Impact of Node Speed on Energy-Constrained Opportunistic Internet-of-Things with Wireless Power Transfer
Abstract
1. Introduction
1.1. Wireless Power Transfer
1.2. Applying Wireless Power Transfer to Wireless Networks
1.3. Contributions and Organization
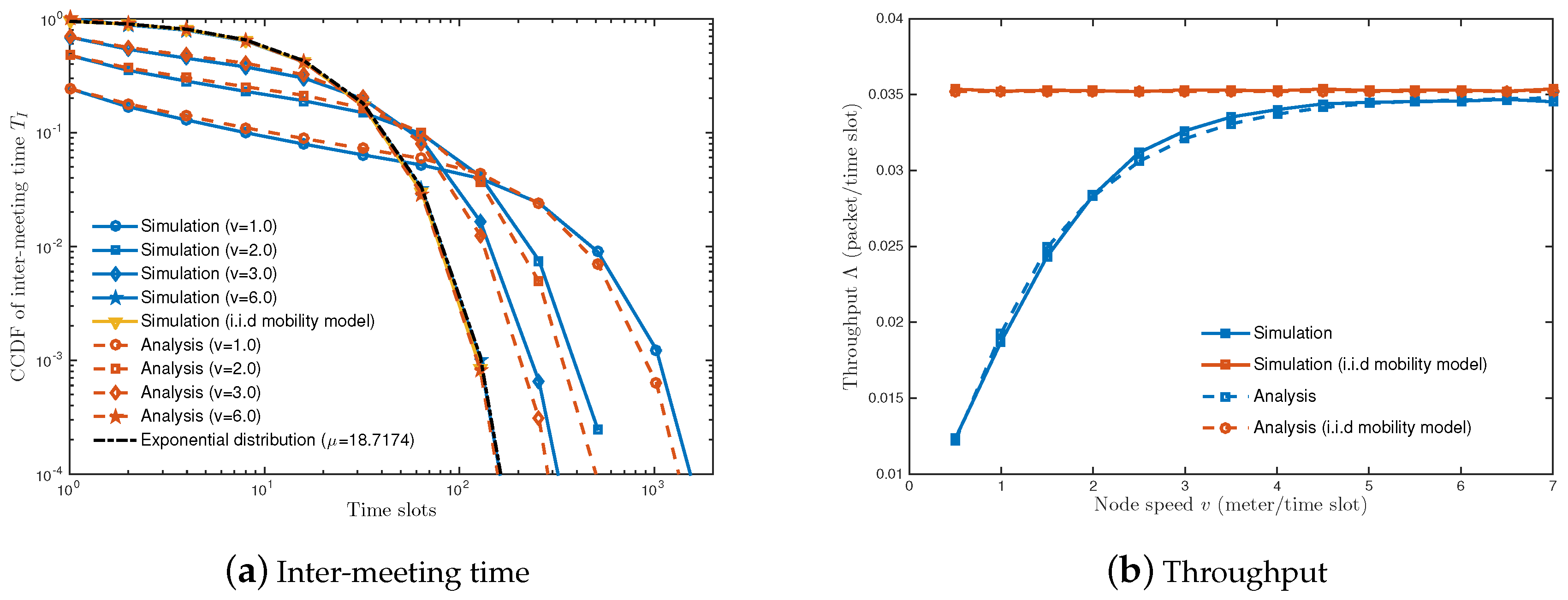
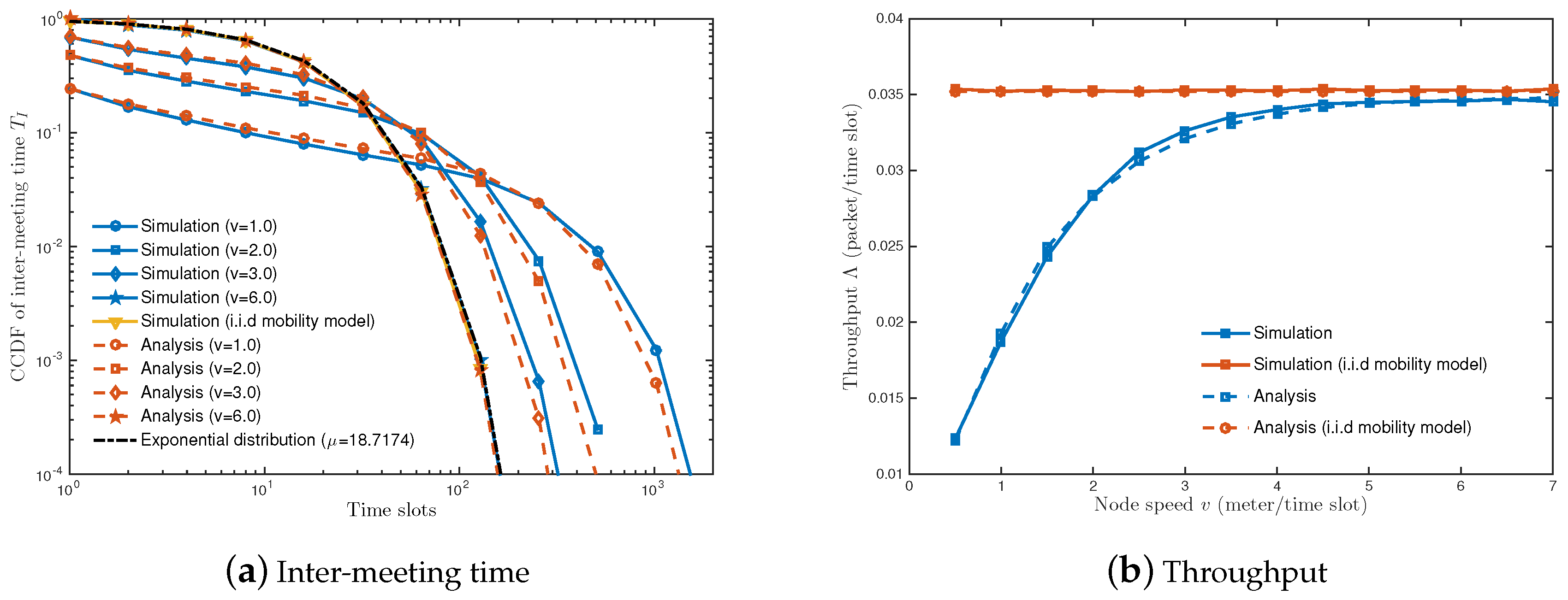
- Inter-meeting time vs. Throughput: Higher node speed reduces the frequency of lengthy inter-meeting times between a node and a WCS and eventually improves the throughput. The inter-meeting time is interpreted as an energy-starving duration. We explain the phenomenon through the stochastic distribution of the inter-meeting time in Proposition 1.
- Node speed vs. battery capacity: A slow-moving node stays in the charging coverage for a long time. It saves enough energy to endure a lengthy inter-meeting time if its battery capacity, the maximum amount of energy stored in the battery, is large enough. In Proposition 2, we show that a fast-moving node achieves the same throughput when the battery capacity becomes infinite.
- Throughput scaling law: In Proposition 3, we prove that the throughput scaling is given as (We recall that the following notation: (i) means that there exists a constant c and integer N such that for . (ii) means that and .) where n and m denote the number of nodes and WCSs respectively, and c is a constant (). As the network becomes denser, the throughput depends on the ratio and becomes independent of node speed.
2. Models and Metrics
2.1. Network Description
2.2. Two-Phase Routing
- Mode switch. In the beginning of each slot, a node becomes a transmitter or a receiver with probability q or , respectively. Without loss of generality, we set .
- Phase 1. In odd slots, let us consider node ℓ becomes a transmitter. If there is at least one receiver within transmission range r, node ℓ forwards its packet to one of them. This receiver node can be the destination of node ℓ.
- Phase 2. In even slots, let us consider node ℓ becoming a receiver. If there is at least one transmitter within transmission range r and one of them has a packet whose destination is node ℓ, it forwards the packet to node ℓ. This transmitter can be the source of node ℓ.
2.3. Recharging Mechanism by Wireless Charging Stations
3. Stochastic Modeling of Energy-Efficient Opportunistic Internet-of-Things
3.1. Two-Dimensional Markov Chain
- State transition by node mobility: The state transitions to the up or down arise when the relative distance d (6) becomes shorter or longer, respectively. Let denote the probability that the relative distance d is changed from a to b, i.e.,The mobility model follows a time-invariant Markov process of which the transition probabilities are constant regardless of slot t, and can be simply expressed as by omitting the index t. The exact form of is in Appendix A.1 with its derivation. All transition probabilities are constant regardless of the residual energy status.
- State transition by data transmission: The state transition to the left happens when node ℓ transmits a packet to one of neighbors nodes. Let denote a probability that an active node can transmit its packet as
- State transition by energy charging: The state transition to the right arises when the node is recharged by a WCS. This event only happens when the node is selected by one of WCSs is in the charging coverage, and these are only stipulated on the lowest state transition (). Recall that each WCS can charge up to u nodes in a given slot. We define a charging probability as the probability that node ℓ becomes one of u selected nodes, i.e.,where and is the cumulative distribution function (CDF) of the binomial distribution with parameters k, n and p. The derivation is given in Appendix A.2. The number of recharged units of energy depends on the distance to its associated WCS. Let denote a probability a node receives k units of energy as follows:A node in the charging coverage thus receives k units of energy with probability .
3.2. Steady State Probability and Throughput
4. Performance Evaluation of Energy-Efficient Opportunistic Internet-of-Things
4.1. Inter-Meeting Time and Throughput
4.2. Battery Capacity and Throughput
4.3. Node Density and Throughput
5. Conclusions
Author Contributions
Funding
Conflicts of Interest
Abbreviations
| WPT | Wireless power transfer |
| IoT | Internet-of-things |
| WCS | Wireless charging station |
| D2D | Device-to-device |
| RF | Radio-frequency |
| WCV | Wireless charging vehicle |
| i.i.d. | Independent and identically distributed |
| QoEP | Quality of energy provisioning |
| MCS | Modulation and coding scheme |
| CDF | Cumulative distribution function |
| CCDF | Complementary cumulative distribution function |
| V2X | Vehicular-to-everything |
| BM | Brownian motion |
| RWP | Random way point |
| BMAP | Batch Markovian arrival process |
| QBD | Quasi-birth-death |
Appendix A
Appendix A.1. Derivation of Transition Probability Pi,j (7)
- If ,
- If ,
- If ,
Appendix A.2. Derivation of Charging Probability pc (9)
Appendix A.3. Proof of Proposition 1
Appendix A.4. Comparison with Practical Mobility Models

Appendix A.5. Proof of Proposition 2
Appendix A.6. Proof of Proposition 3
References
- Zanella, A.; Bui, N.; Castellani, A.L.V.; Zorzi, M. Internet of Things for Smart Cities. IEEE Inter. Things J. 2014, 1, 22–32. [Google Scholar] [CrossRef]
- Lin, J.C. Wireless power transfer for mobile applications and health effect. IEEE Antennas Propag. Mag. 2013, 55, 250–253. [Google Scholar] [CrossRef]
- Huang, K.; Zhou, X. Cutting the last wires for mobile communications by microwave power transfer. IEEE Commun. Mag. 2015, 53, 86–93. [Google Scholar] [CrossRef]
- Guo, B.; Zhang, D.; Wang, Z.; Yu, Z.; Zhou, X. Opportunistic IoT: Exploring the harmonious interaction between human and the internet of things. J. Netw. Comput. Appl. 2013, 36, 1531–1539. [Google Scholar] [CrossRef]
- Atzori, L.; Iera, A.; Morabito, G. From “smart objects” to “social objects”: The next evolutionary step of the internet of things. IEEE Commun. Mag. 2014, 52, 97–105. [Google Scholar] [CrossRef]
- Tran, H.V.; Kaddoum, G. Green Cell-less Design for RF-Wireless Power Transfer Networks. In Proceedings of the Wireless Communications and Networking Conference (WCNC), Barcelona, Spain, 16–18 April 2018. [Google Scholar]
- Tran, H.V.; Kaddoum, G. RF wireless power transfer: Regreening future networks. IEEE Potential 2018, 2, 35–41. [Google Scholar] [CrossRef]
- Zeng, Y.; Clerckx, B.; Zhang, R. Communications and signal design for wireless power transmission. IEEE Trans. Commun. 2017, 65, 2264–2290. [Google Scholar] [CrossRef]
- Kurs, A.; Karalis, A.; Moffatt, R.; Joannopoulos, J.D.; Fisher, P.; Soljacic, M. Wireless power transfer via strongly coupled magnetic resonances. Science 2007, 317, 83–86. [Google Scholar] [CrossRef] [PubMed]
- Sample, A.P.; Meyer, D.A.; Smith, J.R. Analysis, experimental results, and range adaption of magnetically coupled resonators for wireless power transfer. IEEE Trans. Ind. Electron. 2011, 58, 544–554. [Google Scholar] [CrossRef]
- Huang, Y.; Shinohara, N.; Mitani, T. Impedance Matching in Wireless Power Transfer. IEEE Trans. Microw. Theory Tech. 2017, 65, 582–590. [Google Scholar] [CrossRef]
- Kim, S.J.; Kwon, U.K.; Yoon, S.K.; Tarokh, V. Near Field Resonator Isolation System: Theory to Implementation. IEEE Trans. Circuits Syst. I Reg. Pap. 2013, 60, 1175–1187. [Google Scholar] [CrossRef]
- Huang, K.; Lau, V.K.N. Enabling Wireless Power Transfer in Cellular Networks: Architecture, Modeling and Deployment. IEEE Trans. Wirel. Commun. 2014, 13, 902–912. [Google Scholar] [CrossRef]
- Zhu, G.; Ko, S.-W.; Huang, K. Inference from randomized transmissions by many backscatter sensors. IEEE Trans. Wirel. Commun. 2018, 17, 3111–3127. [Google Scholar] [CrossRef]
- Lyu, B.; Yang, Z.; Gui, G.; Sari, H. Optimal Time Allocation in Backscatter Assisted Wireless Powered Communication Networks. Sensors 2017, 17, 1258. [Google Scholar]
- Kang, X.; Ho, C.K.; Sun, S. Full-Duplex Wireless-Powered Communication Network With Energy Causality. IEEE Trans. Wirel. Commun. 2015, 14, 5539–5551. [Google Scholar] [CrossRef]
- Tran, H.-V.; Kaddoum, G.; Shin, O. Joint Channel Resources Allocation and Beamforming in Energy Harvesting Systems. IEEE Wirel. Commun. Lett. 2018. [Google Scholar] [CrossRef]
- Clerckx, B.; Bayhuzina, E.; Yates, D.; Mitcheson, P.D. Waveform Optimization for wireless power transfer with nonlinear energy harvester modeling. In Proceedings of the 2015 International Symposium on Wireless Communication Systems (ISWCS), Brussels, Belgium, 25–28 August 2015. [Google Scholar]
- Tran, H.-V.; Kaddoum, G.; Truong, K.T. Resource allocation in SWIPT networks under a non-linear energy harvesting model: Power efficiency, user fairness, and channel non-reciprocity. arXiv, 2018; arXiv:1806.07926. [Google Scholar]
- Clerckx, B.; Bayguzina, E. A low-complexity adaptive multisine waveform design for wireless power transfer. IEEE Antennas Wirel. Propag. Lett. 2017, 16, 2207–2210. [Google Scholar] [CrossRef]
- Xie, L.; Shi, Y.; Hou, Y.T.; Sherali, H.D. Making sensor networks immoral: An energy-renewal approach with wireless power transfer. IEEE/ACM Trans. Netw. 2012, 20, 1748–1761. [Google Scholar] [CrossRef]
- Fu, L.; Cheng, P.; Gu, Y.; Chen, J.; He, T. Optimal charging in wireless rechargeable sensor networks. IEEE Trans. Veh. Technol. 2016, 65, 278–291. [Google Scholar] [CrossRef]
- Dai, H.; Liu, Y.; Chen, G.; Wu, X.; He, T.; Liu, A.X.; Ma, H. Safe charging for wireless power transfer. Proc. IEEE 2017, 25, 3531–3544. [Google Scholar] [CrossRef]
- Sangare, F.; Xiao, Y.; Niyato, D.; Han, Z. Mobile Charging in Wireless-Powered Sensor Networks: Optimal Scheduling and Experimental Implementation. IEEE Trans. Veh. Technol. 2017, 66, 7400–7410. [Google Scholar] [CrossRef]
- Madhja, A.; Nikoletseas, S.; Raptis, T.P. Distributed wireless power transfer in sensor networks with multiple mobile chargers. Comput. Netw. 2015, 80, 89–108. [Google Scholar] [CrossRef]
- Li, K.; Luan, H.; Shen, C.-C. Qi-Ferry: Energy-constrained wireless charging in wireless sensor networks. In Proceedings of the 2012 IEEE Wireless Communications and Networking Conference (WCNC), Paris, France, 14 April 2012; pp. 573–577. [Google Scholar]
- He, S.; Chen, J.; Jiang, F.; Yau, D.K.Y.; Xing, G.; Sun, Y. Energy provisioning in wireless rechargeable sensor networks. IEEE Trans. Mob. Comput. 2013, 12, 1931–1942. [Google Scholar] [CrossRef]
- Huang, K. Spatial throughput of mobile ad hoc network with energy harvesting. IEEE Trans. Inf. Theory 2013, 59, 7597–7612. [Google Scholar] [CrossRef]
- Niyato, D.; Pink, T.H.; Saad, W.; Kim, D. Cooperation in delay tolerant networks with wireless energy transfer: Performance analysis and optimization. IEEE Trans. Veh. Tecnnol. 2015, 64, 3740–3754. [Google Scholar] [CrossRef]
- Niyato, D.; Wang, P. Delay-limited communications on mobile node with wireless energy harvesting: Performance analysis and optimization. IEEE Trans. Veh. Tecnnol. 2014, 63, 1870–1885. [Google Scholar] [CrossRef]
- Kim, J.; Park, J.; Ko, S.-W.; Kim, S.-L. User attraction via wireless charging in downlink cellular networks. In Proceedings of the 2016 14th International Symposium on Modeling and Optimization in Mobile, Ad Hoc, and Wireless Networks (WiOpt), Tempe, AZ, USA, 9–13 May 2016. [Google Scholar]
- Dai, H.; Chen, G.; Wang, C.; Wang, S.; Wu, X.; Wu, F. Quality of energy provisioning for wireless power transfer. IEEE Trans. Parallel Distrib. Syst. 2015, 26, 527–537. [Google Scholar] [CrossRef]
- Ko, S.-W.; Yu, S.M.; Kim, S.-L. The capacity of energy-constrained mobile networks with wireless power transfer. IEEE Commun. Lett. 2013, 17, 529–532. [Google Scholar] [CrossRef]
- Landstroöm, S.; Bergstroöm, J.; Westerberg, E.; Hammarwall, D. NB-IoT: A sustainable technology for connecting billions of devices. Ericsson Technol. Rev. 2016, 4, 2–11. [Google Scholar]
- Grossglauser, M.; Tse, D.N.C. Mobility increases the capacity of ad hoc wireless networks. IEEE/ACM Trans. Netw. 2012, 10, 477–486. [Google Scholar] [CrossRef]
- Kesler, M. Highly Resonant Wireless Power Transfer: Safe, Efficient, and Over Distance; Witricity: Water Town, MA, USA, 2013. [Google Scholar]
- Cannon, B.; Hoburg, J.; Stancil, D.; Goldstein, S. Magnetic resonant coupling as a potential means for wireless power transfer to multiple small receivers. IEEE Trans. Power Electron. 2009, 27, 1819–1825. [Google Scholar] [CrossRef]
- Fu, M.; Zhang, T.; Ma, C.; Zhu, X. Efficiency and optimal loads analysis for multiple-receiver wireless power transfer systems. IEEE Trans. Microw. Theory Tech. 2015, 63, 801–812. [Google Scholar] [CrossRef]
- Xie, L.; Shi, Y.; Hou, Y.T.; Sherali, H.D.; Midkiff, S.F. On renewable sensor networks with wireless energy transfer: The multi-node case. In Proceedings of the 2012 9th annual IEEE communications society conference on Sensor, mesh and ad hoc communications and networks (SECON), Seoul, Korea, 18–21 August 2012. [Google Scholar]
- Kurs, A.; Moffatt, R.; Soljacic, M. Simultaneous mid-range power transfer to multiple devices. Appl. Phys. Lett. 2010, 96, 044102-1–044102-3. [Google Scholar] [CrossRef]
- Shim, T.; Park, J.; Ko, S.-W.; Kim, S.-L.; Lee, B.; Choi, J. Traffic convexity aware cellular networks: A vehicular heavy user perspective. IEEE Wirel. Commun. 2016, 23, 88–94. [Google Scholar] [CrossRef]
- Meyer, C.D. Matrix Analysis and Applied Linear Algebra; Society for Industrial and Applied Mathematics: Philadelphia, CA, USA, 2000. [Google Scholar]
- Akar, N.; Sohraby, K. Finite and infinite QBD chains: A simple and unifying algorithm approach. In Proceedings of the 1997 IEEE International Performance, Computing and Communications Conference, Scottsdale/Phoenix, AZ, USA, 5–7 February 1997; pp. 1105–1113. [Google Scholar]
- Ramswami, V.; Latouche, G. A general class of Markov process with explicit matrix-geometric solutions. Oper. Res. Spektrum 1986, 9, 209–218. [Google Scholar] [CrossRef]





| v = 0.5 | v = 1.0 | v = 1.5 | v = 2.0 | v = 2.5 | v = 3.0 | v = 3.5 | v = 4.0 | v = 4.5 | v = 5.0 | v = 5.5 | v = 6.0 | |
|---|---|---|---|---|---|---|---|---|---|---|---|---|
| 0.9985 | 0.9953 | 0.9903 | 0.9845 | 0.9780 | 0.9714 | 0.9649 | 0.9585 | 0.9534 | 0.9492 | 0.9471 | 0.9457 |
© 2018 by the authors. Licensee MDPI, Basel, Switzerland. This article is an open access article distributed under the terms and conditions of the Creative Commons Attribution (CC BY) license (http://creativecommons.org/licenses/by/4.0/).
Share and Cite
Ko, S.-W.; Kim, S.-L. Impact of Node Speed on Energy-Constrained Opportunistic Internet-of-Things with Wireless Power Transfer. Sensors 2018, 18, 2398. https://doi.org/10.3390/s18072398
Ko S-W, Kim S-L. Impact of Node Speed on Energy-Constrained Opportunistic Internet-of-Things with Wireless Power Transfer. Sensors. 2018; 18(7):2398. https://doi.org/10.3390/s18072398
Chicago/Turabian StyleKo, Seung-Woo, and Seong-Lyun Kim. 2018. "Impact of Node Speed on Energy-Constrained Opportunistic Internet-of-Things with Wireless Power Transfer" Sensors 18, no. 7: 2398. https://doi.org/10.3390/s18072398
APA StyleKo, S.-W., & Kim, S.-L. (2018). Impact of Node Speed on Energy-Constrained Opportunistic Internet-of-Things with Wireless Power Transfer. Sensors, 18(7), 2398. https://doi.org/10.3390/s18072398

