Adaptive Aggregation Routing to Reduce Delay for Multi-Layer Wireless Sensor Networks
Abstract
1. Introduction
- (1)
- An adaptive aggregation routing (AAR) scheme is proposed to reduce delay and improve the lifetime for multi-layer wireless sensor networks. The core of this scheme is the node assignment algorithm (NAAL) that we proposed. This algorithm addressed the assignment of data queues in two adjacent layers of the network. According to the state of the data queue in the nodes, this algorithm selects nodes with a long data queue in the upper layer and sets the priority according to the length of the data queue. These nodes are guaranteed to receive sufficient data to aggregate, while other nodes which have no data to send are put to sleep in this process to save energy. Therefore, the frequency of data aggregation increases and the total delay decreases. Simulation results illustrate that the AAR scheme reduces the delay by 14.91% and improves the lifetime by 30.91% compared to other common schemes.
- (2)
- Based on the AAR scheme, an improved optimization method is proposed in this paper, which improves the QoS. The main idea of the improved ARR scheme is as follows: the data in the nodes far from the sink use more hops to be transmitted to the sink, and there is delay in every hop. Consequently, there is noticeable delay caused during the process of transmitting the data from the distant nodes to the sink. In WSNs, nodes far away from the sink transmit less data than the other nodes. Therefore, more energy remains in these nodes. In the improved AAR scheme, the nodes far away from the sink have a small aggregation deadline () value and queue length threshold () to improve the frequency of sending the aggregation queues. The nodes near the sink are set to a large value and value to reduce energy consumption. The total delay is reduced, high lifetime is achieved, and the residual energy is fully used. Based on the simulations, the improved AAR scheme increases the energy efficiency by 76.40%.
- (3)
- To evaluate its effectiveness, we conducted extensive simulations in a variety of network environments. The results indicate that the scheme we proposed performs better than other common networks.
2. Related Work
2.1. Research on Data Aggregation
2.2. Research on Delay Optimization
2.2.1. Methods for Reducing Delay in a Wireless Unreliable Transmission Environment
2.2.2. The Delay in Duty Cycle Based Wireless Sensor Network
2.2.3. Research on Delay Optimization for Adjusting Node Transmission Power
2.2.4. Research on Delay in Data Aggregation
2.2.5. Other Research Related to Delay
3. System Model and Problem Statement
3.1. System Model
3.2. Problem Statement
4. Optimization Mechanism Design
4.1. Description and Remarks about NAAL
| Algorithm 1 Node assignment algorithm | |
| 1: | For each | //collect all the nodes whose aggregation queue is ready to aggregate. |
| 2: | If or then |
| 3: | |
| 4: | End if |
| 5: | End for |
| 6: | Ifthen//if , no node in send the aggregation queue. |
| 7: | Return |
| 8: | End if |
| 9: | For each //collect all the nodes whose . |
| 10: | If then |
| 11: | |
| 12: | End if |
| 13: | End for |
| 14: | For each from with max to with min in //assign to with the priority of large to small. |
| 15: | While then //assign with sufficient aggregation queues to make the node aggregate. |
| 16: | |
| 17: | |
| 18: | End while |
| 19: | |
| 20: | End for |
| 21: | Ifthen//the remaining queues of nodes in are transmitted to . |
| 22: | While then |
| 23: | |
| 24: | |
| 25: | End while |
| 26: | End if |
4.2. NAAL Complexity Analysis
4.3. Illustration of NAAL
5. Performance Analysis and Optimization
5.1. Methodology and Setup
5.2. Optimization Performances on Delay
5.2.1. The Effect of Environmental Parameters on Delay
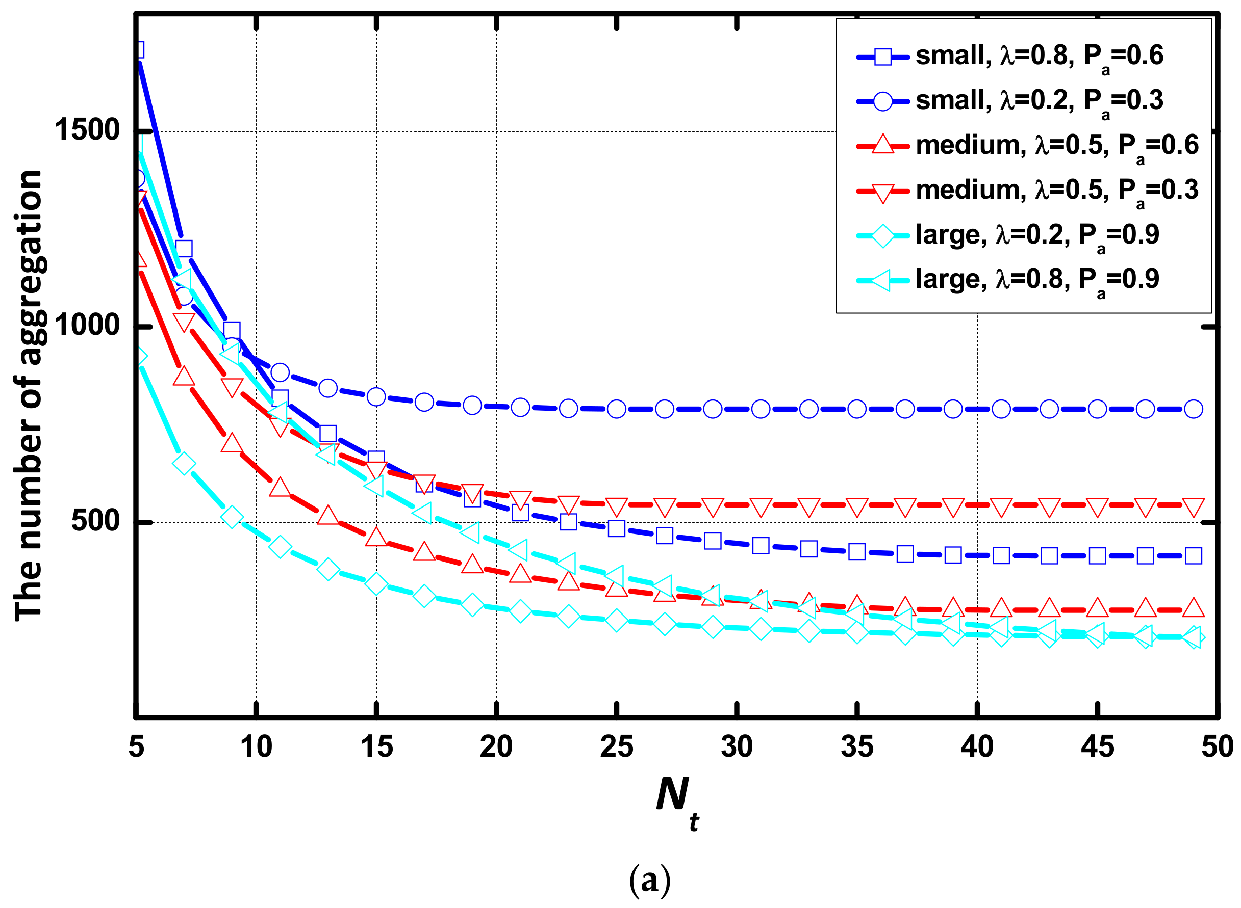
5.2.2. The Effect of Environmental Parameters on the Number of Aggregations
5.2.3. The Optimization Performance of AAR Scheme
5.2.4. The Number of Aggregation of AAR Scheme
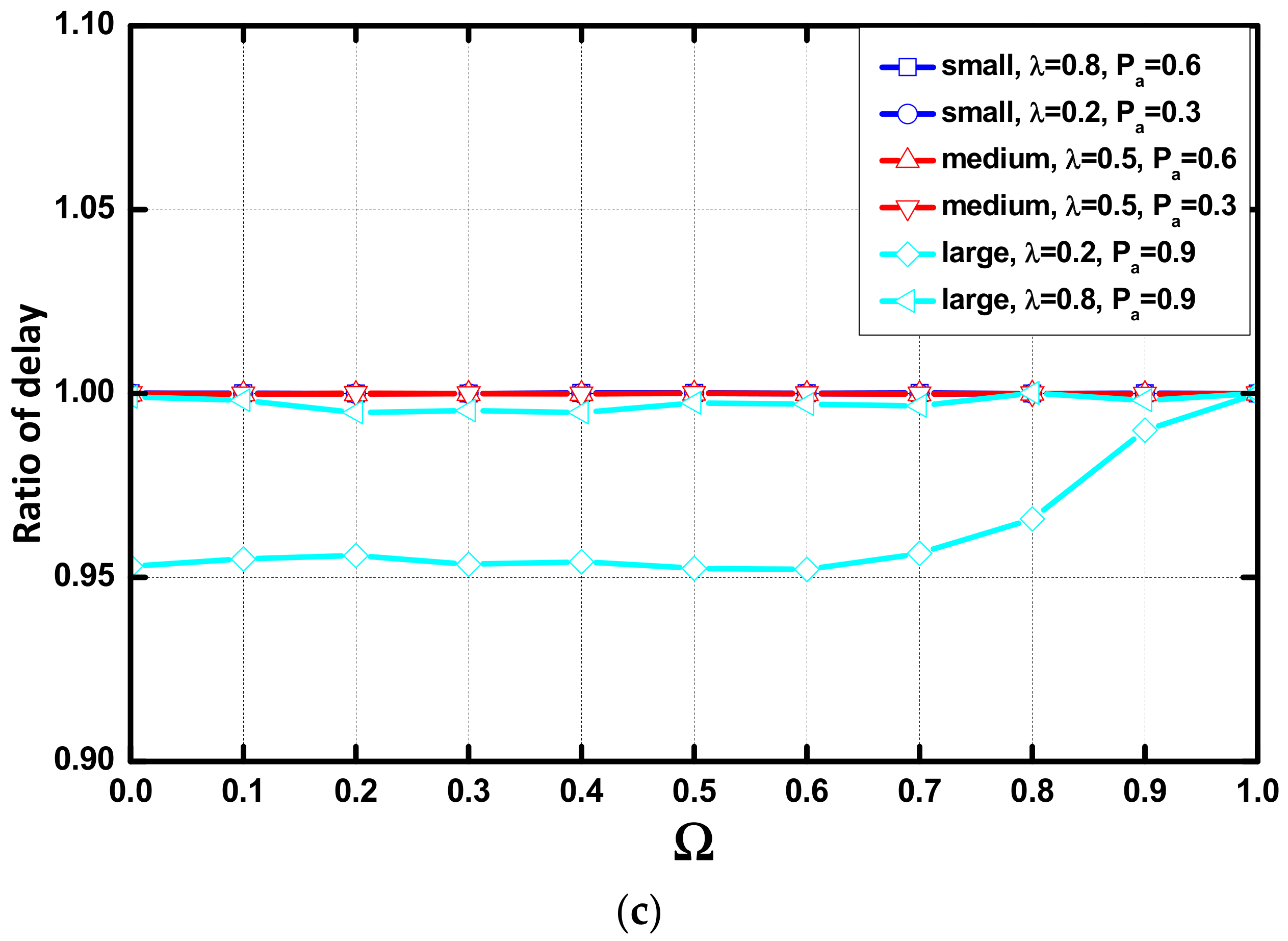
5.3. Performance of Optimizing at Different Node Selection Parameter
5.4. Performance of the AAR Scheme VS. the Improved AAR Scheme
6. Conclusions
Acknowledgments
Author Contributions
Conflicts of Interest
References
- Bhuiyan, M.Z.A.; Wang, G.; Wu, J.; Cao, J.; Liu, X.; Wang, T. Dependable structural health monitoring using wireless sensor networks. IEEE Trans. Dependable Secur. Comput. 2017, 14, 363–376. [Google Scholar] [CrossRef]
- Wang, J.; Liu, A.; Yan, T.; Zeng, Z. A Resource Allocation Model Based on Double-sided Combinational Auctions for Transparent Computing. Peer-to-Peer Netw. Appl. 2017. [Google Scholar] [CrossRef]
- Xiao, F.; Liu, W.; Li, Z.; Chen, L.; Wang, R. Noise-tolerant Wireless Sensor Networks Localization via Multi-norms Regularized Matrix Completion. IEEE Trans. Veh. Technol. 2017, 1–11. [Google Scholar] [CrossRef]
- Bhuiyan, M.Z.A.; Wu, J.; Wang, G.; Wang, T.; Hassan, M.M. e-Sampling: Event-Sensitive Autonomous Adaptive Sensing and Low-Cost Monitoring in Networked Sensing Systems. ACM Trans. Auton. Adapt. Syst. 2017, 12, 1. [Google Scholar] [CrossRef]
- Dai, H.; Chen, G.; Wang, C.; Wang, S.; Wu, X.; Wu, F. Quality of energy provisioning for wireless power transfer. IEEE Trans. Parallel Distrib. Syst. 2015, 26, 527–537. [Google Scholar] [CrossRef]
- Jiang, W.; Wang, G.; Bhuiyan, M.Z.A.; Wu, J. Understanding graph-based trust evaluation in online social networks: Methodologies and challenges. ACM Comput. Surv. (CSUR) 2016, 49, 10. [Google Scholar] [CrossRef]
- Tang, J.; Liu, A.; Zhao, M.; Wang, T. An Aggregate Signature based Trust Routing for Data Gathering in Sensor Networks. Secur. Commun. Netw. 2018. [Google Scholar] [CrossRef]
- Huang, M.; Liu, A.; Wang, T.; Huang, C. Green Data Gathering under Delay Differentiated Services Constraint for Internet of Things. Wirel. Commun. Mob. Comput. 2018. [Google Scholar] [CrossRef]
- Wu, M.; Wu, Y.; Liu, X.; Ma, M.; Liu, A.; Zhao, M. Learning Based Synchronous Approach from Forwarding Nodes to Reduce the Delay for Industrial Internet of Things. EURASIP J. Wirel. Commun. Netw. 2018, 10. [Google Scholar] [CrossRef]
- Gui, J.S.; Hui, L.H.; Xiong, N.X. Enhancing Cellular Coverage Quality by Virtual Access Point and Wireless Power Transfer. Wirel. Commun. Mob. Comput. 2018, 2018, 9218239. [Google Scholar] [CrossRef]
- Xin, H.; Liu, X. Energy-balanced transmission with accurate distances for strip-based wireless sensor networks. IEEE Access 2017, 5, 16193–16204. [Google Scholar] [CrossRef]
- Zhao, S.; Liu, A. High Performance Target Tracking Scheme with Low Prediction Precision Requirement in WSNs. Int. J. Ad. Hoc. Ubiquitous Comput. 2017. Available online: http://www.inderscience.com /info/ingeneral/forthcoming.php?jcode=ijahuc (accessed on 30 March 2018).
- Xie, K.; Wang, X.; Wen, J.; Cao, J. Cooperative routing with relay assignment in multiradio multihop wireless networks. IEEE/ACM Trans. Netw. (TON) 2016, 24, 859–872. [Google Scholar] [CrossRef]
- Liu, A.; Huang, M.; Zhao, M.; Wang, T. A Smart High-Speed Backbone Path Construction Approach for Energy and Delay Optimization in WSNs. IEEE Access 2018. [Google Scholar] [CrossRef]
- Liu, X.; Zhao, S.; Liu, A.; Xiong, N.; Vasilakos, A.V. Knowledge-aware Proactive Nodes Selection Approach for Energy management in Internet of Things. Future Gener. Comput. Syst. 2017. [Google Scholar] [CrossRef]
- Ren, Y.; Liu, A.; Zhao, M.; Huang, C.; Wang, T. A Quality Utilization Aware based Data Gathering for Vehicular Communication Networks. Wirel. Commun. Mob. Comput. 2018, 6353714. [Google Scholar] [CrossRef]
- Liu, Y.; Liu, A.; Guo, S.; Li, Z.; Choi, Y.J. Context-aware collect data with energy efficient in Cyber-physical cloud systems. Future Gener. Comput. Syst. 2017. [Google Scholar] [CrossRef]
- Liu, Y.; Ota, K.; Zhang, K.; Ma, M.; Xiong, N.; Liu, A.; Long, J. QTSAC: A Energy efficient MAC Protocol for Delay Minimized in Wireless Sensor networks. IEEE Access 2018. [Google Scholar] [CrossRef]
- Tang, J.; Liu, A.; Zhang, J.; Zeng, Z.; Xiong, N.; Wang, T. A Security Routing Scheme Using Traceback Approach for Energy Harvesting Sensor Networks. Sensors 2018, 18, 751. [Google Scholar] [CrossRef] [PubMed]
- Yang, G.; He, S.; Shi, Z. Leveraging crowdsourcing for efficient malicious users detection in large-scale social networks. IEEE Internet Things J. 2017, 4, 330–339. [Google Scholar] [CrossRef]
- Ota, K.; Dong, M.; Gui, J.; Liu, A. QUOIN: Incentive Mechanisms for Crowd Sensing Networks. IEEE Netw. Mag. 2018. [Google Scholar] [CrossRef]
- Ma, F.; Liu, X.; Liu, A.; Zhao, M.; Huang, C.; Wang, T. A Time and Location Correlation Incentive Scheme for Deeply Data Gathering in Crowdsourcing Networks. Wirel. Commun. Mob. Comput. 2018, 8052620. [Google Scholar] [CrossRef]
- Sun, W.; Cai, Z.; Liu, F.; Fang, S.; Wang, G.; Li, Y. Data Processing and Text Mining Technologies on Electronic Medical Records: A Review. J. Healthc. Eng. 2018, 2018, 4302425. [Google Scholar] [CrossRef]
- Huang, M.; Liu, Y.; Zhang, N.; Xiong, N.; Liu, A.; Zeng, Z.; Song, H. A Services Routing based Caching Scheme for Cloud Assisted CRNs. IEEE Access 2018. [Google Scholar] [CrossRef]
- Liu, Q.; Liu, A. On the hybrid using of unicast-broadcast in wireless sensor networks. Comput. Electr. Eng. 2017. [Google Scholar] [CrossRef]
- Teng, H.; Liu, X.; Liu, A.; Shen, H.; Huang, C.; Wang, T. Adaptive Transmission Power Control for Reliable Data Forwarding in Sensor based Networks. Wirel. Commun. Mob. Comput. 2018, 2068375. [Google Scholar] [CrossRef]
- Tan, J.; Liu, A.; Zhao, M.; Shen, H.; Ma, M. Cross Layer Design for Reducing Delay and Maximizing Lifetime in Industrial Wireless Sensor Networks. EURASIP J. Wirel. Commun. Netw. 2018. [Google Scholar] [CrossRef]
- Xie, K.; Cao, J.; Wang, X.; Wen, J. Optimal resource allocation for reliable and energy efficient cooperative communications. IEEE Trans. Wirel. Commun. 2013, 12, 4994–5007. [Google Scholar] [CrossRef]
- Kim, U.H.; Kong, E.; Choi, H.H.; Lee, J.R. Analysis of Aggregation Delay for Multisource Sensor Data with On-Off Traffic Pattern in Wireless Body Area Networks. Sensors 2016, 16, 1622. [Google Scholar] [CrossRef] [PubMed]
- Pu, L.; Chen, X.; Xu, J.; Fu, X. D2D fogging: An energy-efficient and incentive-aware task offloading framework via network-assisted D2D collaboration. IEEE J. Sel. Areas Commun. 2016, 34, 3887–3901. [Google Scholar] [CrossRef]
- Xu, J.; Liu, A.; Xiong, N.; Wang, T.; Zuo, Z. Integrated Collaborative Filtering Recommendation in Social Cyber-Physical Systems. Int. J. Distrib. Sens. Netw. 2017, 13, 1550147717749745. [Google Scholar] [CrossRef]
- Liu, X.; Xiong, N.; Zhang, N.; Liu, A.; Shen, H.; Huang, C. A Trust with Abstract Information Verified Routing Scheme for Cyber-physical Network. IEEE Access 2018. [Google Scholar] [CrossRef]
- Le Nguyen, P.; Ji, Y.; Liu, Z.; Vu, H.; Nguyen, K.V. Distributed hole-bypassing protocol in WSNs with constant stretch and load balancing. Comput. Netw. 2017, 129, 232–250. [Google Scholar] [CrossRef]
- Dai, H.; Liu, Y.; Chen, G.; Wu, X.; He, T.; Liu, A.X.; Ma, H. Safe charging for wireless power transfer. IEEE/ACM Trans. Netw. 2017, 25, 3531–3544. [Google Scholar] [CrossRef]
- Yadav, P.; McCann, J.A.; Pereira, T. Self-Synchronization in Duty-cycled Internet of Things (IoT) Applications. IEEE Internet Things J. 2017, 4, 2058–2069. [Google Scholar] [CrossRef]
- Harb, H.; Makhoul, A.; Laiymani, D.; Jaber, A. A Distance-Based Data Aggregation Technique for Periodic Sensor Networks. ACM Trans. Sens. Netw. (TOSN) 2017, 13, 32. [Google Scholar] [CrossRef]
- Randhawa, S.; Jain, S. Data Aggregation in Wireless Sensor Networks: Previous Research, Current Status and Future Directions. Wirel. Pers. Commun. 2017, 97, 3355–3425. [Google Scholar] [CrossRef]
- Villas, L.A.; Boukerche, A.; Ramos, H.S.; de Oliveira, H.A.F.; de Araujo, R.B.; Loureiro, A.A.F. DRINA: A lightweight and reliable routing approach for in-network aggregation in wireless sensor networks. IEEE Trans. Comput. 2013, 62, 676–689. [Google Scholar] [CrossRef]
- Liu, X.; Li, G.; Zhang, S.; Liu, A. Big Program Code Dissemination Scheme for Emergency Software-define Wireless Sensor Networks. Peer-to-Peer Netw. Appl. 2017. [Google Scholar] [CrossRef]
- Sun, W.; Cai, Z.; Li, Y.; Liu, F.; Fang, S.; Wang, G. Security and Privacy in the Medical Internet of Things. Secur. Commun. Netw. 2018, 2018, 5978636. [Google Scholar] [CrossRef]
- Dong, M.; Ota, K.; Liu, A.; Guo, M. Joint optimization of lifetime and transport delay under reliability constraint wireless sensor networks. IEEE Trans. Parallel Distrib. Syst. 2016, 27, 225–236. [Google Scholar] [CrossRef]
- Park, J.; Lee, S.; Yoo, S. Time slot assignment for convergecast in wireless sensor networks. J. Parallel Distrib. Comput. 2015, 83, 70–82. [Google Scholar] [CrossRef]
- Badreddine, W.; Khernane, N.; Potop-Butucaru, M.; Chaudet, C. Convergecast in wireless body area networks. Ad Hoc Netw. 2017, 66, 40–51. [Google Scholar] [CrossRef]
- Liu, Y.; Liu, A.; Chen, Z. Analysis and improvement of send-and-wait automatic repeat-request protocols for wireless sensor networks. Wirel. Pers. Commun. 2015, 81, 923–959. [Google Scholar] [CrossRef]
- Huang, S.; Wan, P.; Vu, C.T.; Li, Y.; Yao, F. Nearly constant approximation for data aggregation scheduling in wireless sensor networks. In Proceedings of the 26th IEEE international conference on computer communications (INFOCOM 2007), Vancouver, BC, Canada, 31 July–3 August 2007; pp. 366–372. [Google Scholar]
- Xu, X.H.; Li, X.Y.; Mao, X.F.; Tang, S.; Wang, S. A delay-efficient algorithm for data aggregation in multihop wireless sensor networks. IEEE Trans. Parallel Distrib. Syst. 2011, 22, 163–175. [Google Scholar]
- Ez-zazi, I.; Arioua, M.; El Oualkadi, A.; Lorenz, P. On the performance of adaptive coding schemes for energy efficient and reliable clustered wireless sensor networks. Ad Hoc Netw. 2017, 64, 99–111. [Google Scholar] [CrossRef]
- Liu, X. Node Deployment Based on Extra Path Creation for Wireless Sensor Networks on Mountain Roads. IEEE Commun. Lett. 2017, 21, 2376–2379. [Google Scholar] [CrossRef]
- Gui, J.; Deng, J. Multi-hop Relay-Aided Underlay D2D Communications for Improving Cellular Coverage Quality. IEEE Access 2018, 6, 14318–14338. [Google Scholar] [CrossRef]
- Chen, Z.; Liu, A.; Li, Z.; Choi, Y.J.; Li, J. Distributed duty cycle control for delay improvement in wireless sensor networks. Peer-to-Peer Netw. Appl. 2017, 10, 559–578. [Google Scholar] [CrossRef]
- Chen, X.; Pu, L.; Gao, L.; Wu, W.; Wu, D. Exploiting massive D2D collaboration for energy-efficient mobile edge computing. IEEE Wirel. Commun. 2017, 24, 64–71. [Google Scholar] [CrossRef]
- Liu, X.; Liu, Y.; Xiong, N.; Zhang, N.; Liu, A.; Shen, H.; Huang, C. Construction of Large-scale Low Cost Deliver Infrastructure using Vehicular Networks. IEEE Access 2018. [Google Scholar] [CrossRef]
- Naranjo, P.G.V.; Shojafar, M.; Mostafaei, H.; Pooranian, Z.; Baccarelli, E. P-SEP: A prolong stable election routing algorithm for energy-limited heterogeneous fog-supported wireless sensor networks. J. Supercomput. 2017, 73, 733–755. [Google Scholar] [CrossRef]
- Huang, M.; Liu, A.; Zhao, M.; Wang, T. Multi Working Sets Alternate Covering Scheme for Continuous Partial Coverage in WSNs. Peer-to-Peer Netw. Appl. 2018. [Google Scholar] [CrossRef]
- Nazhad, S.H.H.; Shojafar, M.; Shamshirband, S.; Conti, M. An efficient routing protocol for the QoS support of large-scale MANETs. Int. J. Commun. Syst. 2018, 31, 1–18. [Google Scholar] [CrossRef]
- Li, J.; Liu, Z.; Chen, X.; Xhafa, F.; Tan, X.; Wong, D.S. L-EncDB: A lightweight framework for privacy-preserving data queries in cloud computing. Knowl. Based Syst. 2015, 79, 18–26. [Google Scholar] [CrossRef]
- Xu, Q.; Su, Z.; Zheng, Q.; Luo, M.; Dong, B. Secure Content Delivery with Edge Nodes to Save Caching Resources for Mobile Users in Green Cities. IEEE Trans. Ind. Inf. 2017. [Google Scholar] [CrossRef]
- Zhu, H.; Xiao, F.; Sun, L.; Wang, R.; Yang, P. R-TTWD: Robust device-free through-the-wall detection of moving human with WiFi. IEEE J. Sel. Areas Commun. 2017, 35, 1090–1103. [Google Scholar] [CrossRef]
- Li, J.; Li, Y.K.; Chen, X.; Lee, P.P.C.; Lou, W. A hybrid cloud approach for secure authorized deduplication. IEEE Trans. Parallel Distrib. Syst. 2015, 26, 1206–1216. [Google Scholar] [CrossRef]
- Chen, X.; Li, J.; Weng, J.; Ma, J.; Lou, W. Verifiable computation over large database with incremental updates. IEEE Trans. Comput. 2016, 65, 3184–3195. [Google Scholar] [CrossRef]
- Li, J.; Li, J.; Chen, X.; Jia, C.; Lou, W. Identity-based encryption with outsourced revocation in cloud computing. IEEE Trans. Comput. 2015, 64, 425–437. [Google Scholar] [CrossRef]
- Liu, Q.; Wang, G.; Liu, X.; Peng, T.; Wu, J. Achieving reliable and secure services in cloud computing environments. Comput. Electr. Eng. 2017, 59, 153–164. [Google Scholar] [CrossRef]
- Liu, Q.; Guo, Y.; Wu, J.; Wang, G. Effective Query Grouping Strategy in Clouds. J. Comput. Sci. Technol. 2017, 32, 1231–1249. [Google Scholar] [CrossRef]
- Xie, M.; Bhanja, U.; Shao, J.; Zhang, G.; Wei, G. LDSCD: A loss and DoS resistant secure code dissemination algorithm supporting multiple authorized tenants. Inf. Sci. 2017, 420, 37–48. [Google Scholar] [CrossRef]
- Liu, A.; Chen, W.; Liu, X. Delay Optimal Opportunistic Pipeline Routing Scheme for Cognitive Radio Sensor Networks. Int. J. Distrib. Sens. Netw. 2018. [Google Scholar] [CrossRef]




















| Parameter | State |
|---|---|
| All the nodes in layer of the wireless network. | |
| The set which contains the nodes which participate in the transmission in layer . | |
| A node at and relative position . | |
| The number of the nodes in the network. | |
| The number of the layer in the network. | |
| The number of the nodes at . | |
| Packet aggregation threshold. | |
| Value of the packet aggregation timer. | |
| The parent node of by default. | |
| Current length of data packets queue of . | |
| Current value of aggregation timer of . | |
| The ratio of the length of the current queue to in . | |
| The parameter at which a node receives the aggregate data queue from the lower layer. | |
| Data aggregation ratio. | |
| The probability that a sensor generates sensing data during a packet generation period. |
| Parameter | Value |
|---|---|
| {3, 5, 7} | |
| {20, 60, 80} | |
| {0.2, 0.5, 0.8} | |
| {0.3, 0.6, 0.9} | |
| 5–50 (packet) | |
| 5–50 (unit) | |
| {0.1, 0.2, 0.3, 0.4, 0.5, 0.6, 0.7, 0.8, 0.9, 1.0} |
| Scenario | Maximum of the Aggregation in CS | Maximum of the Aggregation in AAR | Ratio (%) |
|---|---|---|---|
| Small, (0.2,0.3) | 590.58 | 479.18 | 81.13 |
| Small, (0.8,0.6) | 891.96 | 653.41 | 73.26 |
| Medium, (0.5,0.3) | 410.97 | 332.92 | 81.01 |
| Medium, (0.5,0.6) | 390.90 | 302.95 | 77.50 |
| Large, (0.2,0.9) | 94.24 | 76.84 | 81.54 |
| Large, (0.8,0.9) | 449.90 | 289.80 | 66.41 |
| Scenario | Energy Efficiency of AAR (%) | Energy Efficiency of IMAAR (%) |
|---|---|---|
| Small, (0.2,0.3) | 76.06 | 90.80 |
| Small, (0.8,0.6) | 48.94 | 82.53 |
| Medium, (0.5,0.3) | 35.85 | 67.55 |
| Medium, (0.5,0.6) | 35.71 | 68.88 |
| Large, (0.2,0.9) | 73.88 | 79.14 |
| Large, (0.8,0.9) | 25.98 | 73.25 |
© 2018 by the authors. Licensee MDPI, Basel, Switzerland. This article is an open access article distributed under the terms and conditions of the Creative Commons Attribution (CC BY) license (http://creativecommons.org/licenses/by/4.0/).
Share and Cite
Li, X.; Liu, A.; Xie, M.; Xiong, N.N.; Zeng, Z.; Cai, Z. Adaptive Aggregation Routing to Reduce Delay for Multi-Layer Wireless Sensor Networks. Sensors 2018, 18, 1216. https://doi.org/10.3390/s18041216
Li X, Liu A, Xie M, Xiong NN, Zeng Z, Cai Z. Adaptive Aggregation Routing to Reduce Delay for Multi-Layer Wireless Sensor Networks. Sensors. 2018; 18(4):1216. https://doi.org/10.3390/s18041216
Chicago/Turabian StyleLi, Xujing, Anfeng Liu, Mande Xie, Neal N. Xiong, Zhiwen Zeng, and Zhiping Cai. 2018. "Adaptive Aggregation Routing to Reduce Delay for Multi-Layer Wireless Sensor Networks" Sensors 18, no. 4: 1216. https://doi.org/10.3390/s18041216
APA StyleLi, X., Liu, A., Xie, M., Xiong, N. N., Zeng, Z., & Cai, Z. (2018). Adaptive Aggregation Routing to Reduce Delay for Multi-Layer Wireless Sensor Networks. Sensors, 18(4), 1216. https://doi.org/10.3390/s18041216

