Absolute Measurement of the Refractive Index of Water by a Mode-Locked Laser at 518 nm
Abstract
:1. Introduction
2. Materials and Methods
3. Results
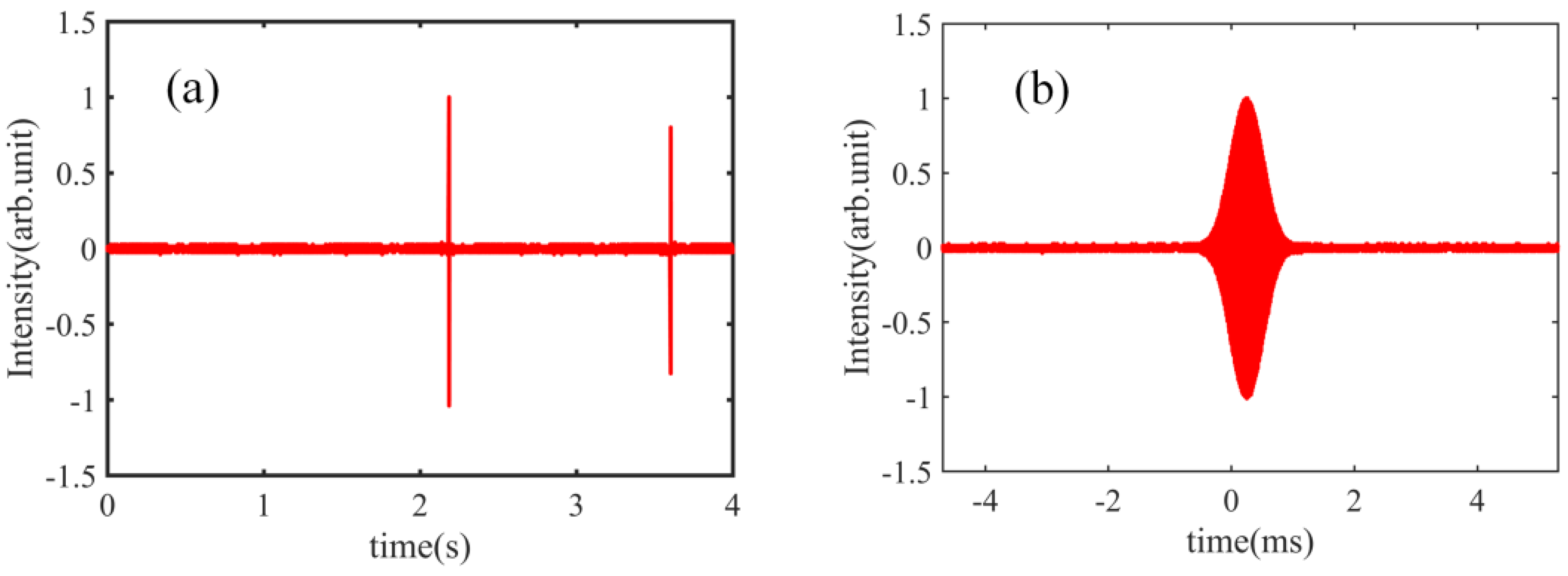
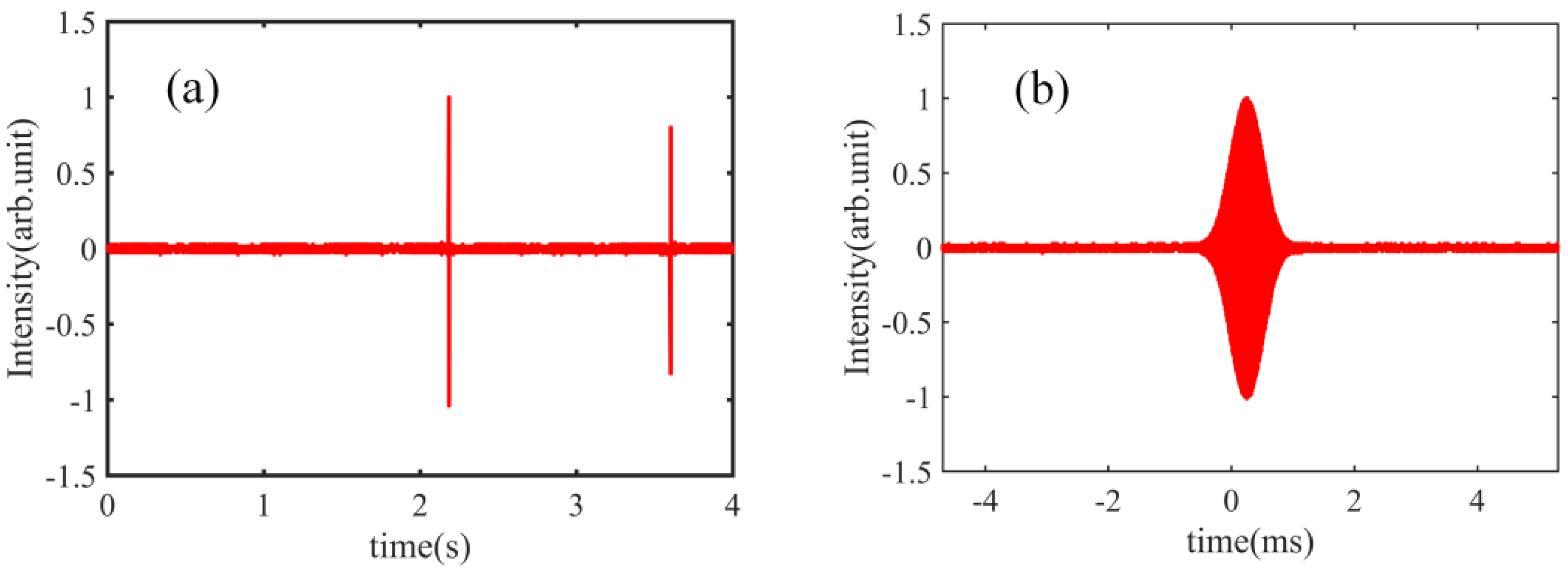
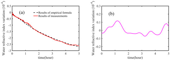
3.1. Measurement of Group Refractive Index of Water
3.2. Measurement of Phase Refractive Index of Water
4. Uncertainty evaluation
5. Conclusions
Acknowledgments
Author Contributions
Conflicts of Interest
References
- Xu, J.; Kong, M.; Lin, A.; Song, Y.; Han, J.; Xu, Z.; Xu, B.; Gao, S.; Deng, N. Directly modulated green-light diode-pumped solid-state laser for underwater wireless optical communication. Opt. Lett. 2017, 42, 1664–1667. [Google Scholar] [CrossRef] [PubMed]
- Amiri-Simkooei, A.; Snellen, M.; Simons, D. Principal component analysis of single-beam echo-sounder signal features for seafloor classification. IEEE J. Ocean. Eng. 2011, 36, 259–272. [Google Scholar] [CrossRef]
- Petillot, Y.; Tena Ruiz, I.; Lane, D. Underwater vehicle obstacle avoidance and path planning using a multi-beam forward looking sonar. IEEE J. Ocean. Eng. 2001, 26, 240–251. [Google Scholar] [CrossRef]
- Hasan, R.; Ierodiaconou, D.; Monk, J. Evaluation of four supervised learning methods for benthic habitat mapping using backscatter from multi-beam sonar. Remote Sens. 2012, 4, 3427–3443. [Google Scholar] [CrossRef]
- Park, D.; Kwak, K.; Chung, W.; Kim, J. Development of underwater short-range sensor using electromagnetic wave attenuation. IEEE J. Ocean. Eng. 2016, 41, 318–325. [Google Scholar]
- Al-Shamma, A.; Shaw, A.; Saman, S. Propagation of electromagnetic waves at MHz frequencies through seawater. IEEE Trans. Antennas Propag. 2004, 52, 2843–2849. [Google Scholar] [CrossRef]
- Huang, B.; Liu, T.; Hu, H.; Han, J.; Yu, M. Underwater image recovery considering polarization effects of objects. Opt. Express 2016, 24, 9826–9838. [Google Scholar] [CrossRef] [PubMed]
- Gu, Y.; Carrizo, C.; Gilerson, A.; Brady, P.; Cummings, M.; Twardowski, M.; Sullivan, J.; Ibrahim, A.; Kattawar, G. Polarimetric imaging and retrieval of target polarization characteristics in underwater environment. Opt. Express 2016, 55, 626–637. [Google Scholar] [CrossRef] [PubMed]
- Guo, Y.; Song, H.; Liu, H.; Wei, H.; Yang, P.; Zhan, S.; Wang, H.; Huang, H.; Liao, N.; Mu, Q.; et al. Model-based restoration of underwater spectral images captured with narrowband filters. Opt. Express 2016, 24, 13101–13120. [Google Scholar] [CrossRef] [PubMed]
- Bartolini, L.; Dominicis, L.; Collibus, M.; Fornetti, G.; Guarneri, M.; Paglia, E.; Poggi, C.; Ricci, R. Underwater three-dimensional imaging with an amplitude-modulated laser radar at a 405 nm wavelength. Appl. Opt. 2005, 44, 7130–7135. [Google Scholar] [CrossRef]
- Singh, S. Refractive index measurement and its applications. Phys. Scr. 2002, 65, 167–180. [Google Scholar] [CrossRef]
- Schiebener, P.; Straub, J. Refractive index of water and steam as function of wavelength, temperature and density. J. Phys. Chem. Ref. Data 1990, 19, 677–717. [Google Scholar] [CrossRef]
- Harvey, A.; Gallagher, J.; Sengers, J.L. Revised formulation for the refractive index of water and steam as a function of wavelength, temperature and density. J. Phys. Chem. Ref. Data 1998, 27, 761–774. [Google Scholar] [CrossRef]
- Kuhler, K.; Dereniak, E.; Buchanan, M. Measurement of the index of refraction of the plastic Phenoxy PKFE. Appl. Opt. 1991, 30, 1711–1714. [Google Scholar] [CrossRef] [PubMed]
- Moreels, E.; de Greef, C.; Finsy, R. Laser light refractometer. Appl. Opt. 1984, 23, 3010–3013. [Google Scholar] [CrossRef] [PubMed]
- Santic, B.; Gracin, D.; Juraic, K. Measurement method for the refractive index of thick solid and liquid layers. Appl. Opt. 2009, 48, 4430–4436. [Google Scholar] [CrossRef] [PubMed]
- Nemoto, S. Measurement of the refractive index of liquid using laser beam displacement. Appl. Opt. 1992, 31, 6690–6694. [Google Scholar] [CrossRef] [PubMed]
- Lu, W.; Worek, W. Two-wavelength interferometric technique for measuring the refractive index of salt-water solutions. Appl. Opt. 1993, 32, 3992–4002. [Google Scholar] [CrossRef] [PubMed]
- Dobbins, H.; Peck, E. Change of refractive index of water as a function of temperature. J. Opt. Soc. Am. 1973, 63, 318–320. [Google Scholar] [CrossRef]
- Carroll, L.; Henry, M. Autocompensating interferometer for measuring the changes in refractive index of supercooled water as a function of temperature at 632.8 nm. Appl. Opt. 2002, 41, 1330–1336. [Google Scholar] [CrossRef] [PubMed]
- St-Arnaud, J.; Ge, J.; Orbriot, J.; Bose, T.; Marteau, P. An accurate method for refractive index measurements of liquids using two Michelson laser interferometers. Rev. Sci. Instrum. 1991, 62, 1411–1415. [Google Scholar] [CrossRef]
- Richerzhagen, B. Interferometer for measuring the absolute refractive index of liquid water as a function of temperature at 1.064 μm. Appl. Opt. 1996, 35, 1650–1653. [Google Scholar] [CrossRef] [PubMed]
- Harvey, A. Determination of the optical constants of thin films in the visible by static dispersive Fourier transform spectroscopy. Rev. Sci. Instrum. 1998, 69, 3649–3658. [Google Scholar] [CrossRef]
- Kim, C.; Su, C. Measurement of the refractive index of liquids at 1.3 and 1.5 micron using a fiber optic Fresnel ratio meter. Meas. Sci. Technol. 2004, 15, 1683–1686. [Google Scholar] [CrossRef]
- Newbury, N.R. Searching for applications with a fine-tooth comb. Nat. Photonics 2011, 5, 186–188. [Google Scholar] [CrossRef]
- Nishiyama, A.; Yoshida, S.; Hariki, T.; Nakajima, Y.; Minoshima, K. Sensitivity improvement of dual-comb spectroscopy using mode-filtering technique. Opt. Express 2017, 25, 31730–31738. [Google Scholar] [CrossRef] [PubMed]
- Deschenes, J.; Sinclair, L.; Giorgetta, F.; Swann, W.; Baumann, E.; Bergeron, H.; Cermak, M.; Coddington, I.; Newbury, N. Synchronization of distant optical clocks at the femtosecond level. Phys. Rev. X 2016, 6, 021016. [Google Scholar] [CrossRef]
- Balling, P.; Křen, P.; Mašika, P.; van den Berg, S.A. Femtosecond frequency comb based distance measurement in air. Opt. Express 2009, 17, 9300–9313. [Google Scholar] [CrossRef] [PubMed]
- Jin, J.; Kim, J.W.; Kang, C.; Kim, J.; Eom, T.B. Thickness and refractive index measurement of a silicon wafer based on an optical comb. Opt. Express 2010, 18, 18339–18346. [Google Scholar] [CrossRef] [PubMed]
- Mahjoubfar, A.; Goda, K.; Ayazi, A.; Fard, A.; Kim, S.; Jalali, B. High-speed nanometer-resolved imaging vibrometer and velocimeter. Appl. Phys. Lett. 2011, 98, 101107. [Google Scholar] [CrossRef]
- Choi, S.; Yamamoto, M.; Moteki, D.; Shioda, T.; Tanaka, Y.; Kurokawa, T. Frequency-comb-based interferometer for profilometry and tomography. Opt. Lett. 2006, 31, 1976–1978. [Google Scholar] [CrossRef] [PubMed]
- Zhang, J.; Lu, Z.H.; Wang, L.J. Precision measurement of the refractive index of air with frequency combs. Opt. Lett. 2005, 30, 3314–3316. [Google Scholar] [CrossRef] [PubMed]
- Minoshima, K.; Arai, K.; Inaba, H. High-accuracy self-correction of refractive index of air using two-color interferometry of optical frequency combs. Opt. Express 2011, 19, 26095–26105. [Google Scholar] [CrossRef] [PubMed]
- Maeng, S.; Park, J.; Byungsun, O.; Jin, J. Uncertainty improvement of geometrical thickness and refractive index measurement of a silicon wafer using a femtosecond pulse laser. Opt. Express 2012, 20, 12184–12190. [Google Scholar] [CrossRef] [PubMed]
- Kim, J.; Kim, J.; Eom, T.; Jin, J.; Kang, C. Vibration-insensitive measurement of thickness variation of glass panels using double-slit interferometry. Opt. Express 2014, 22, 6486–6494. [Google Scholar] [CrossRef] [PubMed]
- Park, J.; Bae, J.; Jin, J.; Kim, J.; Kim, J. Vibration-insensitive measurements of the thickness profile of large glass panels. Opt. Express 2015, 23, 32941–32949. [Google Scholar] [CrossRef] [PubMed]
- Ciddor, P.E. Refractive index of air: New equations for the visible and near infrared. Appl. Opt. 1996, 35, 1566–1573. [Google Scholar] [CrossRef] [PubMed]
- Van den Berg, S.A.; van Eldik, S.; Bhattacharya, N. Mode-resolved frequency comb interferometry for high-accuracy long distance measurement. Sci. Rep. 2015, 5, 14661. [Google Scholar] [CrossRef] [PubMed]
- Zhu, Z.; Xu, G.; Ni, K.; Zhou, Q.; Wu, G. Synthetic-wavelength-based dual-comb interferometry for fast and precise absolute distance measurement. Opt. Express 2018, 26, 5747–5757. [Google Scholar] [CrossRef] [PubMed]
- Vaughan, R.; Scott, N.; White, D. The theory of bandpass sampling. IEEE Trans. Signal Proc. 1991, 39, 1973–1984. [Google Scholar] [CrossRef]
- Groot, P.; Deck, L. Three-dimensional imaging by sub-Nyquist sampling of white-light interferograms. Opt. Lett. 1993, 18, 1462–1464. [Google Scholar] [CrossRef] [PubMed]
- Wu, G.; Zhou, Q.; Shen, L.; Ni, K.; Zeng, X.; Li, Y. Experimental optimization of the repetition rate difference in dual-comb ranging system. Appl. Phys. Express 2014, 7, 106602. [Google Scholar] [CrossRef]
- Lee, C.; Chu, S.; Little, B.E.; Bland-Hawthorn, J.; Leon-Saval, S. Portable frequency combs for optical frequency metrology. Opt. Express 2012, 20, 16671–16676. [Google Scholar] [CrossRef]
- Wu, H.; Zhao, T.; Wang, Z.; Zhang, K.; Xue, B.; Li, J.; He, M.; Qu, X. Long distance measurement up to 1.2 km by electro-optic dual-comb interferometry. Appl. Phys. Lett. 2017, 111, 251901. [Google Scholar] [CrossRef]










© 2018 by the authors. Licensee MDPI, Basel, Switzerland. This article is an open access article distributed under the terms and conditions of the Creative Commons Attribution (CC BY) license (http://creativecommons.org/licenses/by/4.0/).
Share and Cite
Meng, Z.; Zhai, X.; Wei, J.; Wang, Z.; Wu, H. Absolute Measurement of the Refractive Index of Water by a Mode-Locked Laser at 518 nm. Sensors 2018, 18, 1143. https://doi.org/10.3390/s18041143
Meng Z, Zhai X, Wei J, Wang Z, Wu H. Absolute Measurement of the Refractive Index of Water by a Mode-Locked Laser at 518 nm. Sensors. 2018; 18(4):1143. https://doi.org/10.3390/s18041143
Chicago/Turabian StyleMeng, Zhaopeng, Xiaoyu Zhai, Jianguo Wei, Zhiyang Wang, and Hanzhong Wu. 2018. "Absolute Measurement of the Refractive Index of Water by a Mode-Locked Laser at 518 nm" Sensors 18, no. 4: 1143. https://doi.org/10.3390/s18041143
APA StyleMeng, Z., Zhai, X., Wei, J., Wang, Z., & Wu, H. (2018). Absolute Measurement of the Refractive Index of Water by a Mode-Locked Laser at 518 nm. Sensors, 18(4), 1143. https://doi.org/10.3390/s18041143
