A Novel DFT-Based DOA Estimation by a Virtual Array Extension Using Simple Multiplications for FMCW Radar
Abstract
:1. Introduction
2. Signal Model and Notation
3. DFT-Based DOA Estimation in FMCW Radar Systems
4. Proposed Algorithm
4.1. Structure of the Proposed Algorithm
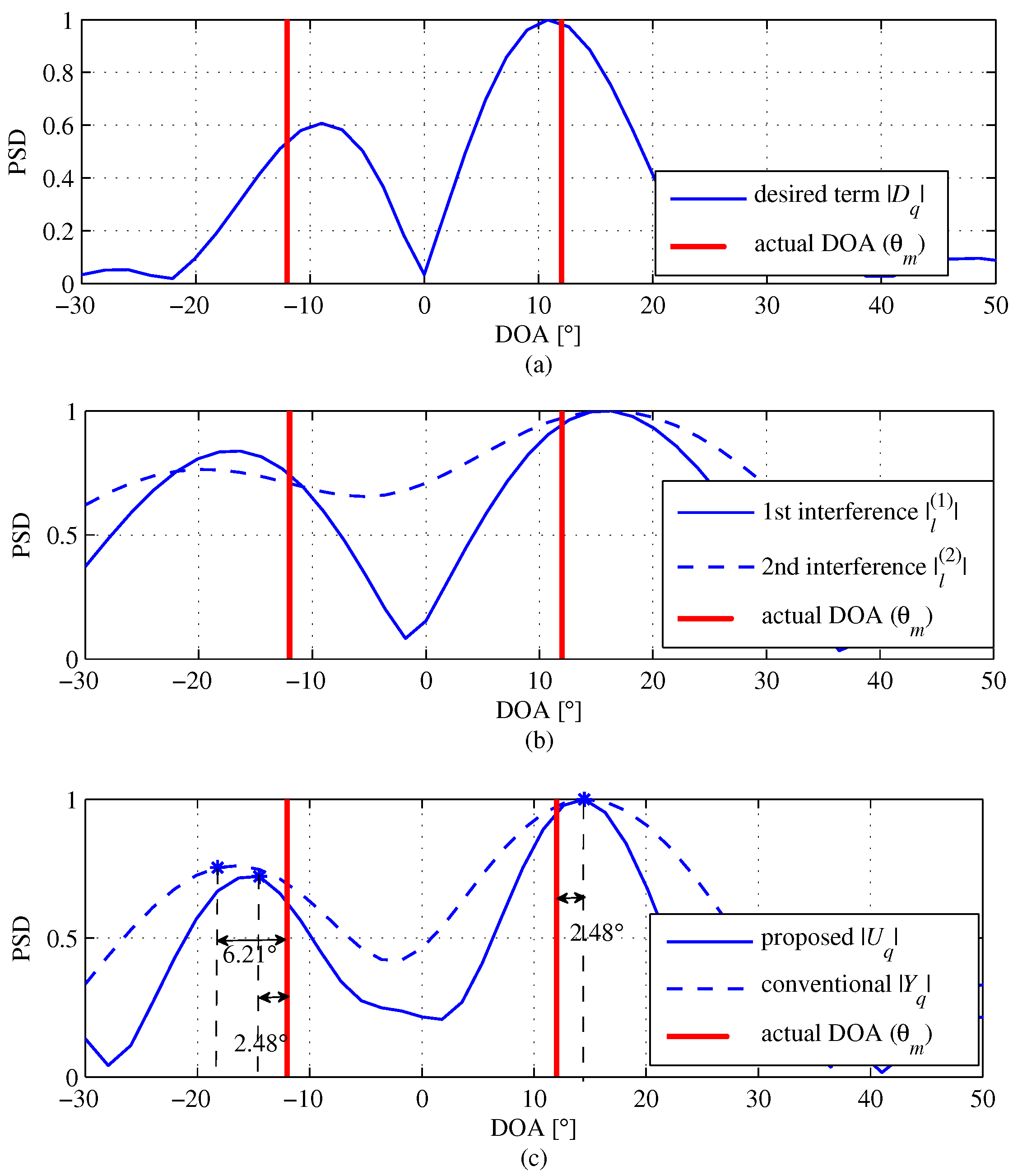
4.2. Analysis of Interference Signal Due to Cross Terms
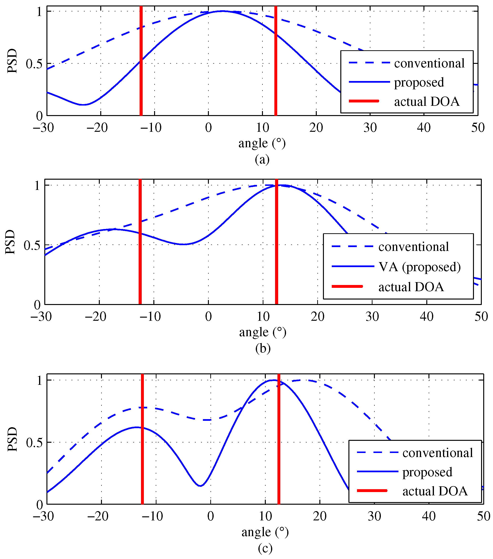
5. Simulation Results
6. Experiments
6.1. Experimental Setup
6.2. Experiment Results
7. Conclusions
Author Contributions
Funding
Conflicts of Interest
References
- Dudek, M.; Nasr, I.; Bozsik, G.; Hamouda, M.; Kissinger, D.; Fischer, G. System analysis of a phased-array radar applying adaptive beam-control for future automotive safety applications. IEEE Trans. Veh. Technol. 2015, 64, 34–47. [Google Scholar] [CrossRef]
- Kim, S.; Oh, D.; Lee, J. Joint DFT-ESPRIT estimation for TOA and DOA in vehicle FMCW radars. IEEE Antennas Wirel. Propag. 2015, 14, 1710–1713. [Google Scholar] [CrossRef]
- Hyun, E.; Jin, Y.; Lee, J. A pedestrian detection scheme using a coherent phase difference method based on 2D range-Doppler FMCW radar. Sensors 2016, 16, 124. [Google Scholar] [CrossRef] [PubMed]
- Saponara, S.; Neri, B. Radar sensor signal acquisition and multidimensional FFT processing for surveillance applications in transport systems. IEEE Trans. Instrum. Meas. 2017, 66, 604–615. [Google Scholar] [CrossRef]
- Schmidt, R.O. Multiple emitter location and signal parameter estimation. IEEE Trans. Antennas Propag. 1986, 34, 276–280. [Google Scholar] [CrossRef]
- Gardner, W.A. Simplification of MUSIC and ESPRIT by exploitation of cyclostationarity. Proc. IEEE 1988, 76, 845–847. [Google Scholar] [CrossRef]
- Yan, F.; Jin, M.; Qiao, X. Low-complexity DOA estimation based on compressed MUSIC and its performance analysis. IEEE Trans. Signal Process. 2013, 61, 1915–1930. [Google Scholar] [CrossRef]
- Godara, L.C. Application of antenna arrays to mobile communications. II. Beam-forming and direction-of-arrival considerations. Proc. IEEE 1997, 85, 1195–1245. [Google Scholar] [CrossRef]
- Lin, M.; Cao, L.-L.; Ouyang, J.; Shi, W.; An, K. DOA estimation using virtual array technique for noncirlular signals. In Proceedings of the WCSP 2012, Huangshan, China, 25–27 October 2012; pp. 1–5. [Google Scholar]
- Zhao, F.; Hao, X.; Chen, H. Direction-of-arrival estimation of virtual array signals based on Doppler effect. Int. J. Distrib. Sens. Netw. 2015, 2015, 1–10. [Google Scholar] [CrossRef]
- Delmas, J.P. Comments on ‘Conjugate ESPRIT (C-ESPRIT)’. IEEE Trans. Antennas Propag. 2007, 55, 511. [Google Scholar] [CrossRef]
- Yamada, H.; Shirai, S.; Yamaguchi, Y. DOA estimation of wideband signals using extended virtual array. In Proceedings of the 2014 3rd APCAP, Harbin, China, 26–29 July 2014; pp. 802–805. [Google Scholar]
- Li, J.; Stoica, P. MIMO Radar Signal Processing; Wilely: New York, NY, USA, 2009. [Google Scholar]
- Li, J.; Stoica, P. MIMO Radar with Colocated Antennas. IEEE Signal Process. Mag. 2007, 24, 106–114. [Google Scholar] [CrossRef]
- Hwang, H.K.; Aliyazicioglu, Z.; Wu, S.; Lu, H.; Wilkins, N.; Kerr, D. A new data extrapolation approach based on spectral partitioning. IEEE Commun. Lett. 2016, 23, 454–458. [Google Scholar]
- Wan, F.; Zhu, W.P.; Swamy, M.N.S. Spacial extrapolation-based blind DOA estimation approach for closely spaced sources. IEEE Trans. Aerosp. Electron. Syst. 2010, 46, 569–582. [Google Scholar] [CrossRef]
- Bromiley, P.A. Products and Convolutions of Gaussian Probability Density Functions. Available online: http://tina.wiau.man.ac.uk/docs/memos/2003-003.pdf (accessed on 14 May 2018).
- Stutzman, W.L.; Thiele, G.A. Antenna Theory and Design, 2nd ed.; Wiley: Indianapolis, IN, USA, 1998; pp. 80, 88–136. [Google Scholar]
- Zhang, Y.; Zhang, Y.; Huang, Y.; Yang, J.; Zha, Y.; Wu, J.; Yang, H. ML iterative superresolution approach for real-beam radar. In Proceedings of the 2014 IEEE Radar Conference, Cincinnati, OH, USA, 19–23 May 2014; pp. 1192–1196. [Google Scholar]
- Hyun, E.; Jin, Y.; Lee, J. Design and implementation of 24 GHz multichannel FMCW surveillance radar with a software-reconfigurable baseband. Hindawi J. Sens. 2017, 2017, 1–11. [Google Scholar] [CrossRef]
- Svitek, R.; Raman, S. DC offsets in direct-conversion receivers: Characterization and implications. IEEE Microw. Mag. 2005, 6, 76–86. [Google Scholar] [CrossRef]
- Kim, S.; Kim, B.; Oh, D.; Lee, J. An effective pre-processing technique for robust ESPRIT-based single-tone frequency estimation against an I/Q mismatch. Elektron. Elektrotech. 2015, 21, 34–39. [Google Scholar]


















© 2018 by the authors. Licensee MDPI, Basel, Switzerland. This article is an open access article distributed under the terms and conditions of the Creative Commons Attribution (CC BY) license (http://creativecommons.org/licenses/by/4.0/).
Share and Cite
Kim, B.; Kim, S.; Lee, J. A Novel DFT-Based DOA Estimation by a Virtual Array Extension Using Simple Multiplications for FMCW Radar. Sensors 2018, 18, 1560. https://doi.org/10.3390/s18051560
Kim B, Kim S, Lee J. A Novel DFT-Based DOA Estimation by a Virtual Array Extension Using Simple Multiplications for FMCW Radar. Sensors. 2018; 18(5):1560. https://doi.org/10.3390/s18051560
Chicago/Turabian StyleKim, Bongseok, Sangdong Kim, and Jonghun Lee. 2018. "A Novel DFT-Based DOA Estimation by a Virtual Array Extension Using Simple Multiplications for FMCW Radar" Sensors 18, no. 5: 1560. https://doi.org/10.3390/s18051560
APA StyleKim, B., Kim, S., & Lee, J. (2018). A Novel DFT-Based DOA Estimation by a Virtual Array Extension Using Simple Multiplications for FMCW Radar. Sensors, 18(5), 1560. https://doi.org/10.3390/s18051560
 
        
