High Resolution pH Measurements Using a Lab-on-Chip Sensor in Surface Waters of Northwest European Shelf Seas
Abstract
1. Introduction
2. Method
2.1. Cruise
2.2. Data
2.2.1. Underway Measurements
2.2.2. Discrete Underway Water Samples
2.2.3. CTD Variables
2.2.4. Quality Control of Carbonate Chemistry Data
2.3. Study Region: Hydrography of the Northwest European shelf seas
2.4. Statistical Approach
3. Results and Discussion
3.1. Non-Carbonate Data Distributions
3.2. Distribution of Carbonate Chemistry Variables
3.3. pH Control by Environmental Forcings
3.3.1. Surface Data from CTD Stations along the Full Transect
3.3.2. Underway Data for the 11 Regions
3.4. pH Dynamics
3.4.1. Primary Production
3.4.2. Temperature
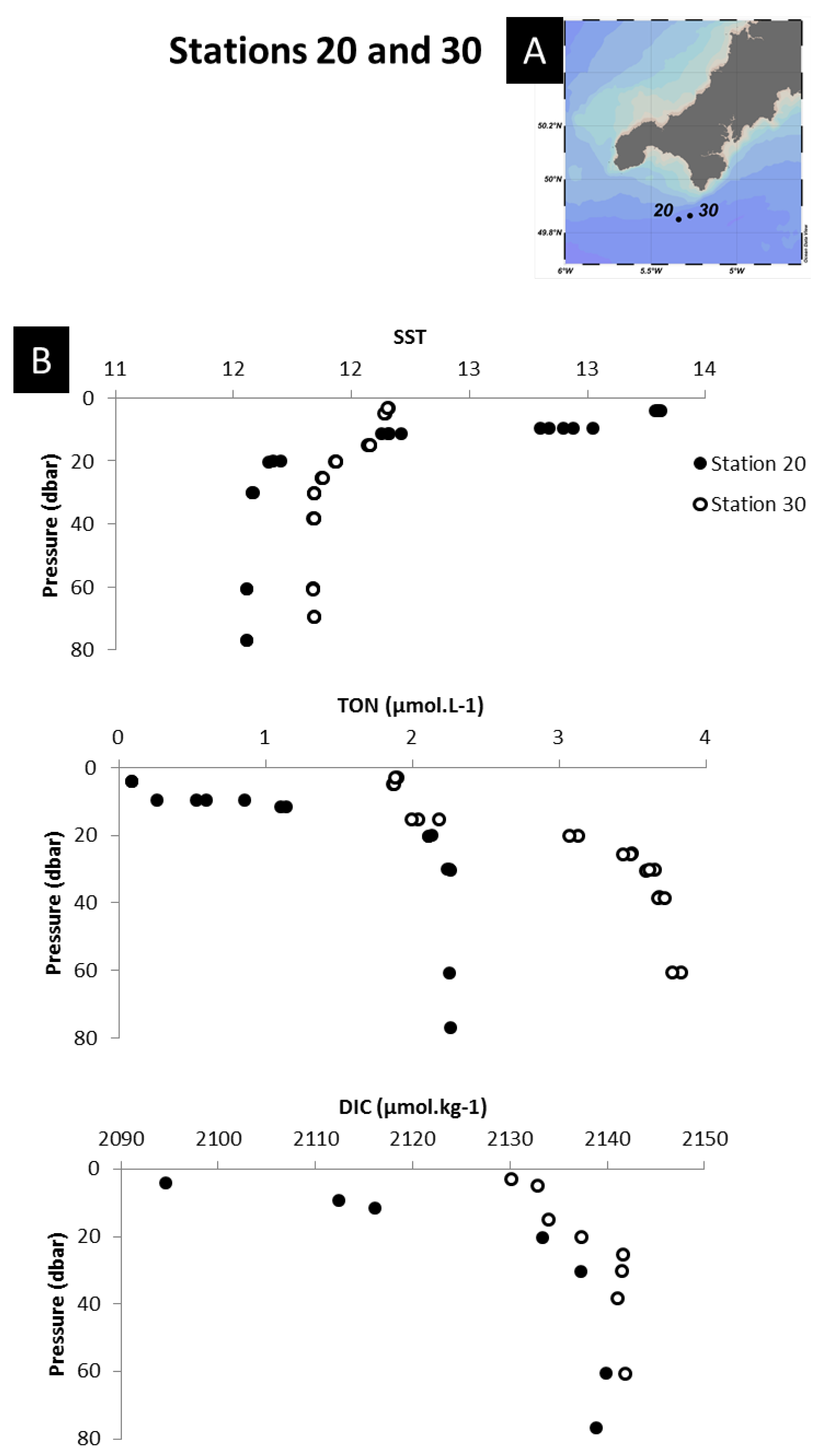
3.4.3. Organic and Inorganic River Inputs: Remineralisation
3.4.4. Mixing
4. Conclusions
Author Contributions
Funding
Acknowledgments
Conflicts of Interest
References
- Le Quéré, C.; Andres, R.J.; Boden, T.; Conway, T.; Houghton, R.A.; House, J.I.; Marland, G.; Peters, G.P.; van der Werf, G.R.; Ahlström, A.; et al. The global carbon budget 1959–2011. Earth Syst. Sci. Data 2013, 5, 165–186. [Google Scholar] [CrossRef]
- Orr, J.C.; Fabry, V.J.; Aumont, O.; Bopp, L.; Doney, S.C.; Feely, R.A.; Gnanadesikan, A.; Gruber, N.; Ishida, A.; Joos, F.; et al. Anthropogenic ocean acidification over the twenty-first century and its impact on calcifying organisms. Nature 2005, 437, 681–686. [Google Scholar] [CrossRef] [PubMed]
- Volk, T.; Hoffert, M. Ocean carbon pumps-analysis of relative strengths and efficiencies in ocean-driven atmospheric CO2 changes. Camb. Contemp. Astrophys. 1985, 32, 99–110. [Google Scholar]
- Borges, A.V.; Delille, B.; Frankignoulle, M. Budgeting sinks and sources of CO2 in the coastal ocean: Diversity of ecosystems counts. Geophys. Res. Lett. 2005, 32, L14601. [Google Scholar] [CrossRef]
- Chen, C.-T.A.; Borges, A.V. Reconciling opposing views on carbon cycling in the coastal ocean: Continental shelves as sinks and near-shore ecosystems as sources of atmospheric CO2. Deep. Sea Res. Part II 2009, 56, 578–590. [Google Scholar] [CrossRef]
- Thomas, H.; Bozec, Y.; Elkalay, K.; de Baar, H.J.W. Enhanced open ocean storage of CO2 from shelf sea pumping. Science 2004, 304, 1005–1008. [Google Scholar] [CrossRef] [PubMed]
- Doney, S.C.; Fabry, V.J.; Feely, R.A.; Kleypas, J.A. Ocean acidification: The other CO2 problem. Annu. Rev. Mar. Sci. 2009, 1, 169–192. [Google Scholar] [CrossRef] [PubMed]
- Clarke, J.S.; Achterberg, E.P.; Connelly, D.P.; Schuster, U.; Mowlem, M. Developments in marine pCO2 measurement technology; towards sustained in situ observations. TrAC Trends Anal. Chem. 2017, 88, 53–61. [Google Scholar] [CrossRef]
- Prien, R.D. The future of chemical in situ sensors. Mar. Chem. 2007, 107, 422–432. [Google Scholar] [CrossRef]
- Nightingale, A.M.; Beaton, A.D.; Mowlem, M.C. Trends in microfluidic systems for in situ chemical analysis of natural waters. Sens. Actuators B 2015, 221, 1398–1405. [Google Scholar]
- Rérolle, V.; Floquet, C.F.A.; Mowlem, M.C.; Connelly, D.P.; Achterberg, E.P.; Bellerby, R.R.G.J. Seawater-pH measurements for ocean-acidification observations. TrAC Trends Anal. Chem. 2012, 40, 146–157. [Google Scholar] [CrossRef]
- Bellerby, R.G.J.; Turner, D.R.; Millward, G.E.; Worsfold, P.J. Shipboard flow-injection determination of sea-water pH with spectrophotometric detection. Anal. Chim. Acta 1995, 309, 259–270. [Google Scholar] [CrossRef]
- Bellerby, R.G.J.; Olsen, A.; Johannessen, T.; Croot, P. A high precision spectrophotometric method for on-line shipboard seawater pH measurements: The automated marine pH sensor (amps). Talanta 2002, 56, 61–69. [Google Scholar] [CrossRef]
- Aßmann, S.; Frank, C.; Petersen, W.; Koertzinger, A. Autonomous pH and alkalinity sensors for the characterization of the carbonate system in coastal areas. Ocean Sci. 2013, 15, 8760. [Google Scholar]
- DelValls, T.A.; Dickson, A.G. The ph of buffers based on 2-amino-2-hydroxymethyl-1,3-propanediol (‘tris’) in synthetic sea water. Deep. Sea Res. Part I Oceanogr. Res. Pap. 1998, 45, 1541–1554. [Google Scholar] [CrossRef]
- Del-Valls, T.A. Underway pH Measurements in upwelling conditions: The California current. Cienc. Mar. 1999, 25. [Google Scholar] [CrossRef]
- Mosley, L.M.; Husheer, S.L.G.; Hunter, K.A. Spectrophotometric pH measurement in estuaries using thymol blue and m-cresol purple. Mar. Chem. 2004, 91, 175–186. [Google Scholar] [CrossRef]
- Ohline, S.M.; Reid, M.R.; Husheer, S.L.; Currie, K.I.; Hunter, K.A. Spectrophotometric determination of pH in seawater off Taiaroa Head, Otago, New Zealand: Full-spectrum modelling and prediction of pCO2 levels. Mar. Chem. 2007, 107, 143–155. [Google Scholar] [CrossRef]
- Tapp, M.; Hunter, K.; Currie, K.; Mackaskill, B. Apparatus for continuous-flow underway spectrophotometric measurement of surface water pH. Mar. Chem. 2000, 72, 193–202. [Google Scholar] [CrossRef]
- Wang, Z.A.; Liu, X.; Byrne, R.H.; Wanninkhof, R.; Bernstein, R.E.; Kaltenbacher, E.A.; Patten, J. Simultaneous spectrophotometric flow-through measurements of pH, carbon dioxide fugacity, and total inorganic carbon in seawater. Anal. Chim. Acta 2007, 596, 23–36. [Google Scholar] [CrossRef] [PubMed]
- Kitidis, V.; Brown, I.; Hardman-Mountford, N.; Lefèvre, N. Surface ocean carbon dioxide during the Atlantic Meridional transect (1995–2013); evidence of ocean acidification. Prog. Oceanogr. 2016. [Google Scholar] [CrossRef]
- Liu, X.; Wang, Z.A.; Byrne, R.H.; Kaltenbacher, E.A.; Bernstein, R.E. Spectrophotometric measurements of pH in-situ: Laboratory and field evaluations of instrumental performance. Environ. Sci. Technol. 2006, 40, 5036–5044. [Google Scholar] [CrossRef] [PubMed]
- Martz, T.R.; Connery, J.G.; Johnson, K.S. Testing the honeywell durafet® for seawater pH applications. Limnol. Oceanogr. 2010, 8, 172–184. [Google Scholar] [CrossRef]
- Nakano, Y.; Kimoto, H.; Watanabe, S.; Harada, K.; Watanabe, Y.W. Simultaneous vertical measurements of in situ pH and CO2 in the sea using spectrophotometric profilers. J. Oceanogr. 2006, 62, 71–81. [Google Scholar] [CrossRef]
- Seidel, M.P.; DeGrandpre, M.D.; Dickson, A.G. A sensor for in situ indicator-based measurements of seawater pH. Mar. Chem. 2008, 109, 18–28. [Google Scholar] [CrossRef]
- Rérolle, V.M.C.; Floquet, C.F.A.; Harris, A.J.K.; Mowlem, M.C.; Bellerby, R.R.G.J.; Achterberg, E.P. Development of a colorimetric microfluidic pH sensor for autonomous seawater measurements. Anal. Chim. Acta 2013, 786, 124–131. [Google Scholar] [CrossRef] [PubMed]
- Clarke, J.S.; Achterberg, E.P.; Rérolle, V.M.C.; Abi Kaed Bey, S.; Floquet, C.F.A.; Mowlem, M.C. Characterisation and deployment of an immobilised pH sensor spot towards surface ocean pH measurements. Anal. Chim. Acta 2015, 897, 69–80. [Google Scholar] [CrossRef] [PubMed]
- Thomas, H.; Bozec, Y.; de Baar, H.J.W.; Elkalay, K.; Frankignoulle, M.; Schiettecatte, L.S.; Kattner, G.; Borges, A.V. The carbon budget of the North Sea. Biogeosciences 2005, 2, 87–96. [Google Scholar] [CrossRef]
- Sarmiento, J.L.; Gruber, N. Ocean Biogeochemical Dynamics; Princeton University Press: Princeton, NJ, USA, 2006. [Google Scholar]
- Mehrbach, C.; Culberson, C.H.; Hawley, J.E.; Pytkowicz, R.M. Measurement of the apparent dissociation constants of carbonic acid in seawater at atmospheric pressure. Limnol. Oceanogr. 1973, 18, 897–907. [Google Scholar] [CrossRef]
- Dickson, A.; Millero, F. A comparison of the equilibrium constants for the dissociation of carbonic acid in seawater media. Deep Sea Res. Part A Oceanogr. Res. Pap. 1987, 34, 1733–1743. [Google Scholar] [CrossRef]
- Hunter, K.A. The temperature dependence of pH in surface seawater. Deep Sea Res. Part I Oceanogr. Res. Pap. 1998, 45, 1919–1930. [Google Scholar] [CrossRef]
- Zeebe, R.E.; Wolf-Gladrow, D.A. CO2 in Seawater: Equilibrium, Kinetics, Isotopes; Elsevier Science: Amsterdam, The Netherlands, 2001. [Google Scholar]
- Eppley, R.W. Temperature and phytoplankton growth in the sea. Fish Bull 1972, 70, 1063–1085. [Google Scholar]
- Borges, A.V.; Gypens, N. Carbonate chemistry in the coastal zone responds more strongly to eutrophication than to ocean acidification. Limnol. Oceanogr. 2010, 55, 346–353. [Google Scholar] [CrossRef]
- Gypens, N.; Lacroix, G.; Lancelot, C.; Borges, A.V. Seasonal and inter-annual variability of air-sea CO2 fluxes and seawater carbonate chemistry in the southern North Ssea. Prog. Oceanogr. 2011, 88, 59–77. [Google Scholar] [CrossRef]
- Frankignoulle, M.; Abril, G.; Borges, A.; Bourge, I.; Canon, C.; Delille, B.; Libert, E.; Théate, J.-M. Carbon dioxide emission from European estuaries. Science 1998, 282, 434–436. [Google Scholar] [CrossRef] [PubMed]
- Feely, R.A.; Sabine, C.L.; Hernandez-Ayon, J.M.; Ianson, D.; Hales, B. Evidence for upwelling of corrosive” acidified” water onto the continental shelf. Science 2008, 320, 1490. [Google Scholar] [CrossRef] [PubMed]
- Loucaides, S.; Tyrrell, T.; Achterberg, E.P.; Torres, R.; Nightingale, P.D.; Kitidis, V.; Serret, P.; Woodward, M.; Robinson, C. Biological and physical forcing of carbonate chemistry in an upwelling filament off northwest Africa: Results from a Lagrangian study. Glob. Biogeochem. Cycles 2012, 26. [Google Scholar] [CrossRef]
- Doney, S.C.; Mahowald, N.; Lima, I.; Feely, R.A.; Mackenzie, F.T.; Lamarque, J.-F.; Rasch, P.J. Impact of anthropogenic atmospheric nitrogen and sulfur deposition on ocean acidification and the inorganic carbon system. Proc. Natl. Acad. Sci. USA 2007, 104, 14580–14585. [Google Scholar] [CrossRef] [PubMed]
- Thomas, H.; Borges, A.V. Biogeochemistry of coastal seas and continental shelves—Including biogeochemistry during the international polar year. Estuarine Coast. Shelf Sci. 2012, 100, 1–2. [Google Scholar] [CrossRef]
- Kitidis, V.; Hardman-Mountford, N.J.; Litt, E.; Brown, I.; Cummings, D.; Hartman, S.; Hydes, D.; Fishwick, J.R.; Harris, C.; Martinez-Vicente, V.; et al. Seasonal dynamics of the carbonate system in the western English channel. Cont. Shelf Res. 2012, 42, 30–40. [Google Scholar] [CrossRef]
- Ribas Ribas, M.; Rerolle, V.M.C.; Bakker, D.C.E.; Kitidis, V.; Brown, I.; Greenwood, N.; Achterberg, E.P.; Tyrell, T. Intercomparison of carbonate chemistry measurements on a cruise in northwestern European shelf seas. Biogeosciences 2014, 11, 4339–4355. [Google Scholar] [CrossRef]
- Clayton, T.; Byrne, R. Spectrophotometric seawater pH measurements: Total hydrogen ion concentration scale calibration of m-cresol purple and at-sea results. Deep Sea Res. Part 1 Oceanogr. Res. Pap. 1993, 40, 2115–2129. [Google Scholar] [CrossRef]
- Floquet, C.F.A.; Sieben, V.J.; Milani, A.; Joly, E.P.; Ogilvie, I.R.G.; Morgan, H.; Mowlem, M.C. Nanomolar detection with high sensitivity microfluidic absorption cells manufactured in tinted PMMA for chemical analysis. Talanta 2011, 84, 235–239. [Google Scholar] [CrossRef] [PubMed]
- Robert-Baldo, G.L.; Morris, M.J.; Byrne, R.H. Spectrophotometric determination of seawater pH using phenol red. Anal. Chem. 1985, 57, 2564–2567. [Google Scholar] [CrossRef]
- Zhang, H.; Byrne, R.H. Spectrophotometric pH measurements of surface seawater at in-situ conditions: Absorbance and protonation behavior of thymol blue. Mar. Chem. 1996, 52, 17–25. [Google Scholar] [CrossRef]
- Hardman-Mountford, N.J.; Moore, G.; Bakker, D.C.E.; Watson, A.J.; Schuster, U.; Barciela, R.; Hines, A.; Moncoiffé, G.; Brown, J.; Dye, S. An operational monitoring system to provide indicators of CO2-related variables in the ocean. ICES J. Mar. Sci. 2008, 65, 1498–1503. [Google Scholar] [CrossRef]
- Dickson, A.G.; Sabine, C.L.; Christian, J.R. Guide to Best Practices for Ocean CO2 Measurements; North Pacific Marine Science Organization: Sidney, British Columbia, Canada, 2007. [Google Scholar]
- Mintrop, L. Versatile Instrument for the Determination of Titration Alkalinity. Manual for Versions 3s and 3c, Version 2.0; Marine Analytics and Data (Marianda): Kiel, Germany, 2004. [Google Scholar]
- Kirkwood, D. Simultaneous determination of selected nutrients in sea water. Int. Counc. Explor. Sea 1989, 100, 29. [Google Scholar]
- Carritt, D.E.; Carpenter, J. Comparison and evaluation of currently employed modifications of the winkler method for determining dissolved oxygen in seawater; a nasco report. J. Mar. Res 1966, 24, 286–318. [Google Scholar]
- Badr, E.S.A.; Achterberg, E.P.; Tappin, A.D.; Hill, S.J.; Braungardt, C.B. Determination of dissolved organic nitrogen in natural waters using high-temperature catalytic oxidation. TrAC Trends Anal. Chem. 2003, 22, 819–827. [Google Scholar] [CrossRef]
- Pingree, R.; Holligan, P.; Mardell, G. The effects of vertical stability on phytoplankton distributions in the summer on the northwest european shelf. Deep. Sea Res. 1978, 25, 1011–1028. [Google Scholar] [CrossRef]
- Pingree, R.D. Flow of surface waters to the west of the British Isles and in the Bay of Biscay. Deep. Sea Res. Part II Top. Stud. Oceanogr. 1993, 40, 369–388. [Google Scholar] [CrossRef]
- Marrec, P.; Cariou, T.; Collin, E.; Durand, A.; Latimier, M.; Mace, E.; Morin, P.; Raimund, S.; Vernet, M.; Bozec, Y. Seasonal and latitudinal variability of the CO2 system in the western English Channel based on voluntary observing ship (VOS) measurements. Mar. Chem. 2013, 155, 29–41. [Google Scholar] [CrossRef]
- Humphreys, M.P.; Achterberg, E.P.; Hopkins, J.E.; Chowdhury, M.Z.H.; Griffiths, A.M.; Hartman, S.E.; Hull, T.; Smilenova, A.; Wihsgott, J.U.; Woodward, E.M.; et al. Mechanisms for a nutrient-conserving carbon pump in a seasonally stratified, temperate continental shelf sea. Prog. Oceanogr. 2018. [Google Scholar] [CrossRef]
- Borges, A.V.; Schiettecatte, L.S.; Abril, G.; Delille, B.; Gazeau, E. Carbon dioxide in European coastal waters. Estuar. Coast. Shelf Sci. 2006, 70, 375–387. [Google Scholar] [CrossRef]
- OSPAR Commission. Quality Status Report 2000, Region ii Greater North Sea; OSPAR Commission: London, UK, 2000. [Google Scholar]
- Salt, L.A.; Thomas, H.; Prowe, A.E.F.; Borges, A.V.; Bozec, Y.; de Baar, H.J.W. Variability of North Sea pH and CO2 in response to North Atlantic oscillation forcing. J. Geophys. Res. Biogeosciences 2013, 118, 1584–1592. [Google Scholar] [CrossRef]
- Salt, L.A.; Thomas, H.; Bozec, Y.; Borges, A.V.; de Baar, H.J.W. The internal consistency of the North Sea carbonate system. J. Mar. Syst. 2016, 157, 52–64. [Google Scholar] [CrossRef]
- Dumousseaud, C.; Achterberg, E.P.; Tyrrell, T.; Charalampopoulou, A.; Schuster, U.; Hartman, M.; Hydes, D.J. Contrasting effects of temperature and winter mixing on the seasonal and inter-annual variability of the carbonate system in the northeast Atlantic Ocean. Biogeosciences 2010, 7, 1481–1492. [Google Scholar] [CrossRef]
- McGrath, T.; McGovern, E.; Cave, R.R.; Kivimäe, C. The inorganic carbon chemistry in coastal and shelf waters around Ireland. Estuaries Coasts 2016, 39, 27–39. [Google Scholar] [CrossRef]
- Cullison-Gray, S.E.; DeGrandpre, M.D.; Moore, T.S.; Martz, T.R.; Friederich, G.E.; Johnson, K.S. Applications of in situ pH measurements for inorganic carbon calculations. Mar. Chem. 2011, 125, 82–90. [Google Scholar] [CrossRef]
- Watson, A.J.; Robinson, C.; Robinson, J.E.; Le, B.; Williams, P.J.; Fasham, M.J.R. Spatial variability in the sink for atmospheric carbon dioxide in the North Atlantic. Nature 1991, 350, 50–53. [Google Scholar] [CrossRef]
- Hartman, S.E.; Humphreys, M.P.; Kivimäe, C.; Woodward, E.M.S.; Kitidis, V.; McGrath, T.; Hydes, D.J.; Greenwood, N.; Hull, T.; Ostle, C.; et al. Seasonality and spatial heterogeneity of the surface ocean carbonate system in the northwest European continental shelf. Prog. Oceanogr. 2018. [Google Scholar] [CrossRef]
- Simpson, H.J.; Sharples, J. Introduction to the Physical and Biological Oceanography of Shelf Seas; Cambridge University Press: Cambridge, UK, 2012; p. 424. [Google Scholar]
- Huthnance, J.M. North Sea interaction with the North Atlantic Ocean. Ocean Dyn. 1997, 49, 153–162. [Google Scholar] [CrossRef]
- Turrell, W. New hypotheses concerning the circulation of the northern North Sea and its relation to North Sea fish stock recruitment. ICES J. Mar. Sci. 1992, 49, 107–123. [Google Scholar] [CrossRef]
- Richier, S.; Achterberg, E.P.; Dumousseaud, C.; Poulton, A.J.; Suggett, D.J.; Tyrrell, T.; Zubkov, M.V.; Moore, C.M. Phytoplankton responses and associated carbon cycling during shipboard carbonate chemistry manipulation experiments conducted around northwest European shelf seas. Biogeosciences 2014, 11, 4733–4752. [Google Scholar] [CrossRef]
- Richier, S.; Achterberg, E.P.; Humphreys, M.P.; Poulton, A.J.; Suggett, D.J.; Tyrrell, T.; Moore, C.M. Geographical CO2 sensitivity of phytoplankton correlates with ocean buffer capacity. Glob. Chang. Boil. 2018. [Google Scholar] [CrossRef] [PubMed]










| Region | Mean SSS | Std SSS (PSU) | Mean SST (°C) | Std SST (°C) | Mean NO3 (μM) | Std NO3 (μM) | Mean PO4 (μM) | Std PO4 (μM) | Mean SiO2 (μM) | Std SiO2 (μM) | Mean Chl (µg L−1) | Std Chl (µg L−1) |
|---|---|---|---|---|---|---|---|---|---|---|---|---|
| 1 | 34.11 | 0.23 | 11.06 | 0.60 | 1.32 | 1.15 | 0.24 | 0.10 | 1.51 | 0.93 | 0.30 | 0.11 |
| 2 | 35.14 | 0.23 | 11.34 | 0.11 | 3.15 | 1.71 | 0.21 | 0.10 | 2.00 | 0.64 | 0.59 | 0.24 |
| 3 | 35.24 | 0.14 | 13.63 | 0.40 | 0.10 | 0.00 | 0.06 | 0.06 | 1.12 | 0.92 | 0.20 | 0.07 |
| 4 | 35.38 | 0.06 | 13.59 | 0.94 | 0.63 | 0.92 | 0.06 | 0.04 | 0.58 | 0.54 | 0.39 | 0.20 |
| 5 | 35.65 | 0.10 | 14.55 | 0.59 | 0.80 | 0.64 | 0.08 | 0.04 | 1.06 | 0.24 | 0.43 | 0.27 |
| 6 | 35.09 | 0.11 | 14.09 | 0.29 | 0.90 | 0.74 | 0.06 | 0.03 | 1.97 | 0.41 | 0.38 | 0.09 |
| 7 | 34.28 | 0.44 | 14.99 | 0.65 | 1.07 | 1.58 | 0.07 | 0.05 | 1.56 | 1.34 | 0.31 | 0.16 |
| 8 | 34.86 | 0.14 | 13.68 | 0.26 | 0.17 | 0.03 | 0.04 | 0.08 | 0.42 | 0.33 | 0.20 | 0.05 |
| 9 | 30.88 | 2.09 | 14.69 | 1.24 | 0.18 | 0.06 | 0.03 | 0.03 | 0.15 | 0.10 | 0.30 | 0.07 |
| 10 | 35.25 | 0.16 | 12.50 | 0.31 | 0.55 | 0.71 | 0.06 | 0.05 | 0.44 | 0.29 | 0.63 | 0.41 |
| 11 | 35.31 | 0.01 | 10.95 | 0.10 | 3.89 | 0.54 | 0.33 | 0.04 | 1.61 | 0.44 | 0.43 | 0.04 |
| Regions | R1 | R2 | R3 | R5 | R6 | R7 | R8 | R9 | R10 |
|---|---|---|---|---|---|---|---|---|---|
| R2 | 0.79 | 0.40 | 0.37 | 0.58 | 0.41 | 0.21 | 0.65 | 0.63 | 0.25 |
| SSS | 5.91 | 36.65 | 28.85 | 31.81 | 54.67 | 30.06 | 6.53 | 19.99 | 8.55 |
| SST | 45.62 | 12.12 | 37.26 | 35.50 | 29.06 | 16.41 | 50.99 | 73.01 | 6.11 |
| Chl | 48.47 | 51.23 | 33.89 | 32.69 | 16.27 | 53.53 | 42.47 | 7.00 | 85.34 |
| Intercept | 8.080 | 8.107 | 8.112 | 8.111 | 8.078 | 8.080 | 8.094 | 8.111 | 8.161 |
| SSS | 0.002 | −0.007 | 0.010 | 0.007 | 0.011 | 0.005 | −0.001 | 0.005 | 0.002 |
| SST | 0.014 | 0.002 | 0.013 | 0.008 | −0.006 | 0.003 | −0.011 | −0.017 | 0.001 |
| Chl | 0.015 | 0.009 | 0.012 | 0.007 | −0.003 | 0.010 | 0.009 | 0.002 | 0.018 |
© 2018 by the authors. Licensee MDPI, Basel, Switzerland. This article is an open access article distributed under the terms and conditions of the Creative Commons Attribution (CC BY) license (http://creativecommons.org/licenses/by/4.0/).
Share and Cite
Rérolle, V.M.C.; Achterberg, E.P.; Ribas-Ribas, M.; Kitidis, V.; Brown, I.; Bakker, D.C.E.; Lee, G.A.; Mowlem, M.C. High Resolution pH Measurements Using a Lab-on-Chip Sensor in Surface Waters of Northwest European Shelf Seas. Sensors 2018, 18, 2622. https://doi.org/10.3390/s18082622
Rérolle VMC, Achterberg EP, Ribas-Ribas M, Kitidis V, Brown I, Bakker DCE, Lee GA, Mowlem MC. High Resolution pH Measurements Using a Lab-on-Chip Sensor in Surface Waters of Northwest European Shelf Seas. Sensors. 2018; 18(8):2622. https://doi.org/10.3390/s18082622
Chicago/Turabian StyleRérolle, Victoire M. C., Eric P. Achterberg, Mariana Ribas-Ribas, Vassilis Kitidis, Ian Brown, Dorothee C. E. Bakker, Gareth A. Lee, and Matthew C. Mowlem. 2018. "High Resolution pH Measurements Using a Lab-on-Chip Sensor in Surface Waters of Northwest European Shelf Seas" Sensors 18, no. 8: 2622. https://doi.org/10.3390/s18082622
APA StyleRérolle, V. M. C., Achterberg, E. P., Ribas-Ribas, M., Kitidis, V., Brown, I., Bakker, D. C. E., Lee, G. A., & Mowlem, M. C. (2018). High Resolution pH Measurements Using a Lab-on-Chip Sensor in Surface Waters of Northwest European Shelf Seas. Sensors, 18(8), 2622. https://doi.org/10.3390/s18082622

