A Fiber Bragg Grating Interrogation System with Self-Adaption Threshold Peak Detection Algorithm
Abstract
:1. Introduction
2. System Description
2.1. The Overview of Interrogation System
2.2. The Interrogation Principle
3. Peak Detection Algorithm
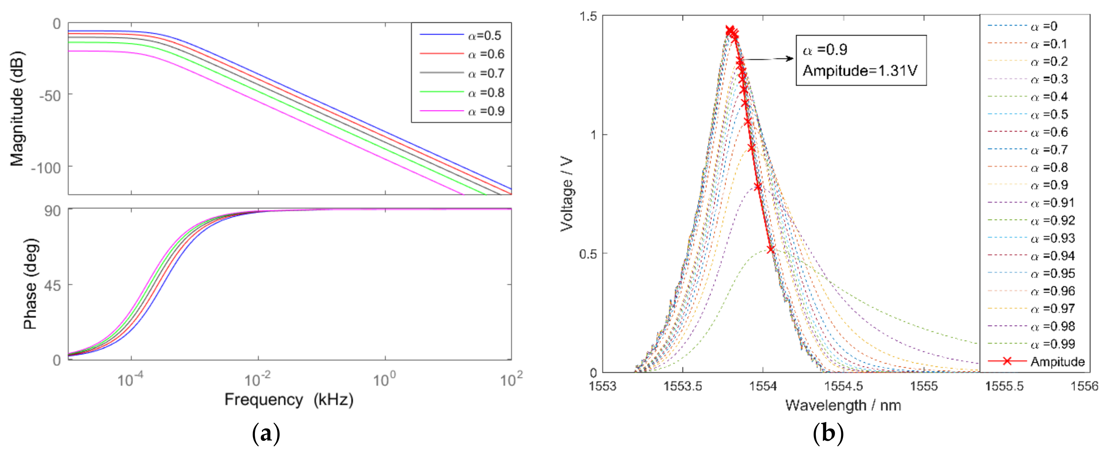
3.1. The Improvement of Spectrum Waveform
3.2. Peak Detection Algorithm Based on the Self-Adaption Threshold
4. Experiments and Discussion
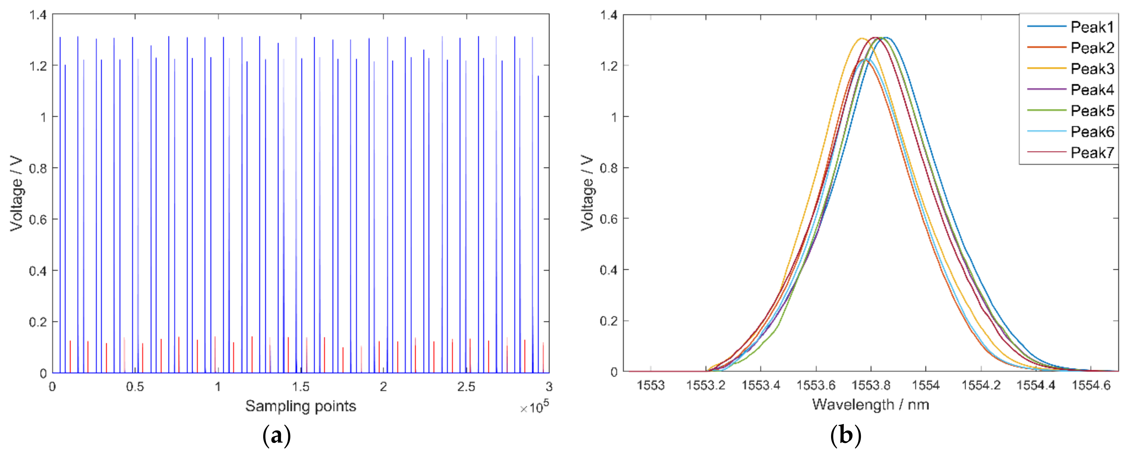
4.1. The Performance of the Peak Detection Algorithm
4.2. The Temperature Experiment
4.3. The Comparison Analysis of the Interrogation System
5. Conclusions
Acknowledgments
Author Contributions
Conflicts of Interest
References
- Majumder, M.; Gangopadhyay, T.K.; Chakraborty, A.K.; Dasgupta, K.; Bhattacharya, D.K. Fiber Bragg gratings in structural health monitoring—Present status and applications. Sens. Actuators A Phys. 2008, 147, 150–164. [Google Scholar] [CrossRef]
- Filograno, M.L.; Rodriguez-Barrios, A.; Corredera, P.; Martin-Lopez, S.; Rodriguez-Plaza, M.; Andres-Alguacil, A.; Gonzalez-Herraez, M. Real-Time Monitoring of Railway Traffic Using Fiber Bragg Grating Sensors. IEEE Sens. J. 2011, 12, 85–92. [Google Scholar] [CrossRef]
- Dziuda, L.; Skibniewski, F.W.; Krej, M.; Lewandowski, J. Monitoring respiration and cardiac activity using fiber Bragg grating-based sensor. IEEE Trans. Biomed. Eng. 2012, 59, 1934–1942. [Google Scholar] [CrossRef] [PubMed]
- Li, T.; Tan, Y.; Han, X.; Zheng, K.; Zhou, Z. Diaphragm Based Fiber Bragg Grating Acceleration Sensor with Temperature Compensation. Sensors 2017, 17, 218. [Google Scholar] [CrossRef] [PubMed]
- Stefani, A.; Andresen, S.; Yuan, W.; Herholdt-Rasmussen, N.; Bang, O. High Sensitivity Polymer Optical Fiber-Bragg-Grating-Based Accelerometer. IEEE Photonics Technol. Lett. 2012, 24, 763–765. [Google Scholar] [CrossRef]
- Marques, C.A.F.; Pospori, A.; Sáez-Rodríguez, D.; Nielsen, K.; Bang, O.; Webb, D.J. Aviation fuel gauging sensor utilizing multiple diaphragm sensors incorporating polymer optical fiber Bragg gratings. IEEE Sens. J. 2016, 16, 6122–6129. [Google Scholar] [CrossRef]
- Woyessa, G.; Pedersen, J.K.M.; Fasano, A.; Nielsen, K.; Markos, C.; Rasmussen, H.K.; Bang, O. Zeonex-PMMA microstructured polymer optical FBGs for simultaneous humidity and temperature sensing. Opt. Lett. 2017, 42, 1161–1164. [Google Scholar] [CrossRef] [PubMed]
- Stefani, A.; Yuan, W.; Markos, C.; Bang, O. Narrow bandwidth 850nm Fiber Bragg gratings in few-mode polymer optical fibers. IEEE Photonics Technol. Lett. 2011, 23, 660–662. [Google Scholar] [CrossRef]
- Roy, A.; Chakraborty, A.L.; Jha, C.K. Fiber Bragg grating interrogation using wavelength modulated tunable distributed feedback lasers and a fiber-optic Mach-Zehnder interferometer. Appl. Opt. 2017, 56, 3562–3569. [Google Scholar] [CrossRef] [PubMed]
- Chen, X.; Dong, X.; Lv, H.; Hu, Y.; Yu, X.; Chen, X.; Liu, S. Real-time Interrogation Technology for Large-scale Fiber-ring Laser Sensor Array. IEEE Photonics J. 2017, 9. [Google Scholar] [CrossRef]
- Triana, A.; Pastor, D.; Varón, M. A Code Division Design Strategy for Multiplexing Fiber Bragg Grating Sensing Networks. Sensors 2017, 17, 2508. [Google Scholar] [CrossRef] [PubMed]
- Hervás, J.; Barrera, D.; Madrigal, J.; Sales, S. Microwave Photonics filtering interrogation technique under coherent regime for hot spot detection on a weak FBGs array. J. Light. Technol. 2018, 36, 1039–1045. [Google Scholar] [CrossRef]
- Hu, C.; Bai, W. High-Speed Interrogation for Large-Scale Fiber Bragg Grating Sensing. Sensors 2018, 18, 665. [Google Scholar] [CrossRef] [PubMed]
- Li, L.; Li, M.; Shi, W.; Lu, H.; Wen, X.; Chang, X.; Zeng, Y. A new fiber Bragg grating interrogation and multiplexing schema using a F-P laser light source. IEEE Photonics Technol. Lett. 2017, 29, 243–246. [Google Scholar] [CrossRef]
- Han, P.; Li, Z.; Chen, L.; Bao, X. A High-speed Distributed ultra-weak FBG Sensing System with high resolution. IEEE Photonics Technol. Lett. 2017, 29, 1249–1252. [Google Scholar] [CrossRef]
- Tsai, P.; Sun, F.; Xiao, G.; Zhang, Z.; Rahimi, S.; Ban, D. A New Fiber-Bragg-Grating Sensor Interrogation System Deploying Free-Spectral-Range-Matching Scheme with High Precision and Fast Detection Rate. IEEE Photonics Technol. Lett. 2008, 20, 300–302. [Google Scholar] [CrossRef]
- Díaz, C.A.R.; Leitão, C.; Marques, C.A.; Domingues, M.F.; Alberto, N.; Pontes, M.J.; Frizera, A.; Ribeiro, M.R.N.; André, P.S.B.; Antunes, P.F.C. Low-Cost Interrogation Technique for Dynamic Measurements with FBG-Based Devices. Sensors 2017, 17, 2414. [Google Scholar] [CrossRef] [PubMed]
- Hongo, A.; Kojima, S.; Komatsuzaki, S. Applications of fiber Bragg grating sensors and high-speed interrogation techniques. Struct. Control Health Monit. 2010, 12, 269–282. [Google Scholar] [CrossRef]
- Dai, Y.; Liu, Y.; Leng, J.; Deng, G.; Asundi, A. A novel time-division multiplexing fiber Bragg grating sensor interrogator for structural health monitoring. Opt. Lasers Eng. 2009, 47, 1028–1033. [Google Scholar] [CrossRef]
- Xiao, G.Z.; Zhao, P.; Sun, F.G.; Lu, Z.G.; Zhang, Z.; Grover, C.P. Interrogating fiber Bragg grating sensors by thermally scanning a demultiplexer based on arrayed waveguide gratings. Opt. Lett. 2004, 29, 2222–2224. [Google Scholar] [CrossRef] [PubMed]
- Sano, Y.; Yoshino, T. Fast optical wavelength interrogator employing arrayed waveguide grating for distributed fiber Bragg grating sensors. J. Light. Technol. 2003, 21, 132–139. [Google Scholar] [CrossRef]
- Todd, M.D.; Johnson, G.A.; Althouse, B.L. A novel Bragg grating sensor interrogation system utilizing a scanning filter, a Mach-Zehnder interferometer and a 3 × 3 coupler. Meas. Sci. Technol. 2001, 12, 771–777. [Google Scholar] [CrossRef]
- Yao, Y.; Li, Z.; Wang, Y.; Liu, S.; Dai, Y.; Gong, J.; Wang, L. Performance Optimization Design for a High-Speed Weak FBG Interrogation System Based on DFB Laser. Sensors 2017, 17, 1472. [Google Scholar] [CrossRef] [PubMed]
- Ganziy, D.; Rose, B.; Bang, O. Compact multichannel high-resolution micro-electro-mechanical systems-based interrogator for Fiber Bragg grating sensing. Appl. Opt. 2017, 56, 3622–3627. [Google Scholar] [CrossRef] [PubMed]
- Posada-Roman, J.E.; Garcia-Souto, J.A.; Poiana, D.A.; Acedo, P. Fast Interrogation of Fiber Bragg Gratings with Electro-Optical Dual Optical Frequency Combs. Sensors 2016, 16, 2007. [Google Scholar] [CrossRef] [PubMed]
- Li, H.; Ma, X.; Cui, B.; Wang, Y.; Zhang, C.; Zhao, J.; Zhang, Z.; Tang, C.; Li, E. Chip-scale demonstration of hybrid III–V/silicon photonic integration for an FBG interrogator. Optica 2017, 4, 692–700. [Google Scholar] [CrossRef]
- Marin, Y.E.; Nannipieri, T.; Oton, C.J.; di Pasquale, F. Integrated FBG Sensors Interrogation using Active Phase Demodulation on a Silicon Photonic Platform. J. Light. Technol. 2017, 35, 3374–3379. [Google Scholar] [CrossRef]
- Ganziy, D.; Rose, B.; Bang, O. Performance of low-cost few-mode fiber Bragg grating sensor systems: Polarization sensitivity and linearity of temperature and strain response. Appl. Opt. 2016, 55, 6156–6161. [Google Scholar] [CrossRef] [PubMed]
- Ganziy, D.; Jespersen, O.; Woyessa, G.; Rose, B.; Bang, O. Dynamic gate algorithm for multimode fiber Bragg grating sensor systems. Appl. Opt. 2015, 54, 5657–5661. [Google Scholar] [CrossRef] [PubMed]
- Vergnole, S.; Lévesque, D.; Lamouche, G. Experimental validation of an optimized signal processing method to handle non-linearity in swept-source optical coherence tomography. Opt. Express 2010, 18, 10446–10461. [Google Scholar] [CrossRef] [PubMed]
- Mrn, A.; Bradu, A.; Podoleanu, A. Optimization of excitation of fiber Fabry-Perot tunable filters used in swept lasers using a phase-correction method. Appl. Opt. 2017, 56, 3378–3382. [Google Scholar]
- Costas, L.; Fernández-Molanes, R.; Rodríguez-Andina, J.J.; Fariña, J. Characterization of FPGA-master ARM communication delays in zynq devices. In Proceedings of the IEEE International Conference on Industrial Technology, Toronto, ON, Canada, 22–25 March 2017; pp. 942–947. [Google Scholar]
- Xiao, L.; Chen, X.; Lin, B. Design and realization of strain measurement system based on FPGA and ARM. In Proceedings of the 4th International Conference on Intelligent Control & Information Processing, Beijing, China, 9–11 June 2013; pp. 853–857. [Google Scholar]
- Negri, L.; Nied, A.; Kalinowski, H.; Paterno, A. Benchmark for Peak Detection Algorithms in Fiber Bragg Grating Interrogation and a New Neural Network for its Performance Improvement. Sensors 2011, 11, 3466–3482. [Google Scholar] [CrossRef] [PubMed]













| Number | Peak1 | Peak2 | Peak3 | Peak4 | Peak5 | Peak6 | Peak7 |
|---|---|---|---|---|---|---|---|
| SSE | 0.4499 | 0.3618 | 0.3578 | 0.3676 | 0.4354 | 0.435 | 0.5643 |
| RMSE | 0.04512 | 0.04046 | 0.04024 | 0.04078 | 0.04439 | 0.04437 | 0.05053 |
| Algorithms | Execution Time | The Needed Logic Unit |
|---|---|---|
| Maximum | 1 | 1 |
| Discrete-time Filter | 27.21 | 12.31 |
| Centroid | 0.67 | 1.72 |
| polynomial fitting | 340 | 1000 |
| Neural Network | 25,000 | 40,000 |
| Self-Adaption | 3.15 | 5.53 |
© 2018 by the authors. Licensee MDPI, Basel, Switzerland. This article is an open access article distributed under the terms and conditions of the Creative Commons Attribution (CC BY) license (http://creativecommons.org/licenses/by/4.0/).
Share and Cite
Zhang, W.; Li, Y.; Jin, B.; Ren, F.; Wang, H.; Dai, W. A Fiber Bragg Grating Interrogation System with Self-Adaption Threshold Peak Detection Algorithm. Sensors 2018, 18, 1140. https://doi.org/10.3390/s18041140
Zhang W, Li Y, Jin B, Ren F, Wang H, Dai W. A Fiber Bragg Grating Interrogation System with Self-Adaption Threshold Peak Detection Algorithm. Sensors. 2018; 18(4):1140. https://doi.org/10.3390/s18041140
Chicago/Turabian StyleZhang, Weifang, Yingwu Li, Bo Jin, Feifei Ren, Hongxun Wang, and Wei Dai. 2018. "A Fiber Bragg Grating Interrogation System with Self-Adaption Threshold Peak Detection Algorithm" Sensors 18, no. 4: 1140. https://doi.org/10.3390/s18041140
APA StyleZhang, W., Li, Y., Jin, B., Ren, F., Wang, H., & Dai, W. (2018). A Fiber Bragg Grating Interrogation System with Self-Adaption Threshold Peak Detection Algorithm. Sensors, 18(4), 1140. https://doi.org/10.3390/s18041140

