Design of Wideband GHz Electric Field Sensor Integrated with Optical Fiber Transmission Link for Electromagnetic Pulse Signal Measurement
Abstract
1. Introduction
2. Design of the Sensor
2.1. Design of the D-dot Antenna
2.1.1. Calculation for the Shape
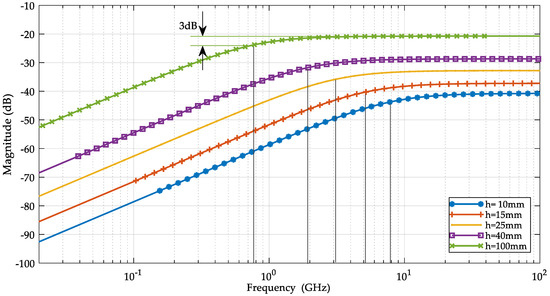
2.1.2. Frequency Domain Analysis
2.2. Design of the Fiber Transmission Link
3. Experimental Verification of the Sensor
4. Conclusions
Author Contributions
Funding
Conflicts of Interest
References
- Zhang, J.; Chen, F.; Sun, B. Integrated Optical E-Field Sensor for Intense Nanosecond Electromagnetic Pulse Measurement. IEEE Photonics Technol. Lett. 2014, 26, 275–277. [Google Scholar] [CrossRef]
- Zhang, J.; Chen, F.; Sun, B.; Chen, K.; Wang, L. A three-axis optical electric field sensor for high-altitude nuclear electromagnetic pulse (HNEMP) measurement. In Proceedings of the 2015 IEEE International Conference on Computational Intelligence and Virtual Environments for Measurement Systems and Applications (CIVEMSA), Shenzhen, China, 12–14 June 2015; pp. 1–4. [Google Scholar]
- Ren, M.; Zhou, J.; Yang, S.; Zhuang, T.; Dong, M.; Albarracín, R. Optical Partial Discharge Diagnosis in SF6 Gas-Insulated System with SiPM-Based Sensor Array. IEEE Sens. J. 2018, 18, 5532–5540. [Google Scholar] [CrossRef]
- Hussain, G.A.; Shafiq, M.; Lehtonen, M.; Hashmi, M. Online Condition Monitoring of MV Switchgear Using D-dot Sensor to Predict Arc-Faults. IEEE Sens. J. 2015, 15, 7262–7272. [Google Scholar] [CrossRef]
- Billard, T.; Fresnet, F.; Makarov, M.; Lebey, T.; Castelan, P.; Bidan, P.; Dinculescu, S. Using non-intrusive sensors to detect partial discharges in a PWM inverter environment: A twisted pair example. In Proceedings of the 2013 IEEE Electrical Insulation Conference (EIC), Ottawa, ON, Canada, 2–5 June 2013; pp. 329–332. [Google Scholar]
- Yao, L.; Huang, J.; Kang, N.; Shen, T.; Liu, D.; Zhang, F.; Sun, H. Implementation of a measurement system on field uniformity of transient electromagnetic field. IEEE Electromagn. Compat. Mag. 2016, 5, 43–49. [Google Scholar] [CrossRef]
- Zhang, J.; Chen, F.; Sun, B.; Chen, K.; Li, C. 3D Integrated Optical E-Field Sensor for Lightning Electromagnetic Impulse Measurement. IEEE Photonics Technol. Lett. 2014, 26, 2353–2356. [Google Scholar] [CrossRef]
- Lin, C.Y.; Wang, A.X.; Lee, B.S.; Zhang, X.; Chen, R.T. High dynamic range electric field sensor for electromagnetic pulse detection. Opt. Exp. 2011, 19, 17372–17377. [Google Scholar] [CrossRef] [PubMed]
- Si, R.R.; Shi, L.H.; Li, Y.X.; Chen, R. Design and test of a small size fiber-optic electric field sensor. In Proceedings of the 2011 7th Asia-Pacific International Conference on Lightning, Chengdu, China, 1–4 November 2011; pp. 391–395. [Google Scholar]
- Kong, X.; Xie, Y.Z.; Li, Q.; He, S.Y.; Jin, Y.B. Development of One-Dimensional Norm Detector for Nanosecond-Level Transient Electric Field Measurement. IEEE Trans. Electromagn. Compat. 2017, 59, 1035–1040. [Google Scholar] [CrossRef]
- Azpúrua, M.A.; Pous, M.; Silva, F. A measurement system for radiated transient electromagnetic interference based on general purpose instruments. In Proceedings of the 2015 IEEE International Symposium on Electromagnetic Compatibility (EMC), Dresden, Germany, 16–22 August 2015; pp. 1189–1194. [Google Scholar]
- Wang, B.; Zeng, R.; Niu, B.; Li, X.; Yu, J. Sensitivity improvement of integrated optical E-field sensor based on common path interferometer. In Proceedings of the 2012 IEEE Sensors, Taipei, Taiwan, 28–31 October 2012; pp. 1–5. [Google Scholar]
- Yongjun, Y.; Fushen, C. Optical Characteristics of the Optical E-Field Sensor Using LiNbO3 M-Z Waveguides in the Static Field. In Proceedings of the 2006 International Conference on Communications, Circuits and Systems, Guilin, China, 25–28 June 2006; pp. 1975–1977. [Google Scholar]
- Drexler, P.; Fiala, P. Methods for High-Power EM Pulse Measurement. IEEE Sens. J. 2007, 7, 1006–1011. [Google Scholar] [CrossRef]
- Kordi, B.; Lo Vetri, J.; Bridges, G.; Jeffrey, I. Calibration methods for electric field probes and GTEM cells. In Proceedings of the 2004 International Symposium on Electromagnetic Compatibility (IEEE Cat. No. 04CH37559), Silicon Valley, CA, USA, 9–13 August 2004; pp. 908–912. [Google Scholar]
- Cui, Z.; Mao, C.; Nie, X.; Wang, W.; Chen, P. E-field sensor design for subnanosecond fast transient. In Proceedings of the 2012 6th Asia-Pacific Conference on Environmental Electromagnetics (CEEM), Shanghai, China, 6–9 November 2012; pp. 108–110. [Google Scholar]
- De, N.C.; Ghosh, T.K.; Poddar, D.R.; Chowdhury, S.K. Design and experimental investigation of the asymptotic conical dipole antenna. IEEE Trans. Electromagn. Compat. 1995, 37, 282–285. [Google Scholar] [CrossRef]
- Baum, C.; Breen, E.; Giles, J.; O’neill, J.; Sower, G. Sensors for electromagnetic pulse measurements both inside and away from nuclear source regions. IEEE Trans. Electromagn. Compat. 1978, 26, 22–35. [Google Scholar] [CrossRef]
- Saboktakin, S.; Kordi, B. Application of time-domain antenna techniques in electromagnetic field sensors characterization. In Proceedings of the 14th International Symposium on Antenna Technology and Applied Electromagnetics & the American Electromagnetics Conference, Ottawa, ON, Canada, 5–8 July 2010; pp. 1–4. [Google Scholar]
- Linten, D.; Thijs, S.; Okushima, M.; Scholz, M.; Borremans, J.; Dehan, M.; Groeseneken, G. A 4.5 kV HBM, 300 V CDM, 1.2 kV HMM ESD protected DC-to-16.1 GHz wideband LNA in 90 nm CMOS. In Proceedings of the 31st EOS/ESD Symposium, Anaheim, CA, USA, 30 August–4 September 2009; pp. 1–6. [Google Scholar]
- Okushima, M.; Borremans, J.; Linten, D.; Groeseneken, G. A DC-to-22 GHz 8.4mW compact dual-feedback wideband LNA in 90 nm digital CMOS. In Proceedings of the IEEE Radio Frequency Integrated Circuits Symposium, Boston, MA, USA, 7–9 June 2009; pp. 295–298. [Google Scholar]
- Ponton, D.; Palestri, P.; Esseni, D.; Selmi, L.; Tiebout, M.; Parvais, B.; Siprak, D.; Knoblinger, G. Design of Ultra-Wideband Low-Noise Amplifiers in 45-nm CMOS Technology: Comparison Between Planar Bulk and SOI FinFET Devices. IEEE Trans. Circuits Syst. I Regul. Papers 2009, 56, 920–932. [Google Scholar] [CrossRef]
- Liu, B.; Mao, M.; Boon, C.C.; Choi, P.; Khanna, D.; Fitzgerald, E.A. A Fully Integrated Class-J GaN MMIC Power Amplifier for 5-GHz WLAN 802.11ax Application. IEEE Microw. Wirel. Compon. Lett. 2018, 28, 434–436. [Google Scholar] [CrossRef]
- Xu, Y.G.; Gao, C.; Li, Y.-X.; Zhou, B.-H. Design of optic fiber transmission system used in the measurement of broadband EMP signal. In Proceedings of the 5th Asia-Pacific Conference on Environmental Electromagnetics, Xi’an, China, 16–20 September 2009; pp. 180–183. [Google Scholar]
- Zhou, M.; Zhang, A.; Cai, Z.; Xu, H.; Liu, Y.; Li, M. Design of high power LD soft-switching linear drive power supply and temperature controller. In Proceedings of the 2nd International Conference on Anti-counterfeiting, Security and Identification, Guiyang, China, 20–23 August 2008; pp. 372–377. [Google Scholar]
- Zhang, H.; Zhou, Y.; Shi, L.; Ma, R.; Huang, Z. Design of electric field sensors for measurement of electromagnetic pulse. Sens. Trans. 2014, 162, 131–135. [Google Scholar]
- Zhang, A.; Zhou, M.; Cai, Z.; Xu, H. Design of a new-style and high-stability LD drive power supply. In Proceedings of the 3rd International Conference on Anti-counterfeiting, Security, and Identification in Communication, Hong Kong, China, 20–22 August 2009; pp. 238–241. [Google Scholar]
- Attivissimo, F.; Guarnieri Calò Carducci, C.; Marzocca, C. A MATLAB-Based Method for Designing High-Gain Resonant Transimpedance Amplifiers. IEEE Sens. J. 2016, 16, 4828–4838. [Google Scholar] [CrossRef]
- Garcia del Pozo, J.M.; Celma, S.; Gimeno, C.; Camon, A. Design and experimental verification of low cost plastic optical fibre transimpedance amplifiers. IET Optoelectron. 2013, 7, 110–116. [Google Scholar] [CrossRef]
- Trabelsi, A.; Boukadoum, M. Comparison of Two CMOS Front-End Transimpedance Amplifiers for Optical Biosensors. IEEE Sens. J. 2013, 13, 657–663. [Google Scholar] [CrossRef]













| h (mm) | |||||
|---|---|---|---|---|---|
| 10 | 7.91 | 6.12 | 0.41 | 4.24 | 7.79 |
| 15 | 11.87 | 9.18 | 0.61 | 9.53 | 5.19 |
| 25 | 19.78 | 15.30 | 1.02 | 26.47 | 3.12 |
| 40 | 31.64 | 24.48 | 1.63 | 67.77 | 1.95 |
| 100 | 79.10 | 61.19 | 4.09 | 423.48 | 0.78 |
© 2018 by the authors. Licensee MDPI, Basel, Switzerland. This article is an open access article distributed under the terms and conditions of the Creative Commons Attribution (CC BY) license (http://creativecommons.org/licenses/by/4.0/).
Share and Cite
Zhang, G.; Li, W.; Qi, L.; Liu, J.; Song, Z.; Wang, J. Design of Wideband GHz Electric Field Sensor Integrated with Optical Fiber Transmission Link for Electromagnetic Pulse Signal Measurement. Sensors 2018, 18, 3167. https://doi.org/10.3390/s18093167
Zhang G, Li W, Qi L, Liu J, Song Z, Wang J. Design of Wideband GHz Electric Field Sensor Integrated with Optical Fiber Transmission Link for Electromagnetic Pulse Signal Measurement. Sensors. 2018; 18(9):3167. https://doi.org/10.3390/s18093167
Chicago/Turabian StyleZhang, Guogang, Wenfan Li, Lu Qi, Jingcun Liu, Zhengxiang Song, and Jianhua Wang. 2018. "Design of Wideband GHz Electric Field Sensor Integrated with Optical Fiber Transmission Link for Electromagnetic Pulse Signal Measurement" Sensors 18, no. 9: 3167. https://doi.org/10.3390/s18093167
APA StyleZhang, G., Li, W., Qi, L., Liu, J., Song, Z., & Wang, J. (2018). Design of Wideband GHz Electric Field Sensor Integrated with Optical Fiber Transmission Link for Electromagnetic Pulse Signal Measurement. Sensors, 18(9), 3167. https://doi.org/10.3390/s18093167

