Dynamic Parameter Identification for a Manipulator with Joint Torque Sensors Based on an Improved Experimental Design
-
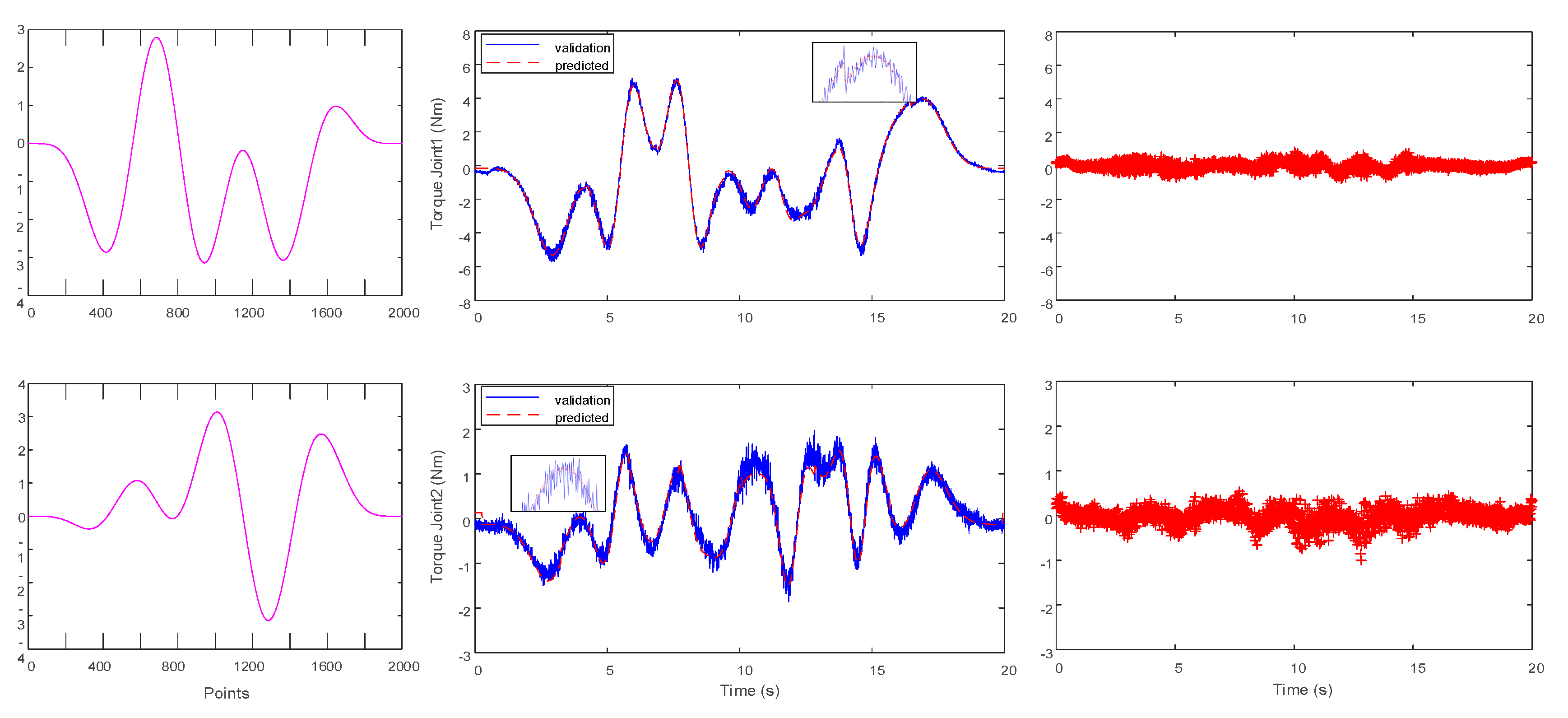
Externally hosted supplementary file 1
Doi: doi.org/10.5281/zenodo.2653671
Link: http://doi.org/10.5281/zenodo.2653671
Description: programs and simulation schemes
Jia, J.; Zhang, M.; Zang, X.; Zhang, H.; Zhao, J. Dynamic Parameter Identification for a Manipulator with Joint Torque Sensors Based on an Improved Experimental Design. Sensors 2019, 19, 2248. https://doi.org/10.3390/s19102248
Jia J, Zhang M, Zang X, Zhang H, Zhao J. Dynamic Parameter Identification for a Manipulator with Joint Torque Sensors Based on an Improved Experimental Design. Sensors. 2019; 19(10):2248. https://doi.org/10.3390/s19102248
Chicago/Turabian StyleJia, Jidong, Minglu Zhang, Xizhe Zang, He Zhang, and Jie Zhao. 2019. "Dynamic Parameter Identification for a Manipulator with Joint Torque Sensors Based on an Improved Experimental Design" Sensors 19, no. 10: 2248. https://doi.org/10.3390/s19102248


