A High-Q AFM Sensor Using a Balanced Trolling Quartz Tuning Fork in the Liquid
Abstract
1. Introduction
2. Theoretical Model
2.1. Probe–Liquid Interactions
2.2. Kinematics Equation of the BT-QTF
3. Results and Discussion
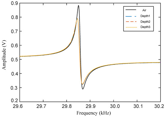
3.1. Influence of the Liquid on the Q-Factor and Resonance Frequency
3.2. Sensing Performance Analysis Experiments of the BT-QTF
3.3. Imaging Experiments in the Liquid
4. Conclusions
Author Contributions
Funding
Conflicts of Interest
References
- Binnig, G.; Quate, C.F.; Gerber, C. Atomic Force Microscope. Phys. Rev. Lett. 1986, 56, 930–933. [Google Scholar] [CrossRef] [PubMed]
- Shiotari, A.; Sugimoto, Y. Ultrahigh-resolution imaging of water networks by atomic force microscopy. Nat. Commun. 2017, 8, 14313. [Google Scholar] [CrossRef] [PubMed]
- Ricci, M.; Trewby, W.; Cafolla, C.; Voitchovsky, K. Direct observation of the dynamics of single metal ions at the interface with solids in aqueous solutions. Sci. Rep. 2017, 7, 43234. [Google Scholar] [CrossRef] [PubMed]
- Wang, A.; Vijayraghavan, K.; Solgaard, O.; Butte, M.J. Fast Stiffness Mapping of Cells Using High-Bandwidth Atomic Force Microscopy. ACS Nano 2016, 10, 257–264. [Google Scholar] [CrossRef] [PubMed]
- Farahi, R.; Charrier, A.M.; Tolbert, A.; Lereu, A.L.; Ragauskas, A.; Davison, B.H.; Passian, A. Plasticity, elasticity, and adhesion energy of plant cell walls: Nanometrology of lignin loss using atomic force microscopy. Sci. Rep. 2017, 7, 152. [Google Scholar] [CrossRef] [PubMed]
- Polesel-Maris, J.; Legrand, J.; Berthelot, T.; Garcia, A.; Viel, P.; Makky, A.; Palacin, S. Force spectroscopy by dynamic atomic force microscopy on bovine serum albumin proteins changing the tip hydrophobicity, with piezoelectric tuning fork self-sensing scanning probe. Sens. Actuators B Chem. 2012, 161, 775–783. [Google Scholar] [CrossRef]
- Arai, T.; Koshioka, M.; Abe, K.; Tomitori, M.; Kokawa, R.; Ohta, M.; Yamada, H.; Kobayashi, K.; Oyabu, N. Atom-resolved analysis of an ionic KBr(001) crystal surface covered with a thin water layer by frequency modulation atomic force microscopy. Langmuir 2015, 31, 3876–3883. [Google Scholar] [CrossRef] [PubMed]
- Alsteens, D.; Gaub, H.E.; Newton, R.; Pfreundschuh, M.; Gerber, C.; Müller, D.J. Atomic force microscopy-based characterization and design of biointerfaces. Nat. Rev. Mater. 2017, 2, 17008. [Google Scholar] [CrossRef]
- Kobayashi, K.; Yamada, H. Recent Progress in Frequency Modulation Atomic Force Microscopy in Liquids. In Noncontact Atomic Force Microscopy; Springer: Cham, Switzerland, 2015; pp. 411–433. [Google Scholar]
- Martin-Jimenez, D.; Chacon, E.; Tarazona, P.; Garcia, R. Atomically resolved three-dimensional structures of electrolyte aqueous solutions near a solid surface. Nat. Commun. 2016, 7. [Google Scholar] [CrossRef] [PubMed]
- Minary-Jolandan, M.; Tajik, A.; Wang, N.; Yu, M.F. Intrinsically high-Q dynamic AFM imaging in liquid with a significantly extended needle tip. Nanotechnology 2012, 23, 235704. [Google Scholar] [CrossRef] [PubMed]
- Abrahamians, J.O.; Van, L.P.; Rgnier, S. Contributed Review: Quartz force sensing probes for micro-applications. Rev. Scie. Instrum. 2016, 87, 071502. [Google Scholar] [CrossRef] [PubMed]
- Barbic, M.; Eliason, L.; Ranshaw, J. Femto-Newton force sensitivity quartz tuning fork sensor. Sens. Actuators A Phys. 2007, 136, 564–566. [Google Scholar] [CrossRef]
- Ludwig, T. Casimir force experiments with quartz tuning forks and an atomic force microscope (AFM). J. Phys. A Math. Theor. 2008, 41, 164025. [Google Scholar] [CrossRef]
- Wutscher, E.; Giessibl, F.J. Atomic force microscopy at ambient and liquid conditions with stiff sensors and small amplitudes. Rev. Sci. Instrum. 2011, 82, 093703. [Google Scholar] [CrossRef] [PubMed]
- Otero, J.; Gonzalez, L.; Puig-Vidal, M. Nanocharacterization of soft biological samples in shear mode with quartz tuning fork probes. Sensors 2012, 12, 4803–4819. [Google Scholar] [CrossRef] [PubMed]
- Comtet, J.; Niguès, A.; Kaiser, V.; Coasne, B.; Bocquet, L.; Siria, A. Nanoscale capillary freezing of ionic liquids confined between metallic interfaces and the role of electronic screening. Nat. Mater. 2017, 16, 634–639. [Google Scholar] [CrossRef] [PubMed]
- Castellanos-Gomez, A.; Agrat, N.; Rubio-Bollinger, G. Dynamics of quartz tuning fork force sensors used in scanning probe microscopy. Nanotechnology 2009, 20, 215502. [Google Scholar] [CrossRef] [PubMed]
- Li, Y.; Zhang, Y.; Zhang, L.; Wang, Z.; Shan, G.; Li, H.; Qian, J. Improving rolling yield of quartz tuning fork-tungsten probe. Exp. Technol. Manag. 2016, 34–37. (In Chinese) [Google Scholar] [CrossRef]
- BaoCheng, H.; JianQiang, Q.; Xi, W.; JunEn, Y. Mechanical model of tuning forks used in scanning probe microscopes. Acta Phys. Sin. 2011, 60, 40702. [Google Scholar]
- Dubourg, F.; Kopp-Marsaudon, S.; Lecre, P.; Lazzaroni, R.; Aim, J.P. Experimental determination of the viscosity at the nanometer scale on a block copolymer with an oscillating nanotip. Eur. Phys. J. E 2001, 6, 387–397. [Google Scholar] [CrossRef]
- Abdi, A.; Pishkenari, H.N.; Keramati, R.; Minary-Jolandan, M. Dynamics of the nanoneedle probe in trolling mode AFM. Nanotechnology 2015, 26, 205702. [Google Scholar] [CrossRef] [PubMed]
- Jarvis, S.P.; Sader, J.E.; Fukuma, T. Frequency Modulation Atomic Force Microscopy in Liquids. In Applied Scanning Probe Methods VIII; Springer: Berlin/Heidelberg, Germany, 2008; pp. 315–350. [Google Scholar]
- Aime, J.P. Nanoscale Liquid Interfaces: Wetting, Patterning and Force Microscopy at the Molecular Scale; CRC Press: Boca Raton, FL, USA, 2013. [Google Scholar]
- Jai, C.; Aim, J.; Mariolle, D.; Boisgard, R.; Bertin, F. Wetting an oscillating nanoneedle to image an air-liquid interface at the nanometer scale: Dynamical behavior of a nanomeniscus. Nano Lett. 2006, 6, 2554–2560. [Google Scholar] [CrossRef] [PubMed]
- Naber, A. The tuning fork as sensor for dynamic force distance control in scanning near-field optical microscopy. J. Microsc. 1999, 194, 307–310. [Google Scholar] [CrossRef] [PubMed]
- Giessibl, F.J. Principles and Applications of the qPlus Sensor; Springer: Berlin/Heidelberg, Germany, 2009; pp. 121–142. [Google Scholar]
- Li, Y.; Zhang, L.; Shan, G.; Song, Z.; Yang, R.; Li, H.; Qian, J. A homemade atomic force microscope based on a quartz tuning fork for undergraduate instruction. Am. J. Phys. 2016, 84, 478–482. [Google Scholar] [CrossRef]








| Item | Whole QTF | Prong of the QTF |
|---|---|---|
| Length (mm) | 5.726 | 3.619 |
| Width (mm) | 1.444 | 0.581 |
| Height (mm) | 0.327 | 0.327 |
| Density () | 2650 | 2650 |
| Young’s modulus (GPa) | 78.7 | 78.7 |
| Poisson’s ratio | 0.33 | 0.33 |
| Depth () | Resonance Frequency () | Q-Factor |
|---|---|---|
| 3 | 29.845 | 1065 |
| 6 | 29.845 | 1065 |
| 9 | 29.846 | 1065 |
| 12 | 29.846 | 1065 |
| 15 | 29.845 | 1065 |
© 2018 by the authors. Licensee MDPI, Basel, Switzerland. This article is an open access article distributed under the terms and conditions of the Creative Commons Attribution (CC BY) license (http://creativecommons.org/licenses/by/4.0/).
Share and Cite
Zhang, Y.; Li, Y.; Song, Z.; Lin, R.; Chen, Y.; Qian, J. A High-Q AFM Sensor Using a Balanced Trolling Quartz Tuning Fork in the Liquid. Sensors 2018, 18, 1628. https://doi.org/10.3390/s18051628
Zhang Y, Li Y, Song Z, Lin R, Chen Y, Qian J. A High-Q AFM Sensor Using a Balanced Trolling Quartz Tuning Fork in the Liquid. Sensors. 2018; 18(5):1628. https://doi.org/10.3390/s18051628
Chicago/Turabian StyleZhang, Yingxu, Yingzi Li, Zihang Song, Rui Lin, Yifu Chen, and Jianqiang Qian. 2018. "A High-Q AFM Sensor Using a Balanced Trolling Quartz Tuning Fork in the Liquid" Sensors 18, no. 5: 1628. https://doi.org/10.3390/s18051628
APA StyleZhang, Y., Li, Y., Song, Z., Lin, R., Chen, Y., & Qian, J. (2018). A High-Q AFM Sensor Using a Balanced Trolling Quartz Tuning Fork in the Liquid. Sensors, 18(5), 1628. https://doi.org/10.3390/s18051628

