B.H.; Philipse, A.P. Direct imaging of zero-field dipolar structures in colloidal dispersions of synthetic magnetite. J. Am. Chem. Soc. 2004, 126, 16706–16707. [Google Scholar] [CrossRef] [PubMed]
- Kovalenko, M.V.; Bodnarchuk, M.I.; Lechner, R.T.; Günter, H.; Friedrich, S.F.; Wolfgang, H. Fatty acid salts as stabilizers in size- and shape-controlled nanocrystal synthesis: The case of inverse spinel iron oxide. J. Am. Chem. Soc. 2007, 129, 6352–6353. [Google Scholar] [CrossRef] [PubMed]
- Jun, Y.-W.; Seo, J.-W.; Cheon, J. Nanoscaling laws of magnetic nanoparticles and their applicabilities in biomedical sciences. Cheminform 2008, 39, 179–189. [Google Scholar] [CrossRef]
- Lang, X.Y.; Zheng, W.T.; Jiang, Q. Size and interface effects on ferromagnetic and antiferromagnetic transition temperatures. Phys. Rev. B 2006, 73, 224444. [Google Scholar] [CrossRef]
- He, L.; Liu, W.; Xie, Q.; Pi, S.; Morais, P.C. A fast and remote magnetonanothermometry for a liquid environment. Meas. Sci. Technol. 2016, 27, 025901. [Google Scholar] [CrossRef]
- Zhong, J.; Dieckhoff, J.; Schilling, M.; Ludwig, F. Influence of static magnetic field strength on the temperature resolution of a magnetic nanoparticle thermometer. J. Appl. Phys. 2016, 120, 143902. [Google Scholar] [CrossRef]
- Weaver, J.B.; Rauwerdink, A.M.; Hansen, E.W. Magnetic nanoparticle temperature estimation. Med. Phys. 2009, 36, 1822. [Google Scholar] [CrossRef] [PubMed]
- Du, Z.Z.; Su, R.J.; Liu, W.Z.; Huang, Z.X. Magnetic nanoparticle thermometer: An investigation of minimum error transmission path and AC bias error. Sensors 2015, 15, 8624–8641. [Google Scholar] [CrossRef] [PubMed]
- Rauwerdink, A.M.; Hansen, E.W.; Weaver, J.B. Nanoparticle temperature estimation in combined ac and dc magnetic fields. Phys. Med. Biol. 2009, 54, L51. [Google Scholar] [CrossRef]
- Zhong, J.; Liu, W.; Jiang, L.; Yang, M.; Morais, P.C. Real-time magnetic nanothermometry: The use of magnetization of magnetic nanoparticles assessed under low frequency triangle-wave magnetic fields. Rev. Sci. Instrum. 2014, 85, 1783–2887. [Google Scholar] [CrossRef]
- Ming, Z.; Jing, Z.; Liu, W.; Du, Z.; Huang, Z.; Ming, Y.; Morais, P.C. Study of Magnetic Nanoparticle Spectrum for Magnetic Nanothermometry. IEEE Trans. Magn. 2015, 51, 1–6. [Google Scholar]
- Bock, N.; Riminucci, A.; Dionigi, C.; Russo, A.; Tampieri, A.; Landi, E.; Goranov, V.A.; Marcacci, M.; Dediu, V. A novel route in bone tissue engineering: Magnetic biomimetic scaffolds. Acta. Biomater. 2010, 6, 786–796. [Google Scholar] [CrossRef] [PubMed]
- Jiang, S.; Eltoukhy, A.A.; Love, K.T.; Langer, R.; Anderson, D.G. Lipidoid-Coated Iron Oxide Nanoparticles for Efficient DNA and siRNA delivery. Nano. Lett. 2013, 13, 1059–1064. [Google Scholar] [CrossRef] [PubMed]
- Ito, A.; Shinkai, M.; Honda, H.; Kobayashi, T. Medical application of functionalized magnetic nanoparticles. J. Biosci. Bioeng. 2005, 100, 1–11. [Google Scholar] [CrossRef] [PubMed]
- Sabale, S.; Kandesar, P.; Jadhav, V.; Komorek, R.; Motkuri, R.K.; Yu, X.Y. Recent developments in the synthesis, properties, and biomedical applications of core/shell superparamagnetic iron oxide nanoparticles with gold. Biomater. Sci. 2017, 5, 2212. [Google Scholar] [CrossRef] [PubMed]
- Bu, L.; Xie, J.; Chen, K.; Huang, J.; Aguilar, Z.P.; Wang, A.; Sun, K.W.; Chua, M.S.; So, S.; Cheng, Z. Assessment and comparison of magnetic nanoparticles as MRI contrast agents in a rodent model of human hepatocellular carcinoma. Contrast Media Mol. Imaging 2012, 7, 363–372. [Google Scholar] [CrossRef] [PubMed]
- Huang, J.; Wang, L.; Lin, R.; Wang, A.Y.; Yang, L.; Kuang, M.; Qian, W.; Mao, H. Casein-coated iron oxide nanoparticles for high MRI contrast enhancement and efficient cell targeting. Appl. Mater. Interfaces 2013, 5, 4632–4639. [Google Scholar] [CrossRef]
- Dias, M.H.M.; Lauterbur, P.C. Ferromagnetic particles as contrast agents for magnetic resonance imaging of liver and spleen. Magn. Reson. Med. 2010, 3, 328–330. [Google Scholar] [CrossRef]
- Werner, E.J.; Datta, A.; Jocher, C.J.; Raymond, K.N. High-relaxivity MRI contrast agents: Where coordination chemistry meets medical imaging. Angew. Chem. 2008, 47, 8568–8580. [Google Scholar] [CrossRef]
- Xie, J.; Huang, J.; Li, X.; Sun, S.; Chen, X. Iron oxide nanoparticle platform for biomedical applications. Curr. Med. Chem. 2009, 16, 1278–1294. [Google Scholar] [CrossRef]
- Henson, R. Introduction to functional magnetic resonance imaging: Principles and techniques. Acta Radiol. 2002, 43, 2110. [Google Scholar] [CrossRef]
- Brown, M.A.; Semelka, R.C. MRI: Basic Principles and Applications, 2rd ed.; John Wiley & Sons: Hoboken, NJ, USA, 2015. [Google Scholar]
- Mody, V.V.; Nounou, M.I.; Bikram, M. Novel nanomedicine-based MRI contrast agents for gynecological malignancies. Adv. Drug Deliv. Rev. 2009, 61, 795–807. [Google Scholar] [CrossRef] [PubMed]
- Callaghan, P.T. Principles of Nuclear Magnetic Resonance Microscopy; Oxford University Press: New York, NY, USA, 1991. [Google Scholar]
- Caravan, P.; Ellison, J.J.; Mcmurry, T.J.; Lauffer, R.B. Gadolinium(III) Chelates as MRI Contrast Agents: Structure, Dynamics, and Applications. Cheminform 2010, 30, 2293–2352. [Google Scholar] [CrossRef]
- Lauffer, R.B. Paramagnetic metal complexes as water proton relaxation agents for NMR imaging: Theory and design. Chem.. Rev. 1987, 87, 901–927. [Google Scholar] [CrossRef]
- Lee, J.-H.; Huh, Y.-M.; Jun, Y.-W.; Seo, J.-W.; Jang, J.-T.; Song, H.-T.; Kim, S.-J.; Cho, E.-J.; Yoon, H.-G.; Suh, J.-S.; et al. Artificially engineered magnetic nanoparticles for ultra-sensitive molecular imaging. Nat. Med. 2007, 13, 95–99. [Google Scholar] [CrossRef] [PubMed]
- Jang, J.-T.; Nah, H.; Lee, J.-H.; Moon, S.H.; Kim, M.G.; Cheon, J. Critical enhancements of MRI contrast and hyperthermic effects by dopant-controlled magnetic nanoparticles. Angew. Chem. 2009, 121, 1260–1264. [Google Scholar] [CrossRef]
- Miclea, C.; Tanasoiu, C.; Miclea, C.F.; Spanulescu, I.; Cioangher, M.; Miclea, C.T. Magnetic Temperature Transducers Made from Copper Based Soft Ferrite. Adv. Sci. Technol. 2008, 54, 62–69. [Google Scholar] [CrossRef]
- Hankiewicz, J.H.; Alghamdi, N.; Hammelev, N.M.; Anderson, N.R.; Camley, R.E.; Stupic, K.; Przybylski, M.; Zukrowski, J.; Celinski, Z.J. Zinc doped copper ferrite particles as temperature sensors for magnetic resonance imaging. Aip. Adv. 2017, 7, 56703. [Google Scholar] [CrossRef]
- Sherman, S.G.; Wereley, N.M. Effect of Particle Size Distribution on Chain Structures in Magnetorheological Fluids. IEEE Trans. Magn. 2013, 49, 3430–3433. [Google Scholar] [CrossRef]
- Liu, W.Z.; Zhou, M.; Li, K. Estimation of the size distribution of magnetic nanoparticles using modified magnetization curves. Meas. Sci. Technol. 2009, 20, 125802. [Google Scholar] [CrossRef]
- Ferguson, R.M.; Minard, K.R.; Khandhar, A.P.; Krishnan, K.M. Optimizing magnetite nanoparticles for mass sensitivity in magnetic particle imaging. Med. Phys. 2011, 38, 1619–1626. [Google Scholar] [CrossRef] [PubMed]
- Lak, A.; Ludwig, F.; Scholtyssek, J.M.; Dieckhoff, J.; Fiege, K.; Schilling, M. Size Distribution and Magnetization Optimization of Single-Core Iron Oxide Nanoparticles by Exploiting Design of Experiment Methodology. IEEE Trans. Magn. 2013, 49, 201–207. [Google Scholar] [CrossRef]
- Adolphi, N.L.; Huber, D.L.; Bryant, H.C.; Monson, T.C.; Fegan, D.L.; Jitkang, L.; Trujillo, J.E.; Tessier, T.E.; Lovato, D.M.; Butler, K.S. Characterization of single-core magnetite nanoparticles for magnetic imaging by SQUID relaxometry. Phys. Med. Biol. 2012, 55, 5985–6003. [Google Scholar] [CrossRef] [PubMed]
- Østerberg, F.W.; Rizzi, G.; Hansen, M.F. On-chip measurements of Brownian relaxation of magnetic beads with diameters from 10 nm to 250 nm. J. Appl. Phys. 2013, 113, 8130–8183. [Google Scholar] [CrossRef]
- Tong, H.; Kang, W.; Shi, Y.; Zhou, G.; Lu, Y. Physiological function and inflamed-brain migration of mouse monocyte-derived macrophages following cellular uptake of superparamagnetic iron oxide nanoparticles—Implication of macrophage-based drug delivery into the central nervous system. Int. J. Pharm. 2016, 505, 271–282. [Google Scholar] [CrossRef] [PubMed]
- Chen, D.X.; Sun, N.; Huang, Z.J.; Cheng, C.M.; Xu, H.; Gu, H.C. Experimental study on T2 relaxation time of protons in water suspensions of iron-oxide nanoparticles: Effects of polymer coating thickness and over-low. J. Magn. Magn. Mater. 2010, 322, 548–556. [Google Scholar] [CrossRef]
- Sun, N.; Chen, D.X.; Gu, H.C.; Wang, X.L. Experimental study on T2 relaxation time of protons in water suspensions of iron-oxide nanoparticles: Waiting time dependence. J. Magn. Magn. Mater. 2009, 321, 2971–2975. [Google Scholar] [CrossRef]
- Xu, F.; Gu, H. Experimental study on transverse relaxation rate of protons in aqueous suspensions of magnetite nanocrystal clusters with a SiO2 shell. J. Magn. Magn. Mater. 2013, 343, 60–64. [Google Scholar] [CrossRef]
- Chen, D.X.; Xu, F.J.; Gu, H.C. Experimental study on transverse relaxation rate of protons in water suspensions of magnetite nanoclusters: Dependence of cluster sizes, volume fraction, inter-echo time, and waiting time. J. Magn. Magn. Mater. 2012, 324, 2809–2820. [Google Scholar] [CrossRef]
- Roch, A.; Bach-Gansmo, T.; Muller, R.N. In vitro relaxometric characterization of superparamagnetic contrast agents. Magma. Magn. Reson. Mater. Phys. Biol. Med. 1993, 1, 83–88. [Google Scholar] [CrossRef]
- Stark, D.D.; Weissleder, R.; Elizondo, G.; Hahn, P.F.; Saini, S.; Todd, L.E.; Wittenberg, J.; Ferrucci, J.T. Superparamagnetic iron oxide: Clinical application as a contrast agent for MR imaging of the liver. Radiology 1988, 168, 297–301. [Google Scholar] [CrossRef]
- Lee, N.; Hyeon, T. Designed synthesis of uniformly sized iron oxide nanoparticles for efficient magnetic resonance imaging contrast agents. Cheminform 2012, 41, 2575–2589. [Google Scholar]
- Hu, F.Q.; Jia, Q.J.; Li, Y.L.; Gao, M.Y. Facile synthesis of ultrasmall PEGylated iron oxide nanoparticles for dual-contrast T1- and T2-weighted magnetic resonance imaging. Nanotechnology 2011, 22, 245604. [Google Scholar] [CrossRef]
- Lee, N.; Yoo, D.; Ling, D.; Cho, M.H.; Hyeon, T.; Cheon, J. Iron Oxide Based Nanoparticles for Multimodal Imaging and Magnetoresponsive Therapy. Chem. Rev. 2015, 115, 10637. [Google Scholar] [CrossRef]
- Kim, B.; Lee, N.; Kim, H.; An, K.; Park, Y.; Choi, Y.; Shin, K.; Lee, Y.; Kwon, S.G.; Na, H.B.; et al. Large-scale synthesis of uniform and extremely small-sized iron oxide nanoparticles for high-resolution T1 magnetic resonance imaging contrast agents. J. Am. Chem. Soc. 2011, 133, 12624–12631. [Google Scholar] [CrossRef]
- Leal, M.P.; Rivera-Fernández, S.; Franco, J.M.; Pozo, D.; de la Fuente, J.M.; García-Martín, M.L. Long-circulating PEGylated manganese ferrite nanoparticles for MRI-based molecular imaging. Nanoscale 2014, 7, 2050–2059. [Google Scholar] [CrossRef]
- Roch, A.; Gossuin, Y.; Muller, R.N.; Gillis, P. Superparamagnetic colloid suspensions: Water magnetic relaxation and clustering. J. Magn. Magn. Mater. 2005, 293, 532–539. [Google Scholar] [CrossRef]
- Huang, G.M.; Li, H.; Chen, J.H.; Zhao, Z.H.; Yang, L.J.; Chi, X.Q.; Chen, Z.; Wang, X.M.; Gao, J.H. Tunable T1 and T2 contrast abilities of manganese-engineered iron oxide nanoparticles through size control. Nanoscale 2014, 6, 10404–10412. [Google Scholar] [CrossRef]
- Pi, S.; Liu, W.; Wei, K.; Mosiniewicz-Szablewska, E. AC Magnetic Nanothermometry: An Investigation of the Influence of Size Distribution of Magnetic Nanoparticles. IEEE Trans. Magn. 2017, 53, 1–7. [Google Scholar] [CrossRef]
- Enpuku, K.; Tsujita, Y.; Nakamura, K.; Sasayama, T.; Yoshida, T. Biosensing utilizing magnetic markers and superconducting quantum interference devices. Supercond. Sci. Technol. 2017, 30, 53002. [Google Scholar] [CrossRef]
- Yoshida, T.; Ogawa, K.; Tsubaki, T.; Othman, N.B.; Enpuku, K. Detection of Magnetic Nanoparticles Using the Second-Harmonic Signal. IEEE Trans. Magn. 2011, 47, 2863–2866. [Google Scholar] [CrossRef]
- Stamps, R.L. Magnetism of Surfaces, Interfaces, and Nanoscale Materials; Elsevier Science: Amsterdam, Holland, 2016. [Google Scholar]
- Hathaway, H.J.; Butler, K.S.; Adolphi, N.L.; Lovato, D.M.; Belfon, R.; Fegan, D.; Monson, T.C.; Trujillo, J.E.; Tessier, T.E.; Bryant, H.C. Detection of breast cancer cells using targeted magnetic nanoparticles and ultra-sensitive magnetic field sensors. Breast Cancer Res. 2011, 13, R108. [Google Scholar] [CrossRef]
- Draack, S.; Viereck, T.; Nording, F.; Janssen, K.J.; Schilling, M.; Ludwig, F. Determination of dominating relaxation mechanisms from temperature-dependent Magnetic Particle Spectroscopy measurements. J. Magn. Magn. Mater. 2019, 474, 570–573. [Google Scholar] [CrossRef]
- Ahrentorp, F.; Astalan, A.; Blomgren, J.; Jonasson, C.; Wetterskog, E.; Svedlindh, P.; Lak, A.; Ludwig, F.; Ijzendoorn, L.J.V.; Westphal, F. Effective particle magnetic moment of multi-core particles. J. Magn. Magn. Mater. 2015, 380, 221–226. [Google Scholar] [CrossRef]
- Ludwig, F.; Kazakova, O.; Barquin, L.F.; Fornara, A.; Johansson, C. Magnetic, Structural, and Particle Size Analysis of Single- and Multi-Core Magnetic Nanoparticles. IEEE Trans. Magn. 2014, 50, 1–4. [Google Scholar] [CrossRef]
- Ocean NanoTech. Conjugation Protocol of Carboxylic Acid Functionalized Iron Oxide Nanoparticles (SHP). Available online: https://www.oceannanotech.com/media/wysiwyg/protocol/SHP_5-30_PTC.pdf (accessed on 24 June 2019).
- Chavhan, G.B.; Babyn, P.S.; Thomas, B.; Shroff, M.M.; Haacke, E.M. Principles, techniques, and applications of T2*-based MR imaging and its special applications. Radiographics 2009, 29, 1433–1449. [Google Scholar] [CrossRef]
- Na, H.B.; Song, I.C.; Hyeon, T. Inorganic Nanoparticles for MRI Contrast Agents. Adv. Mater. 2009, 21, 2133–2148. [Google Scholar] [CrossRef]
- Zhou, Z.; Zhao, Z.; Zhang, H.; Wang, Z.; Chen, X.; Wang, R.; Chen, Z.; Gao, J. Interplay between Longitudinal and Transverse Contrasts in Fe3O4 Nanoplates with (111) Exposed Surfaces. ACS Nano 2014, 8, 7976. [Google Scholar] [CrossRef]
- Manus, L.M.; Strauch, R.C.; Hung, A.H.; Eckermann, A.L.; Meade, T.J. Analytical Methods for Characterizing Magnetic Resonance Probes. Anal. Chem. 2012, 84, 6278–6287. [Google Scholar] [CrossRef]









| Sample | DLS | Nominal Size (nm) | |
|---|---|---|---|
| Median Diameter (μ/nm) | Variance | ||
| SHP-05 | 18.24 | 0.28 | 5 |
| SHP-10 | 29.72 | 0.22 | 10 |
| SHP-15 | 37.11 | 0.24 | 15 |
| SHP-20 | 28.22 | 0.23 | 20 |
| SHP-25 | 36.85 | 0.23 | 25 |
| SHP-30 | 40.40 | 0.24 | 30 |
© 2019 by the authors. Licensee MDPI, Basel, Switzerland. This article is an open access article distributed under the terms and conditions of the Creative Commons Attribution (CC BY) license (http://creativecommons.org/licenses/by/4.0/).
Share and Cite
Zhang, Y.; Cheng, J.; Liu, W. Characterization and Relaxation Properties of a Series of Monodispersed Magnetic Nanoparticles. Sensors 2019, 19, 3396. https://doi.org/10.3390/s19153396
Zhang Y, Cheng J, Liu W. Characterization and Relaxation Properties of a Series of Monodispersed Magnetic Nanoparticles. Sensors. 2019; 19(15):3396. https://doi.org/10.3390/s19153396
Chicago/Turabian StyleZhang, Yapeng, Jingjing Cheng, and Wenzhong Liu. 2019. "Characterization and Relaxation Properties of a Series of Monodispersed Magnetic Nanoparticles" Sensors 19, no. 15: 3396. https://doi.org/10.3390/s19153396
APA StyleZhang, Y., Cheng, J., & Liu, W. (2019). Characterization and Relaxation Properties of a Series of Monodispersed Magnetic Nanoparticles. Sensors, 19(15), 3396. https://doi.org/10.3390/s19153396
