Theoretical and Numerical Study on Stress Intensity Factors for FRP-Strengthened Steel Plates with Double-Edged Cracks
Abstract
1. Introduction
2. Geometry of Specimens
3. Theoretical Study on the Stress Intensity Factor
3.1. Stress Intensity Factor for the Cracked Plates Without Strengthening
3.2. Stress Intensity Factor for the Infinite Center-Cracked Steel Plate Strengthened with FRP Plates
3.3. Stress Intensity Factor for the Double-Edged Cracked Steel Plate Strengthened with FRP Plates
4. Finite Element Modeling
4.1. The Geometry and Material Parameters of the Specimens
4.2. FE Models
5. FE Results and Discussion
5.1. Effect of the FRP Thickness
5.2. Effect of the FRP Young’s Modulus
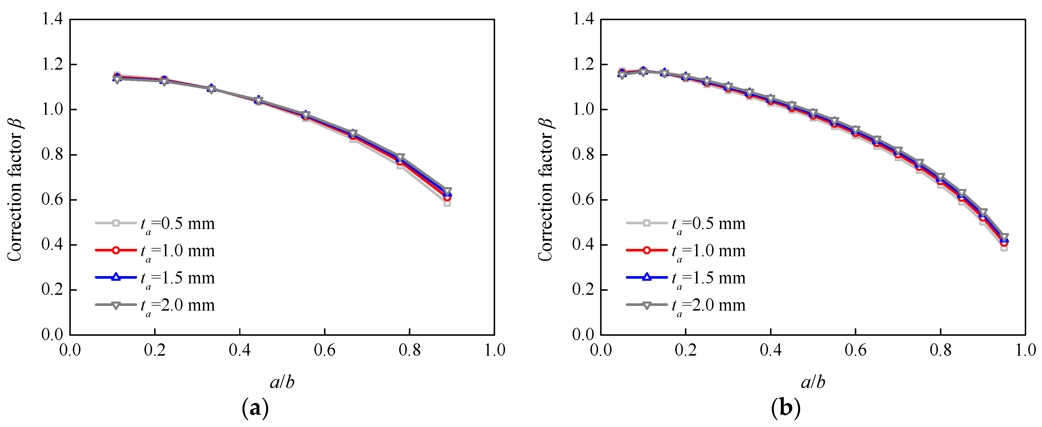
5.3. Effect of the Adhesive Thickness
5.4. Effect of the Adhesive Shear Modulus
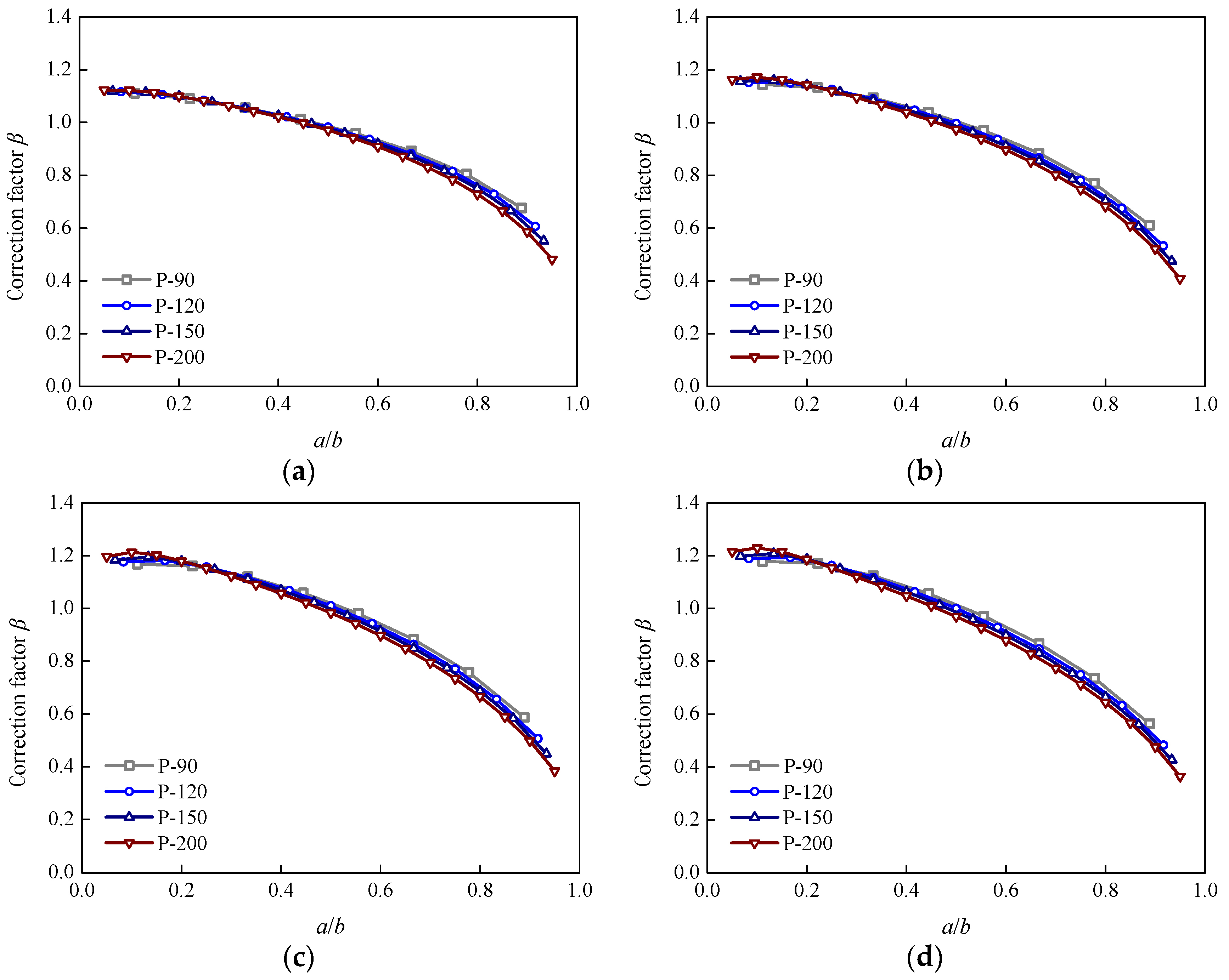
6. Development of Correction Factor β
7. Verification of the Proposed Equations
8. Conclusions
- The stress intensity factor for the double-edged cracked steel plates strengthened with FRP plates decreased with an increase in the FRP thickness, the FRP Young’s modulus, and the adhesive shear modulus. An increase in the adhesive thickness could increase the stress intensity factor.
- The additional correction factor, β, was mainly affected by the ratio between the crack length and the specimen width and the stiffness ratio. The adhesive thickness and shear modulus had little effect on additional correction factor β. Additional correction factor β was formulated and calibrated based on the FE results.
- The stress intensity factor for the double-edged cracked steel plates strengthened with FRP plates can be calculated based on the proposed Equations (25), (26), and (32). The proposed expressions of the stress intensity factor were a function of the applied stress, crack length, the ratio between the crack length and the width of the steel plate, a/b, the stiffness ratio, S, the adhesive shear modulus, and the adhesive thickness. The proposed expressions were shown to calculate stress intensity factors with reasonable accuracy.
Author Contributions
Acknowledgments
Conflicts of Interest
References
- Wu, G.; Wang, H.T.; Wu, Z.S.; Liu, H.Y.; Ren, Y. Experimental study on the fatigue behavior of steel beams strengthened with different fiber-reinforced composite plates. J. Compos. Constr. 2012, 16, 127–137. [Google Scholar] [CrossRef]
- Hmidan, A.; Kim, Y.J.; Yazdani, S. Stress intensity factors for cracked steel girders strengthened with CFRP sheets. J. Compos. Constr. 2015, 19, 04014085. [Google Scholar] [CrossRef]
- Zhang, D.; Gu, X.L.; Yu, Q.Q.; Huang, H.; Wan, B.; Jiang, C. Fully probabilistic analysis of FRP-to-concrete bonded joints considering model uncertainty. Compos. Struct. 2018, 185, 786–806. [Google Scholar] [CrossRef]
- Wu, Y.F.; Jiang, C. Quantification of bond-slip relationship for externally bonded FRP-to-concrete joints. J. Compos. Constr. 2013, 17, 673–686. [Google Scholar] [CrossRef]
- Wu, Y.F.; Xu, S.X.; Sun, J.B.; Jiang, C. Analytical solution for the bond strength of externally bonded reinforcement. Compos. Struct. 2012, 94, 3232–3239. [Google Scholar] [CrossRef]
- Jiang, C.; Wu, Y.F.; Wu, G. Plastic hinge length of FRP-confined square RC columns. J. Compos. Constr. 2014, 18, 04014003. [Google Scholar] [CrossRef]
- Foraboschi, P. Analytical model to predict the lifetime of concrete members externally reinforced with FRP. Theor. Appl. Fract. Mech. 2015, 75, 137–145. [Google Scholar] [CrossRef]
- Foraboschi, P. Effectiveness of novel methods to increase the FRP-masonry bond capacity. Compos. Part B Eng. 2016, 107, 214–232. [Google Scholar] [CrossRef]
- Foraboschi, P. Versatility of steel in correcting construction deficiencies and in seismic retrofitting of RC buildings. J. Building Eng. 2016, 8, 107–122. [Google Scholar] [CrossRef]
- Zhao, X.L.; Zhang, L. State-of-the-art review on FRP strengthened steel structures. Eng. Struct. 2007, 29, 1808–1823. [Google Scholar] [CrossRef]
- Teng, J.G.; Yu, T.; Fernando, D. Strengthening of steel structures with fiber-reinforced polymer composites. J. Const. Steel Res. 2012, 78, 131–143. [Google Scholar] [CrossRef]
- Wang, H.T.; Wu, G. Bond-slip models for CFRP plates externally bonded to steel substrates. Compos. Struct. 2018, 184, 1204–1214. [Google Scholar] [CrossRef]
- Jones, S.C.; Civjan, S.A. Application of fiber reinforced polymer overlays to extend steel fatigue life. J. Compos. Constr. 2003, 7, 331–338. [Google Scholar] [CrossRef]
- Wang, H.T.; Wu, G.; Jiang, J.B. Fatigue behavior of cracked steel plates strengthened with different CFRP systems and configurations. J. Compos. Constr. 2016, 20, 04015078. [Google Scholar] [CrossRef]
- Yu, Q.Q.; Chen, T.; Gu, X.L.; Zhao, X.L.; Xiao, Z.G. Fatigue behaviour of CFRP strengthened steel plates with different degrees of damage. Thin-Walled Struct. 2013, 69, 10–17. [Google Scholar] [CrossRef]
- Colombi, P.; Fava, G.; Lisa, S. Fatigue crack growth in CFRP-strengthened steel plates. Compos. Part B Eng. 2015, 72, 87–96. [Google Scholar] [CrossRef]
- Emdad, R.; Al-Mahaidi, R. Effect of prestressed CFRP patches on crack growth of centre-notched steel plates. Compos. Struct. 2015, 123, 109–122. [Google Scholar] [CrossRef]
- Hu, L.L.; Zhao, X.L.; Feng, P. Fatigue Behavior of cracked high-strength steel plates strengthened by CFRP sheets. J. Compos. Constr. 2016, 20, 04016043. [Google Scholar] [CrossRef]
- Tavakkolizadeh, M.; Saadatmanesh, H. Fatigue strength of steel girders strengthened with carbon fiber reinforced polymer patch. J. Struct. Eng. 2003, 129, 186–196. [Google Scholar] [CrossRef]
- Ghafoori, E.; Motavalli, M.; Botsis, J.; Herwig, A.; Galli, M. Fatigue strengthening of damaged metallic beams using prestressed unbonded and bonded CFRP plates. Int. J. Fatigue 2012, 44, 303–315. [Google Scholar] [CrossRef]
- Colombi, P.; Fava, G. Experimental study on the fatigue behaviour of cracked steel beams repaired with CFRP plates. Eng. Fract. Mech. 2015, 145, 128–142. [Google Scholar] [CrossRef]
- Yu, Q.Q.; Wu, Y.F. Fatigue strengthening of cracked steel beams with different configurations and materials. J. Compos. Constr. 2017, 21, 04016093. [Google Scholar] [CrossRef]
- Nakamura, H.; Jiang, W.; Suzuki, H.; Maeda, K.I.; Irube, T. Experimental study on repair of fatigue cracks at welded web gusset joint using CFRP strips. Thin-Walled Struct. 2009, 47, 1059–1068. [Google Scholar] [CrossRef]
- Lee, W.Y.; Lee, J.J. Successive 3D FE analysis technique for characterization of fatigue crack growth behavior in composite-repaired aluminum plate. Compos. Struct. 2004, 66, 513–520. [Google Scholar] [CrossRef]
- Liu, H.B.; Xiao, Z.G.; Zhao, X.L.; Al-Mahaidi, R. Prediction of fatigue life for CFRP-strengthened steel plates. Thin-Walled Struct. 2009, 47, 1069–1077. [Google Scholar] [CrossRef]
- Mall, S.; Conley, D.S. Modeling and validation of composite patch repair to cracked thick and thin metallic panels. Compos. Part A Appl. S. 2009, 40, 1331–1339. [Google Scholar] [CrossRef]
- Wang, H.T.; Wu, G.; Wu, Z.S. Effect of FRP Configurations on the Fatigue Repair Effectiveness of Cracked Steel Plates. J. Compos. Constr. 2014, 18, 04013023. [Google Scholar] [CrossRef]
- Wang, H.T.; Wu, G. Crack propagation prediction of double-edged cracked steel beams strengthened with FRP plates. Thin-Walled Struct. 2018, 127, 459–468. [Google Scholar] [CrossRef]
- Sih, G.C. Handbook of Stress Intensity Factors; Lehigh University Press: Bethlehem, PA, USA, 1973. [Google Scholar]
- China Aviation Academy. Stress Intensity Factor Handbook; Science Press: Beijing, China, 1981. [Google Scholar]
- Sun, C.T.; Klug, J.; Arendt, C. Analysis of cracked aluminum plates repaired with bonded composite Patches. AIAA J. 1996, 34, 369–374. [Google Scholar] [CrossRef]
- Naboulsi, S.; Mall, S. Modeling of a cracked metallic structure with bonded composite patch using the three layers technique. Compos. Struct. 1996, 35, 295–308. [Google Scholar] [CrossRef]
- Lam, A.C.C.; Yam, M.C.H.; Cheng, J.J.R.; Kennedy, G.D. Study of stress intensity factor of a cracked steel plate with a single-side CFRP composite patching. J. Compos. Constr. 2010, 14, 615–791. [Google Scholar] [CrossRef]
- Zheng, Y. Experimental and theoretical research on fatigue behavior of steel structures strengthened with CFRP. Ph.D Thesis, Tsinghua University, Beijing, China, 2007. [Google Scholar]
- Rose, L.R.F.; Wang, C.H. Analytical methods for designing composite repairs. In Advances in Bonded Composite Repairs of Metallic Airframe Structure; Baker, A.A., Rose, L.R.F., Jones, R., Eds.; Elsevier Science: Amsterdam, The Netherlands, 2002; pp. 137–175. [Google Scholar]
- Shen, H.; Hou, C. SIFs of CCT plate repaired with single-sided composite patch. Fatigue Fract. Eng. Mater. Struct. 2011, 34, 728–733. [Google Scholar] [CrossRef]
- Wu, C.; Zhao, X.L.; Al-Mahaidi, R. Mode I stress intensity factor of center-cracked tensile steel plates with CFRP reinforcements. Int. J. Struct. Stab. Dyn. 2013, 13, 1350005. [Google Scholar] [CrossRef]
- Yu, Q.Q.; Zhao, X.L.; Xiao, Z.G.; Chen, T.; Gu, X.L. Evaluation of stress intensity factor for CFRP bonded steel plates. Adv. Struct. Eng. 2014, 17, 1729–1746. [Google Scholar] [CrossRef]
- Japan Society of Steel Construction (JSSC). Fatigue Design Recommendations for Steel Structures; Japan Society of Steel Construction: Tokyo, Japan, 1995. [Google Scholar]
- Dunn, M.L.; Suwito, W.; Hunter, B. Stress intensity factor for cracked I-beams. Eng. Fract. Mech. 1997, 57, 609–616. [Google Scholar] [CrossRef]
- Albrecht, P.; Lenwari, A.; Feng, D.Q. Stress intensity factors for structural steel I-beams. J. Struct. Eng. 2008, 134, 421–429. [Google Scholar] [CrossRef]
- Liu, H.B.; Zhao, X.L.; Al-Mahaidi, R. Boundary element analysis of CFRP reinforced steel plates. Compos. Struct. 2009, 91, 74–83. [Google Scholar] [CrossRef]
- Yu, Q.Q.; Zhao, X.L.; Chen, T.; Gu, X.L.; Xiao, Z.G. Crack propagation prediction of CFRP retrofitted steel plates with different degrees of damage using BEM. Thin-Walled Struct. 2014, 82, 145–158. [Google Scholar] [CrossRef]
- Krueger, R. Virtual crack closure technique: History, approach, and applications. Appl. Mech. Rev. 2004, 57, 109–143. [Google Scholar] [CrossRef]
- Wang, H.T.; Wu, G.; Dai, Y.T.; He, X.Y. Experimental study on bond behavior between CFRP plates and steel substrates using digital image correlation. J. Compos. Constr. 2016, 20, 04016054. [Google Scholar] [CrossRef]
















| Specimen | Steel Plate | FRP Plate | Adhesive | |||||
|---|---|---|---|---|---|---|---|---|
| Length, 2l (mm) | Width, 2b (mm) | Thickness, 2ts (mm) | Crack Length, a (mm) | Thickness, tf (mm) | Young’s Modulus, Ef (GPa) | Thickness, ta (mm) | Shear Modulus, Ga (MPa) | |
| P-90 | 700 | 90 | 10 | 5, 10, 15, 20, 25, 30, 35, 40 | 0.3, 0.9, 1.4, 2.0, 2.8 | 80, 165, 300, 460 | 0.5, 1.0, 1.5, 2.0 | 400, 900, 2000, 4000 |
| P-120 | 700 | 120 | 10 | 5, 10, 15, 20, 25, 30, 35, 40, 45, 50, 55 | 0.3, 0.9, 1.4, 2.0, 2.8 | 80, 165, 300, 460 | 0.5, 1.0, 1.5, 2.0 | 400, 900, 2000, 4000 |
| P-150 | 700 | 150 | 10 | 5, 10, 15, 20, 25, 30, 35, 40, 45, 50, 55, 60, 65, 70 | 0.3, 0.9, 1.4, 2.0, 2.8 | 80, 165, 300, 460 | 0.5, 1.0, 1.5, 2.0 | 400, 900, 2000, 4000 |
| P-200 | 700 | 200 | 10 | 5, 10, 15, 20, 25, 30, 35, 40, 45, 50, 55, 60, 65, 70, 75, 80, 85, 90 | 0.3, 0.9, 1.4, 2.0, 2.8 | 80, 165, 300, 460 | 0.5, 1.0, 1.5, 2.0 | 400, 900, 2000, 4000 |
| P-200 * | 1000 | 200 | 16 | 5, 10, 20, 30, 40, 50, 60, 70, 80, 90, | 1.4, 2.0, 2.8 | 165, 460 | 1.0 | 900 |
| P-300 * | 1000 | 300 | 10 | 5, 10, 20, 30, 40, 50, 60, 70, 80, 90, 100, 110, 120, 130, 140 | 0.3, 0.9, 1.4, 2.0, 2.8 | 165, 460 | 1.0 | 900 |
© 2018 by the authors. Licensee MDPI, Basel, Switzerland. This article is an open access article distributed under the terms and conditions of the Creative Commons Attribution (CC BY) license (http://creativecommons.org/licenses/by/4.0/).
Share and Cite
Wang, H.-T.; Wu, G.; Pang, Y.-Y. Theoretical and Numerical Study on Stress Intensity Factors for FRP-Strengthened Steel Plates with Double-Edged Cracks. Sensors 2018, 18, 2356. https://doi.org/10.3390/s18072356
Wang H-T, Wu G, Pang Y-Y. Theoretical and Numerical Study on Stress Intensity Factors for FRP-Strengthened Steel Plates with Double-Edged Cracks. Sensors. 2018; 18(7):2356. https://doi.org/10.3390/s18072356
Chicago/Turabian StyleWang, Hai-Tao, Gang Wu, and Yu-Yang Pang. 2018. "Theoretical and Numerical Study on Stress Intensity Factors for FRP-Strengthened Steel Plates with Double-Edged Cracks" Sensors 18, no. 7: 2356. https://doi.org/10.3390/s18072356
APA StyleWang, H.-T., Wu, G., & Pang, Y.-Y. (2018). Theoretical and Numerical Study on Stress Intensity Factors for FRP-Strengthened Steel Plates with Double-Edged Cracks. Sensors, 18(7), 2356. https://doi.org/10.3390/s18072356
