Reliability of 3D Lower Extremity Movement Analysis by Means of Inertial Sensor Technology during Transitional Tasks
Abstract
1. Introduction
2. Materials and Methods
2.1. Participants
2.2. Data Collection
2.2.1. Instrumentation
2.2.2. Movement Protocol
2.3. Data Analysis
2.4. Statistical Analysis and Data Interpretation
2.4.1. Statistical Analysis
2.4.2. Data Interpretation and Presentation
3. Results
3.1. Participants
3.2. Reliability and Agreement
3.2.1. Within-Session Reliability
3.2.2. Between-Session and Between-Operator Reliability
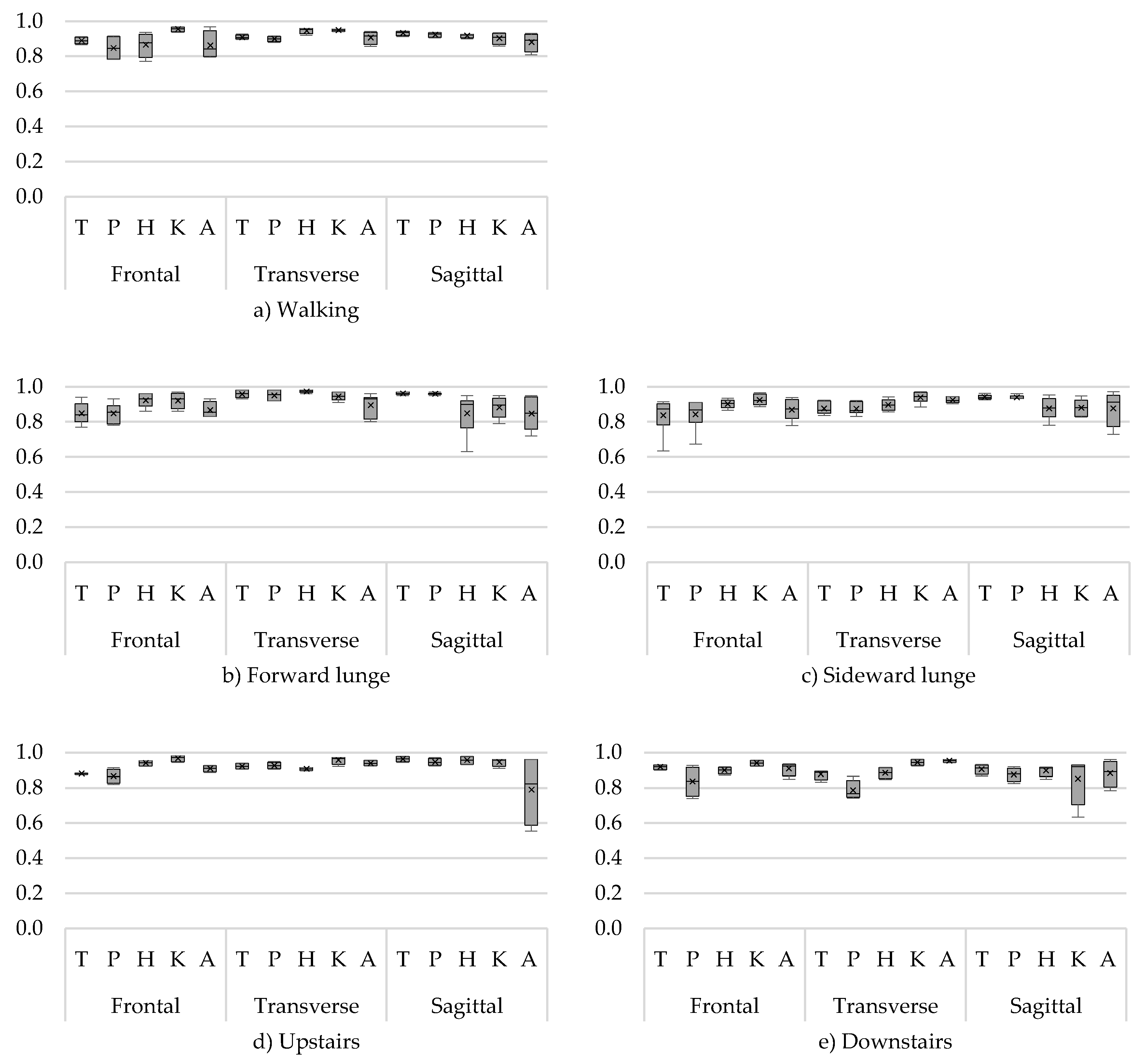
Walking
Forward Lunge
Sideward Lunge
Upstairs
Downstairs
3.2.3. Agreement
4. Discussion
4.1. Interpretation of Study Results
4.2. Study Limitations and Future Research
5. Conclusions
Supplementary Materials
Author Contributions
Funding
Conflicts of Interest
References
- Luinge, H.J.; Veltink, P.H.; Baten, C.T. Estimating orientation with gyroscopes and accelerometers. Technol. Health Care 1999, 7, 455–459. [Google Scholar] [PubMed]
- Roetenberg, D.; Slycke, P.J.; Veltink, P.H. Ambulatory position and orientation tracking fusing magnetic and inertial sensing. IEEE Trans. Bio-Med. Eng. 2007, 54, 883–890. [Google Scholar] [CrossRef] [PubMed]
- Roetenberg, D.; Luinge, H.; Slycke, P. Xsens MVN: Full 6DOF Human Motion Tracking Using Miniature Inertial Sensors; Xsens Motion Technologies BV, Tech Rep.; Xsens Motion Technologies BV: Enschede, The Netherlands, 2009. [Google Scholar]
- Forner-Cordero, A.; Mateu-Arce, M.; Forner-Cordero, I.; Alcantara, E.; Moreno, J.C.; Pons, J.L. Study of the motion artefacts of skin-mounted inertial sensors under different attachment conditions. Physiol. Meas. 2008, 29, N21–N31. [Google Scholar] [CrossRef] [PubMed]
- Robert-Lachaine, X.; Mecheri, H.; Larue, C.; Plamondon, A. Validation of inertial measurement units with an optoelectronic system for whole-body motion analysis. Med. Biol. Eng. Comput. 2017, 55, 609–619. [Google Scholar] [CrossRef] [PubMed]
- Van der Straaten, R.; de Baets, L.; Jonkers, I.; Timmermans, A. Mobile assessment of the lower limb kinematics in healthy persons and in persons with degenerative knee disorders: A systematic review. Gait Posture 2017, 59, 229–241. [Google Scholar] [CrossRef] [PubMed]
- Al-Amri, M.; Nicholas, K.; Button, K.; Sparkes, V.; Sheeran, L.; Davies, J. Inertial Measurement Units for Clinical Movement Analysis: Reliability and Concurrent Validity. Sensors 2018, 18, 719. [Google Scholar] [CrossRef] [PubMed]
- Cloete, T.; Scheffer, C. Repeatability of an off-the-shelf, full body inertial motion capture system during clinical gait analysis. Conf. Proc. IEEE Eng. Med. Biol. Soc. 2010, 2010, 5125–5128. [Google Scholar] [PubMed]
- Nuesch, C.; Roos, E.; Pagenstert, G.; Mundermann, A. Measuring joint kinematics of treadmill walking and running: Comparison between an inertial sensor based system and a camera-based system. J. Biomech. 2017, 57, 32–38. [Google Scholar] [CrossRef] [PubMed]
- Komnik, I.; Weiss, S.; Pagani, C.H.F.; Potthast, W. Motion analysis of patients after knee arthroplasty during activities of daily living—A systematic review. Gait Posture 2015, 41, 370–377. [Google Scholar] [CrossRef] [PubMed]
- Simic, M.; Hunt, M.A.; Bennell, K.L.; Hinman, R.S.; Wrigley, T.V. Trunk lean gait modification and knee joint load in people with medial knee osteoarthritis: The effect of varying trunk lean angles. Arthritis Care Res. 2012, 64, 1545–1553. [Google Scholar] [CrossRef] [PubMed]
- Xsens Technologies BV. MVN User Manual: User Guide MVN, MVN BIOMECH, MVN Link, MVN Awinda. Available online: https://fccid.io/QILMTW2-3A7G6/User-Manual/Users-Manual-2695756 (accessed on 21 June 2018).
- Robert-Lachaine, X.; Mecheri, H.; Larue, C.; Plamondon, A. Accuracy and repeatability of single-pose calibration of inertial measurement units for whole-body motion analysis. Gait Posture 2017, 54, 80–86. [Google Scholar] [CrossRef] [PubMed]
- Wu, G.; Siegler, S.; Allard, P.; Kirtley, C.; Leardini, A.; Rosenbaum, D.; Whittle, M.; D’Lima, D.D.; Cristofolini, L.; Witte, H.; et al. ISB recommendation on definitions of joint coordinate system of various joints for the reporting of human joint motion—Part I: Ankle, hip, and spine. International Society of Biomechanics. J. Biomech. 2002, 35, 543–548. [Google Scholar] [CrossRef]
- Kobsar, D.; Osis, S.T.; Phinyomark, A.; Boyd, J.E.; Ferber, R. Reliability of gait analysis using wearable sensors in patients with knee osteoarthritis. J. Biomech. 2016, 49, 3977–3982. [Google Scholar] [CrossRef] [PubMed]
- De Vroey, H.; Claeys, K.; Vereecke, E.; Vanrenterghem, J.; Deklerck, J.; van Damme, G. Correlation between an inertial and camera based system for the assessment of temporal parameters of gait in the knee arthroplasty population. Gait Posture 2017, 57, 280–281. [Google Scholar]
- Weir, J.P. Quantifying test-retest reliability using the intraclass correlation coefficient and the SEM. J. Strength Cond. Res. 2005, 19, 231–240. [Google Scholar] [PubMed]
- Shrout, P.E.; Fleiss, J.L. Intraclass correlations: Uses in assessing rater reliability. Psychol. Bull. 1979, 86, 420–428. [Google Scholar] [CrossRef] [PubMed]
- Cuesta-Vargas, A.I.; Galán-Mercant, A.; Williams, J.M. The use of inertial sensors system for human motion analysis. Phys. Ther. Rev. 2010, 15, 462–473. [Google Scholar] [CrossRef] [PubMed]
- McGinley, J.L.; Baker, R.; Wolfe, R.; Morris, M.E. The reliability of three-dimensional kinematic gait measurements: A systematic review. Gait Posture 2009, 29, 360–369. [Google Scholar] [CrossRef] [PubMed]
- Favre, J.; Aissaoui, R.; Jolles, B.M.; de Guise, J.A.; Aminian, K. Functional calibration procedure for 3D knee joint angle description using inertial sensors. J. Biomech. 2009, 42, 2330–2335. [Google Scholar] [CrossRef] [PubMed]
- Palermo, E.; Rossi, S.; Marini, F.; Patane, F.; Cappa, P. Experimental evaluation of accuracy and repeatability of a novel body-to-sensor calibration procedure for inertial sensor-based gait analysis. Measurement 2014, 52, 145–155. [Google Scholar] [CrossRef]
- Picerno, P.; Cereatti, A.; Cappozzo, A. Joint kinematics estimate using wearable inertial and magnetic sensing modules. Gait Posture 2008, 28, 588–595. [Google Scholar] [CrossRef] [PubMed]








| Task | Instruction |
|---|---|
| Walking | Start in an upright position, with the feet aligned to the marked starting line. Walk at comfortable speed as you would normally do to the other side of the lab (10 m) until you have passed the stopping line. |
| Forward lunge | Start in an upright position, keep your hands slightly away from the body and the toes aligned with the marked starting line. Step forward with your heel over the predetermined distance (70% leg length) as marked on the ground. While stepping forward, bring your weight of the upper body over the leading leg and be sure that the contralateral leg keeps in contact with the floor throughout the forward lunge. Make sure the entire foot contacts the ground and subsequently step backwards to the initial start position. |
| Sideward lunge | Start in an upright position, keep your hands slightly away from the body and the side of the foot aligned with the marked starting line. Step sideward with your foot over the predetermined distance (70% leg length) as marked on the ground and keep the foot parallel to the marked line. While stepping sideward, bring your weight of the upper body over the leading leg and be sure that the contralateral leg keeps in contact with the floor throughout the sideward lunge. Make sure the entire foot makes contact with the ground and subsequently step backwards to the initial start position. |
| Upstairs/Downstairs | Start in an upright position, with the feet aligned next to each other in front of the first step. Ascent the stair and wait on top of the staircase until we have given the instruction to turn around. At our sign, descent the stair and wait at the bottom of the stair until you’re instructed to turn around. |
| Movement | Sub-Phase | Definition Sub-Phases |
|---|---|---|
| Walking | Stance (ST) Swing (SW) | Initial contact until toe-off Toe-off until initial foot contact |
| Forward lunge/sideward lunge | Swing towards foot contact (SWon) Foot contact on the ground (FTon) Swing backwards (SWoff) | Toe-off until initial foot contact Foot contact until contact was terminated Foot off until foot contact at initial start |
| Upstairs | Stance (ST) Swing (SW) | 2nd stair step up initial contact until toe-off 2nd stair step up toe off until 4th step initial contact |
| Downstairs | Stance (ST) Swing (SW) | 2nd stair step down initial contact until toe-off 2nd stair step down toe off until 4th step initial contact |
© 2018 by the authors. Licensee MDPI, Basel, Switzerland. This article is an open access article distributed under the terms and conditions of the Creative Commons Attribution (CC BY) license (http://creativecommons.org/licenses/by/4.0/).
Share and Cite
Van der Straaten, R.; Timmermans, A.; Bruijnes, A.K.B.D.; Vanwanseele, B.; Jonkers, I.; De Baets, L. Reliability of 3D Lower Extremity Movement Analysis by Means of Inertial Sensor Technology during Transitional Tasks. Sensors 2018, 18, 2638. https://doi.org/10.3390/s18082638
Van der Straaten R, Timmermans A, Bruijnes AKBD, Vanwanseele B, Jonkers I, De Baets L. Reliability of 3D Lower Extremity Movement Analysis by Means of Inertial Sensor Technology during Transitional Tasks. Sensors. 2018; 18(8):2638. https://doi.org/10.3390/s18082638
Chicago/Turabian StyleVan der Straaten, Rob, Annick Timmermans, Amber K. B. D. Bruijnes, Benedicte Vanwanseele, Ilse Jonkers, and Liesbet De Baets. 2018. "Reliability of 3D Lower Extremity Movement Analysis by Means of Inertial Sensor Technology during Transitional Tasks" Sensors 18, no. 8: 2638. https://doi.org/10.3390/s18082638
APA StyleVan der Straaten, R., Timmermans, A., Bruijnes, A. K. B. D., Vanwanseele, B., Jonkers, I., & De Baets, L. (2018). Reliability of 3D Lower Extremity Movement Analysis by Means of Inertial Sensor Technology during Transitional Tasks. Sensors, 18(8), 2638. https://doi.org/10.3390/s18082638

