Experimental Evaluation on Depth Control Using Improved Model Predictive Control for Autonomous Underwater Vehicle (AUVs)
Abstract
1. Introduction
2. Problem Formulation
2.1. Discrete-Time State Space Model of AUVs’ Depth
2.2. MPC Algorithm Control Law
3. MPC Method with a Real-Time Adjusting Control Increment Vector Weighting Matrix
3.1. Adjusting Γu According to the Error
3.2. Stability Analysis for Adjusting Γu
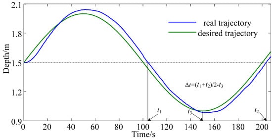
4. Simply Re-Planning the Desired Trajectory to Reduce the Lag Component
4.1. The Reason of Re-Choosing a Current Desired Point
4.2. How to Determine the Parameter N
5. Experimental Verification
5.1. Experiment on MPC Method with a Real-Time Adjusting Γu
5.1.1. Experiments of Tracking Step Trajectory
5.1.2. Experiments of Tracking other Trajectories Using MPC Method with a Real-Time Adjusting Γu
5.2. Experiments on Simply Re-Planning the Desired Trajectory
5.2.1. Experiments of Tracking Sinusoidal Trajectory
5.2.2. Experiments of Tracking Triangular Trajectory
6. Conclusions
Author Contributions
Funding
Conflicts of Interest
References
- Albiez, J.; Duda, A.; Fritsche, M.; Rehrmann, F.; Kirchner, F. CSurvey—An autonomous optical inspection head for AUVs. Rob. Auton. Syst. 2014, 67, 72–79. [Google Scholar] [CrossRef]
- Newman, P.; Westwood, R.; Westwood, J. Market Prospects for AUVs. Mar. Technol. Report. 2007, 50, 22–24. [Google Scholar]
- Garcia, M.; Sendra, S.; Atenas, M.; Lloret, J. Underwater wireless ad-hoc networks: A survey. In Mobile Ad Hoc Networks: Current Status and Future Trends; CRC Press: Boca Raton, FL, USA, 2011; pp. 379–411. [Google Scholar]
- Sendra, S.; Lloret, J.; Jimenez, J.M.; Parra, L. Underwater acoustic modems. IEEE Sens. J. 2016, 16, 4063–4071. [Google Scholar] [CrossRef]
- Xu, Y.R.; Li, P. Developing tendency of unmanned underwater vehicles. Chin. J. Nat. 2011, 33, 125–132. [Google Scholar]
- Mohan, S.; Kim, J. Coordinated motion control in task space of an autonomous underwater vehicle-manipulator system. Ocean Eng. 2015, 104, 155–167. [Google Scholar] [CrossRef]
- Chu, Z.Z.; Zhu, D.Q.; Yang, S.X.; Jan, G.E. Adaptive sliding mode control for depth trajectory tracking of remotely operated vehicle with thruster nonlinearity. J. Navig. 2017, 70, 149–164. [Google Scholar] [CrossRef]
- Wang, N.; Lv, S.L.; Zhang, W.D.; Liu, Z.Z.; Er, M.J. Finite-time observer based accurate tracking control of a marine vehicle with complex unknowns. Ocean Eng. 2017, 145, 406–415. [Google Scholar] [CrossRef]
- Rodrigo, H.A.; Govinda, G.V.L.; Tomás, S.J.; Alfonso, G.E.; Fernando, F.N. Neural network-based self-tuning PID control for underwater vehicles. Sensors 2016, 16, 1429. [Google Scholar]
- Chu, Z.Z.; Zhu, D.Q.; Jan, G.E. Observer-based adaptive neural network control for a class of remotely operated vehicles. Ocean Eng. 2016, 127, 82–89. [Google Scholar] [CrossRef]
- Wang, N.; Su, S.F.; Yin, J.; Zheng, Z.; Er, M.J. Global asymptotic model-free trajectory-independent tracking control of an uncertain marine vehicle: An adaptive universe-based fuzzy control approach. IEEE Trans. Fuzzy Syst. 2018, 26, 1613–1625. [Google Scholar] [CrossRef]
- Ho, H.F.; Wong, Y.K.; Rad, A.B. Adaptive fuzzy sliding mode control with chattering elimination for nonlinear SISO systems. Simul. Model. Pract. Theory 2009, 17, 1199–1210. [Google Scholar] [CrossRef]
- Young, K.D.; Drakunov, S.V. Sliding Mode Control with Chattering Reduction. In Proceedings of the 1992 American Control Conference, Chicago, IL, USA, 24–26 June 1992; pp. 1291–1292. [Google Scholar]
- Su, W.C.; Drakunov, S.V.; Ozguner, U.; Young, K.D. Sliding mode with chattering reduction in sampled data systems. In Proceedings of the 32nd IEEE Conference on Decision and Control, San Antonio, TX, USA, 15–17 December 1993; pp. 2452–2457. [Google Scholar]
- Soylu, S.; Buckham, B.J.; Podhorodeski, R.P. A chattering-free sliding-mode controller for underwater vehicles with fault-tolerant infinity-norm thrust allocation. Ocean Eng. 2008, 35, 1647–1659. [Google Scholar] [CrossRef]
- Steenson, L.V.; Wang, L.P.; Phillips, A.B.; Turnock, S.R.; Furlong, M.E.; Rogers, E. Experimentally verified depth regulation for AUVs using constrained model predictive control. In Proceedings of the 19th World Congress of the International Federation of Automatic Control, Cape Town, South Africa, 24–29 August 2014; IFAC Secretariat: Cape Town, South Africa, 2014; pp. 11974–11979. [Google Scholar]
- Xi, Y.G.; Li, D.W.; Lin, S. Model Predictive Control—Status and Challenges. Acta Automat. Sin. 2013, 39, 222–236. [Google Scholar] [CrossRef]
- Shen, C.; Shi, Y.; Buckham, B. Trajectory Tracking Control of an Autonomous Underwater Vehicle Using Lyapunov-Based Model Predictive Control. IEEE Trans. Ind. Electron. 2018, 65, 5796–5805. [Google Scholar] [CrossRef]
- Ferri, G.; Munafo, A.; Lepage, K.D. An Autonomous Underwater Vehicle Data-Driven Control Strategy for Target Tracking. IEEE J. Ocean. Eng. 2018, 43, 323–343. [Google Scholar] [CrossRef]
- Gao, F.D.; Pan, C.Y.; Han, Y.Y.; Zhang, X. Nonlinear trajectory tracking control of a new autonomous underwater vehicle in complex sea conditions. J. Cent. South Univ. 2012, 19, 1859–1868. [Google Scholar] [CrossRef]
- Jagtap, P.; Raut, P.; Kumar, P.; Gupta, A.; Singh, N.M.; Kazi, F. Control of autonomous underwater vehicle using reduced order model predictive control in three dimensional space. IFAC Papersonline 2016, 49, 772–777. [Google Scholar] [CrossRef]
- Budiyono, A. Model predictive control for autonomous underwater vehicle. Indian J. Geo-Mar. Sci. 2011, 40, 191–199. [Google Scholar]
- Prasad, M.P.R.; Swarup, A. Position and velocity control of remotely operated underwater vehicle using model predictive control. Indian J. Geo-Mar. Sci. 2015, 44, 1920–1927. [Google Scholar]
- Abraham, I.; Yi, J. Model Predictive Control of buoyancy propelled autonomous underwater glider. In Proceedings of the 2015 American Control Conference, Chicago, IL, USA, 1–3 July 2015; pp. 1181–1186. [Google Scholar]
- Molero, A.; Dunia, R.; Cappelletto, J.; Fernandez, G. In model predictive control of remotely operated underwater vehicles. In Proceedings of the 50th IEEE Conference on Decision and Control and European Control Conference, Orlando, FL, USA, 12–15 December 2011; Institute of Electrical and Electronics Engineers Inc.: Orlando, FL, USA, 2011; pp. 2058–2063. [Google Scholar]
- Steenson, L.V.; Turnock, S.R.; Phillips, A.B.; Harris, C.; Furlong, M.E.; Rogers, E.; Wang, L.; Bodles, K.; Evans, D.W. Model predictive control of a hybrid autonomous underwater vehicle with experimental verification. Proc. Inst. Mech. Eng. Part M J. Eng. Marit. Environ. 2014, 228, 166–179. [Google Scholar] [CrossRef]
- Yang, C.; Wang, Y.J.; Yao, F. Driving performance of underwater long-arm hydraulic manipulator system for small autonomous underwater vehicle and its positioning accuracy. Int. J. Adv. Rob. Syst. 2017, 14. [Google Scholar] [CrossRef]
- Keviczky, T.; Balas, G.J. Receding horizon control of an F-16 aircraft: A comparative study. In Proceedings of the European Control Conference, Cambridge, UK, 1–4 September 2003; pp. 1023–1033. [Google Scholar]
- Silani, E.; Lovera, M. Magnetic spacecraft attitude control: A survey and some new results. Control Eng. Pract. 2005, 13, 357–371. [Google Scholar] [CrossRef]
- Hovorka, R.; Canonico, V.; Chassin, L.J.; Haueter, U.; MassiBenedetti, M.; Federici, M.O.; Pieber, T.R.; Schaller, H.C.; Schaupp, L.; Vering, T.; et al. Nonlinear model predictive control of glucose concentration in subjects with type 1 diabetes. Physiol. Meas. 2004, 25, 905–920. [Google Scholar] [CrossRef] [PubMed]
- Fossen, T.I. Handbook of Marine Craft Hydrodynamics and Motion Control; John Wiley & Sons: New York, NY, USA, 2011. [Google Scholar]
- Wang, L.P. Model Predictive Control System Design and Implementation Using MATLAB®; Springer Science & Business Media: Berlin, Germany, 2009. [Google Scholar]
- Chen, H. Model Predictive Control; Science Press: Beijing, China, 2013. [Google Scholar]
- Zheng, D.Z. Linear System Theory; Tsinghua University Press: Beijing, China, 2002. [Google Scholar]
- Tsien, H.S.; Song, J. Engineering Cybernetics; Science Press: Beijing, China, 2011. [Google Scholar]
- Zhang, M.J.; Chu, Z.Z. Adaptive sliding mode control based on local recurrent neural networks for underwater robot. Ocean Eng. 2012, 45, 56–62. [Google Scholar] [CrossRef]













| 1st Settling Time | 2nd Settling Time | 3rd Settling Time | Average | |
|---|---|---|---|---|
| Fixed Γu | 27.00 s | 27.00 s | 26.50 s | 26.83 s |
| Adjusting Γu | 24.50 s | 26.17 s | 24.00 s | 24.89 s |
| Decrease time | 2.5 s | 0.83 s | 2.5 s | 1.94 s |
| Tracking Sinusoidal Trajectory | Tracking Triangular Trajectory | |||
|---|---|---|---|---|
| Average of Absolute Error | Standard Deviation of Error | Average of Absolute Error | Standard Deviation of Error | |
| Fixed Γu | 0.04174 m | 0.04736 m | 0.04123 m | 0.04933 m |
| Adjusting Γu | 0.04067 m | 0.04677 m | 0.04154 m | 0.04934 m |
| Decrease percentage | 2.56% | 1.25% | −0.75% | −0.02% |
| Average of Absolute Error | Standard Deviation of Error | |
|---|---|---|
| Conventional tracking method | 0.05000 m | 0.05196 m |
| Simply re-planning the desired trajectory method | 0.04260 m | 0.04305 m |
| Decrease percentage | 14.80% | 17.15% |
| Average of Absolute Error | Standard Deviation of Error | |
|---|---|---|
| Conventional tracking method | 0.04733 m | 0.05346 m |
| Simply re-planning the desired trajectory method | 0.03928 m | 0.04373 m |
| Decrease percentage | 17.01% | 18.20% |
© 2018 by the authors. Licensee MDPI, Basel, Switzerland. This article is an open access article distributed under the terms and conditions of the Creative Commons Attribution (CC BY) license (http://creativecommons.org/licenses/by/4.0/).
Share and Cite
Yao, F.; Yang, C.; Liu, X.; Zhang, M. Experimental Evaluation on Depth Control Using Improved Model Predictive Control for Autonomous Underwater Vehicle (AUVs). Sensors 2018, 18, 2321. https://doi.org/10.3390/s18072321
Yao F, Yang C, Liu X, Zhang M. Experimental Evaluation on Depth Control Using Improved Model Predictive Control for Autonomous Underwater Vehicle (AUVs). Sensors. 2018; 18(7):2321. https://doi.org/10.3390/s18072321
Chicago/Turabian StyleYao, Feng, Chao Yang, Xing Liu, and Mingjun Zhang. 2018. "Experimental Evaluation on Depth Control Using Improved Model Predictive Control for Autonomous Underwater Vehicle (AUVs)" Sensors 18, no. 7: 2321. https://doi.org/10.3390/s18072321
APA StyleYao, F., Yang, C., Liu, X., & Zhang, M. (2018). Experimental Evaluation on Depth Control Using Improved Model Predictive Control for Autonomous Underwater Vehicle (AUVs). Sensors, 18(7), 2321. https://doi.org/10.3390/s18072321

