Manufacturing a Long-Period Grating with Periodic Thermal Diffusion Technology on High-NA Fiber and Its Application as a High-Temperature Sensor
Abstract
:1. Introduction
2. Materials and Methods
2.1. The Point-by-Point Heating Technology for Manufacturing an LPFG in a UHNA Fiber
- Step 1: the two beams of the CO2 laser are focused on the same point of the UHNA-7 (Figure 1a) with a power of 400 bits (the actual total power of two beams is 13.3 W) and continues for 9500 ms. At the same time, both right and left motors do not move, which means there is no extra stress being introduced. The LZM-100 provides a continuous heating source, and the spot of the laser is about 300 μm. With this step, one point of the UHNA-7 fiber is heated with a high temperature for 9500 ms.
- Step 2: the left and right motors move in the same direction and speed, which causes the UHNA-7 fiber as a whole to move to the next position. The moving distance is the length of one pitch (e.g., 600 μm). This step is used to determine the length of one pitch of the LPFG.
- Circle: the program jumps from Step 2 to Step 1, then restarts from Step 1, causing Step 1 and Step 2 to create a circle, and we set the number of cycles;
- These steps can be written into the device as a program which is shown in Table 1.
2.2. The Post-Processing for the LPFG to Be Used as a High-Temperature Sensor
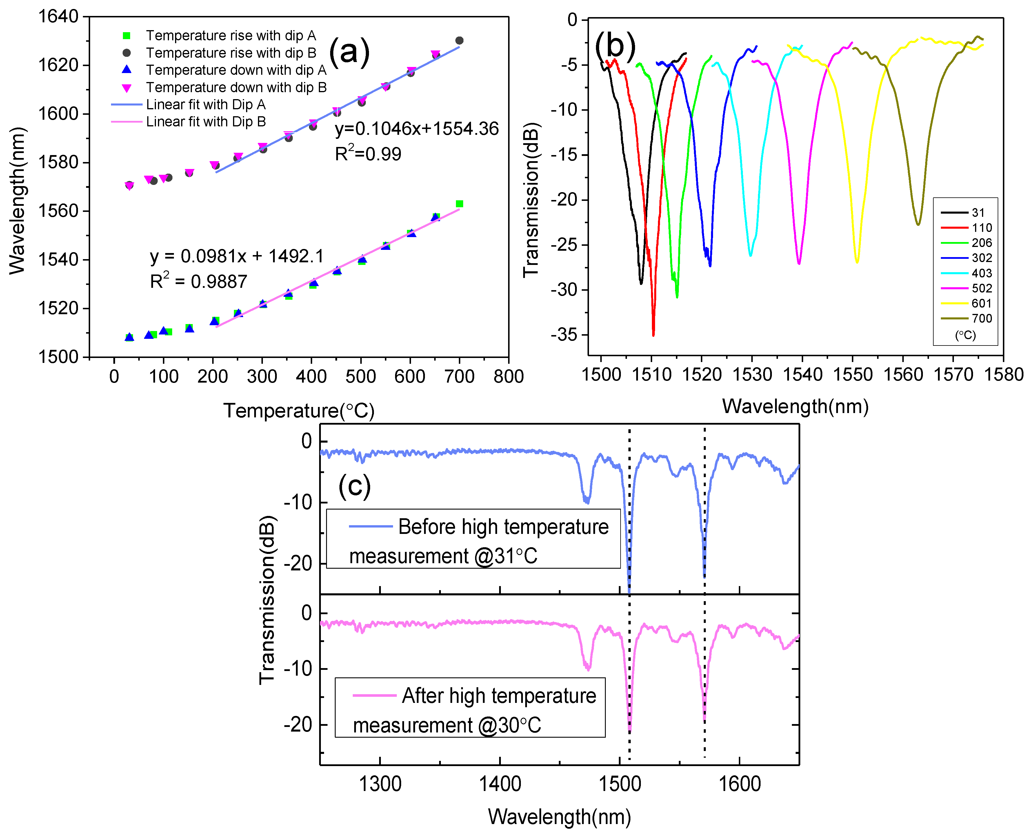
3. The High-Temperature Sensitivity of this LPFG
4. Discussion
5. Conclusions
Author Contributions
Funding
Acknowledgments
Conflicts of Interest
References
- Stephen, W.J.; Ralph, P.T. Optical fibre long-period grating sensors: Characteristics and application. Meas. Sci. Technol. 2003, 14, R49. [Google Scholar]
- Kakarantzas, G.; Dimmick, T.E.; Birks, T.A.; Le Roux, R.; Russell, P.S.J. Miniature all-fiber devices based on CO2 laser microstructuring of tapered fibers. Opt. Lett. 2001, 26, 1137–1139. [Google Scholar] [CrossRef] [PubMed]
- Vengsarkar, A.M.; Lemaire, P.J.; Judkins, J.B.; Bhatia, V.; Erdogan, T.; Sipe, J.E. Long-period fiber gratings as band-rejection filters. J. Lightwave Technol. 1996, 14, 58–65. [Google Scholar] [CrossRef]
- Kondo, Y.; Nouchi, K.; Mitsuyu, T.; Watanabe, M.; Kazansky, P.G.; Hirao, K. Fabrication of long-period fiber gratings by focused irradiation of infrared femtosecond laser pulses. Opt. Lett. 1999, 24, 646–648. [Google Scholar] [CrossRef] [PubMed]
- Savin, S.; Digonnet, M.J.F.; Kino, G.S.; Shaw, H.J. Tunable mechanically induced long-period fiber gratings. Opt. Lett. 2000, 25, 710–712. [Google Scholar] [CrossRef] [PubMed]
- Noordegraaf, D.; Scolari, L.; Lægsgaard, J.; Rindorf, L.; Alkeskjold, T.T. Electrically and mechanically induced long period gratings in liquid crystal photonic bandgap fibers. Opt. Express 2007, 15, 7901–7912. [Google Scholar] [CrossRef] [PubMed]
- Yi, L.; Mingjiang, Z.; Jianzhong, Z.; Hong, H.; Xiaogang, Y.; Jianguo, Z.; Yuncai, W. Compact two wavelength Brillouin fiber laser sensor with double Brillouin frequency spacing. Laser Phys. 2016, 26, 125106. [Google Scholar]
- Liu, Y.; Zhang, M.; Wang, P.; Li, L.; Wang, Y.; Bao, X. Multiwavelength single-longitudinal-mode Brillouin-Erbium fiber laser sensor for temperature measurements with ultrahigh resolution. IEEE Photonics J. 2015, 7, 1–9. [Google Scholar]
- Davis, D.D.; Gaylord, T.K.; Glytsis, E.N.; Kosinski, S.G.; Mettler, S.C.; Vengsarkar, A.M. Long-period fibre grating fabrication with focused CO2 laser pulses. Electron. Lett. 1998, 34, 302–303. [Google Scholar] [CrossRef]
- Davis, D.D.; Gaylord, T.K.; Glytsis, E.N.; Mettler, S.C. Very-high-temperature stable CO2-laser-induced long-period fibre gratings. Electron. Lett. 1999, 35, 740–742. [Google Scholar] [CrossRef]
- Fokine, M. Formation of thermally stable chemical composition gratings in optical fibers. J. Opt. Soc. Am. B 2002, 19, 1759–1765. [Google Scholar] [CrossRef]
- Dianov, E.M.; Karpov, V.I.; Grekov, M.V.; Golant, K.M.; Vasiliev, S.A.; Medvedkov, O.I.; Khrapko, R.R. Thermo-induced long-period fibre gratings. In Proceedings of the 11th International Conference on Integrated Optics and Optical Fibre Communications and 23rd European Conference on Optical Communications, Edinburgh, UK, 22–25 September 1997; Volume 2, pp. 53–56. [Google Scholar]
- Dianov, E.M.; Karpov, V.I.; Kurkov, A.S.; Grekov, M.V. Long-period fiber gratings and mode-field converters fabricated by thermodiffusion in phosphosilicate fibers. In Proceedings of the 24th European Conference on Optical Communication, Madrid, Spain, 20–24 September 1998; Volume 1, pp. 395–396. [Google Scholar]
- Xuewen, S.; Allsop, T.; Gwandu, B.; Lin, Z.; Bennion, I. High-temperature sensitivity of long-period gratings in B-Ge codoped fiber. IEEE Photonic Technol. Lett. 2001, 13, 818–820. [Google Scholar] [CrossRef]
- Zheng, W. Fabrication of long period fiber gratings with CO2 laser fusion splicers. In Proceedings of the 2016 IEEE on Optoelectronics Global Conference (OGC), Shenzhen, China, 5–7 September 2016; pp. 1–4. [Google Scholar]
- Masri, G.; Shahal, S.; Klein, A.; Duadi, H.; Fridman, M. Polarization dependence of asymmetric off-resonance long period fiber gratings. Opt. Express 2016, 24, 29843–29851. [Google Scholar] [CrossRef] [PubMed]
- Shahal, S.; Klein, A.; Masri, G.; Duadi, H.; Fridman, M. Long period fiber gratings with off-resonance spectral response based on mechanical oscillations. J. Opt. Soc. Am. A 2017, 34, 264–269. [Google Scholar] [CrossRef] [PubMed]
- Preble, S.F.; Fanto, M.L.; Steidle, J.A.; Tison, C.C.; Howland, G.A.; Wang, Z.; Alsing, P.M. On-Chip Quantum Interference from a Single Silicon Ring-Resonator Source. Phys. Rev. Appl. 2015, 4, 021001. [Google Scholar] [CrossRef]
- Zhu, J.J.; Zhang, A.P.; Xia, T.H.; He, S.; Xue, W. Fiber-Optic High-Temperature Sensor Based on Thin-Core Fiber Modal Interferometer. IEEE Sens. J. 2010, 10, 1415–1418. [Google Scholar]
- Gu, B.; Yin, M.J.; Zhang, A.P.; Qian, J.W.; He, S. Low-cost high-performance fiber-optic pH sensor based on thin-core fiber modal interferometer. Opt. Express 2009, 17, 22296–22302. [Google Scholar] [CrossRef] [PubMed]
- Frazão, O.; Lima, M.J.N.; Santos, J.L. Simultaneous measurement of strain and temperature using type I and type IIA fibre Bragg gratings. J. Opt. A-Pure Appl. Opt. 2003, 5, 183. [Google Scholar] [CrossRef]
- Xuewen, S.; Lin, Z.; Bennion, I. Sensitivity characteristics of long-period fiber gratings. J. Lightwave Technol. 2002, 20, 255–266. [Google Scholar] [CrossRef]
- Hu, X.; Shen, X.; Wu, J.; Peng, J.; Yang, L.; Li, J.; Li, H.; Dai, N. All fiber M-Z interferometer for high temperature sensing based on a hetero-structured cladding solid-core photonic bandgap fiber. Opt. Express 2016, 24, 21693–21699. [Google Scholar] [CrossRef] [PubMed]







| Special Function (Step 1) | Special Function (Step 2) | ||
|---|---|---|---|
| Motor: Z-Left | Motor: Z-Right | Page 2 | Page 7 |
| Direction: Back | Direction: front | Power: 400 bits (special + 50 bits) | Main program: Jump |
| Start time: 0 ms | Start time: 0 ms | Start time: 0 ms | Next step: −1 |
| Stop time: 3000 ms | Stop time: 3000 ms | Stop time: 9500 ms | Repeat number: 55 |
| Speed: 0.2 μm/ms | Speed: 0.2 μm/ms | ||
© 2018 by the authors. Licensee MDPI, Basel, Switzerland. This article is an open access article distributed under the terms and conditions of the Creative Commons Attribution (CC BY) license (http://creativecommons.org/licenses/by/4.0/).
Share and Cite
Shen, X.; Dai, B.; Xing, Y.; Yang, L.; Li, H.; Li, J.; Peng, J. Manufacturing a Long-Period Grating with Periodic Thermal Diffusion Technology on High-NA Fiber and Its Application as a High-Temperature Sensor. Sensors 2018, 18, 1475. https://doi.org/10.3390/s18051475
Shen X, Dai B, Xing Y, Yang L, Li H, Li J, Peng J. Manufacturing a Long-Period Grating with Periodic Thermal Diffusion Technology on High-NA Fiber and Its Application as a High-Temperature Sensor. Sensors. 2018; 18(5):1475. https://doi.org/10.3390/s18051475
Chicago/Turabian StyleShen, Xiang, Bin Dai, Yingbin Xing, Luyun Yang, Haiqing Li, Jinyan Li, and Jingang Peng. 2018. "Manufacturing a Long-Period Grating with Periodic Thermal Diffusion Technology on High-NA Fiber and Its Application as a High-Temperature Sensor" Sensors 18, no. 5: 1475. https://doi.org/10.3390/s18051475
APA StyleShen, X., Dai, B., Xing, Y., Yang, L., Li, H., Li, J., & Peng, J. (2018). Manufacturing a Long-Period Grating with Periodic Thermal Diffusion Technology on High-NA Fiber and Its Application as a High-Temperature Sensor. Sensors, 18(5), 1475. https://doi.org/10.3390/s18051475
