A Newly Designed Fiber-Optic Based Earth Pressure Transducer with Adjustable Measurement Range
Abstract
1. Introduction
2. Methodology
2.1. Principles of the FBG Sensor
2.2. Newly Designed FPS
2.3. Working Principles of the FPS
3. Principle of Design and Optimization of Fabrication Geometry
4. Experimental Validation
5. Conclusions
- (1)
- The proposed FPS transducer, which combines a diaphragm with a cantilever beam, overcomes the limitations of the commonly used dual diaphragm design, as follows: (a) The measurement accuracy of the FPS is not affected by non-uniform strain distribution on the surface of the diaphragm; (b) a wider measurement range is provided; and (c) the measurement range can be adjusted by changing the parameters of the cantilever beam.
- (2)
- The theoretical derivation and parametric studies of the proposed FPS reveal that the sensitivity of the cantilever-type FPS increases with the thickness, radius, and Young’s modulus of the diaphragm and the cantilever. A 1–2 mm thick cantilever beam yields an excellent sensitivity.
- (3)
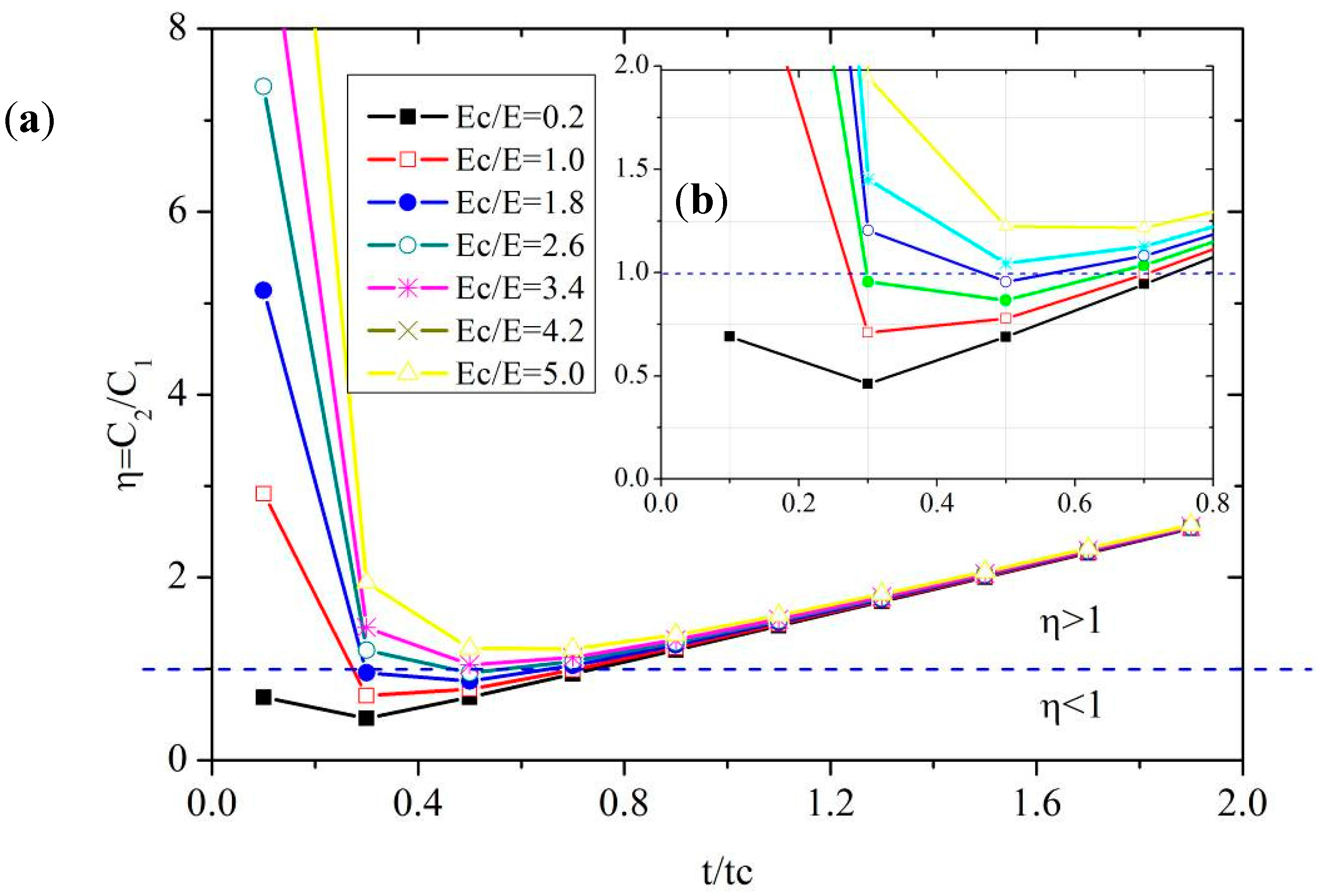
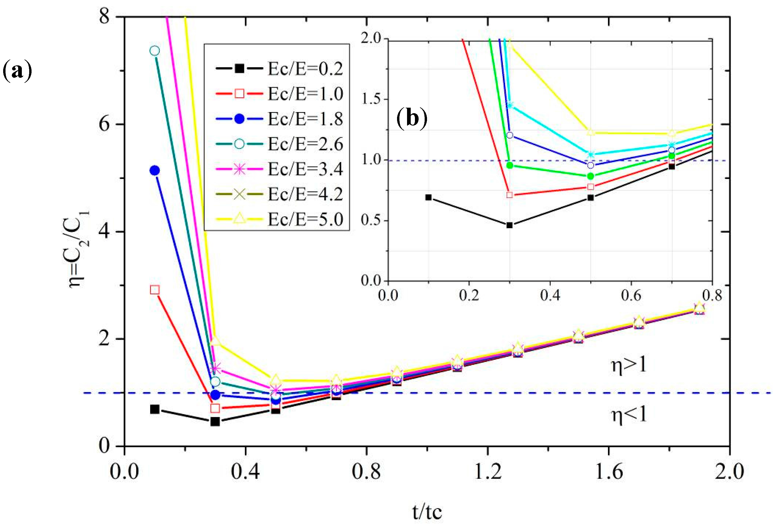
- A prototype of the proposed FPS is fabricated and verified in a series of laboratory tests. The new FPS transducer has a sensitivity of 0.104 kPa/με across applied pressures up to 180 kPa, and is thus more sensitive than the dual diaphragm type. Further analysis is performed to determine the t/tc and E/Ec values and thus the relative sensitivity of the two designs, offering insights into a range of parameters required to fabricate an FPS transducer with even greater sensitivity for various applications.
Acknowledgments
Author Contributions
Conflicts of Interest
References
- Puzrin, A.M.; Alonso, E.E.; Pinyol, N.M. Geomechanics of Failures; Springer Science: Dordrecht, The Netherlands, 2010. [Google Scholar]
- Du, X.H.; Liu, Y.F.; Li, A.L.; Zhou, Z.; Sun, D.H.; Wang, L.Y. Laterally driven resonant pressure sensor with etched silicon dual diaphragms and combined beams. Sensors 2016, 16, 158. [Google Scholar] [CrossRef] [PubMed]
- Hong, C.Y.; Zhang, Y.F.; Li, G.W.; Zhang, M.X.; Liu, Z.X. Recent Progress of using Brillouin Distributed Fiber Sensors for Geotechnical Health Monitoring. Sens. Actuators A-Phys. 2017, 258, 131–145. [Google Scholar] [CrossRef]
- Rajan, G. Optical Fiber Sensors: Advanced Techniques and Applications; CRC Press: Boca Raton, FL, USA, 2015. [Google Scholar]
- Xu, D.S.; Yin, J.H. Analysis of excavation induced stress distributions of GFRP anchors in a soil slope using distributed fiber optic sensors. Eng. Geol. 2016, 213, 55–63. [Google Scholar] [CrossRef]
- Li, C.; Sun, Y.; Zhao, Y.G.; Liu, H.; Gao, L.M.; Zhang, Z.L.; Qiu, H.T. Monitoring pressure and thermal strain in the second lining of a tunnel with a Brillouin OTDR. Smart Mater. Struct. 2006, 15, N107–N110. [Google Scholar] [CrossRef]
- Xu, D.S.; Liu, H.B.; Luo, W.L. Evaluation of interface shear behavior of GFRP soil nails with a strain-transfer model and distributed fiber-optic sensors. Comput. Geotech. 2017. [Google Scholar] [CrossRef]
- Bundalo, I.L.; Nielsen, K.; Woyessa, G.; Bang, O. Long-term strain response of polymer optical fiber FBG sensors. Opt. Mater. Express 2017, 7, 967–976. [Google Scholar] [CrossRef]
- Pei, H.F.; Cui, P.; Yin, J.H.; Zhu, H.H.; Chen, X.Q.; Pei, L.Z.; Xu, D.S. Monitoring and warning of landslides anddebris flows using an optical fiber sensor technology. J. Mt. Sci. 2011, 8, 728–738. [Google Scholar] [CrossRef]
- Xu, D.S.; Yin, J.H.; Liu, H.B. A new measurement approach for deflection monitoring of large-scale bored piles using distributed fiber sensing technology. Measurement 2018, 117, 444–454. [Google Scholar] [CrossRef]
- Huang, A.B.; Lee, J.T.; Ho, Y.T.; Chiu, Y.F.; Cheng, S.Y. Stability monitoring of rainfall induced deep landslides through pore pressure profile measurements. Soils Found. 2012, 52, 737–747. [Google Scholar] [CrossRef]
- Lai, C.C.; Au, H.Y.; Liu, M.S.Y.; Ho, S.L.; Tam, H.Y. Development of level sensors based on fiber Bragg grating for railway track differential settlement measurement. IEEE Sens. J. 2016, 16, 6346–6350. [Google Scholar] [CrossRef]
- Soh, K.R.; Shim, J.H. Liquid-level monitoring sensor systems using fiber Bragg grating embedded in cantilever. Sens. Actuators A Phys. 2009, 152, 248–251. [Google Scholar]
- Ricchiuti, A.L.; Barrera, D.; Urrutia, A.; Goicoechea, J.; Arregui, F.J.; Sales, S. Continuous liquid-level sensor based on a long-period grating and microwave photonics filtering techniques. IEEE Sens. J. 2016, 16, 1652–1658. [Google Scholar] [CrossRef]
- Marques, C.A.F.; Peng, G.D.; Webb, D.J. Highly sensitive liquid level monitoring system utilizing polymer fiber Bragg gratings. Opt. Express 2015, 23, 6058–6072. [Google Scholar] [CrossRef] [PubMed]
- Woyessa, G.; Nielsen, K.; Stefani, A.; Markos, C.; Bang, O. Temperature insensitive hysteresis free highly sensitive polymer optical fiber Bragg grating humidity sensor. Opt. Express 2016, 24, 1206–1213. [Google Scholar] [CrossRef] [PubMed]
- Correia, R.; Li, J.; Staines, S.; Chehura, E.; James, S.W.; Kutner, J.; Dewhurst, P.; Ferreira, P.; Tatam, R.P. Fibre Bragg grating based effective soil pressure sensor for geotechnical applications. In Proceedings of the SPIE 7503, 20th International Conference on Optical Fibre Sensors, Edinburgh, UK, 5 October 2009; p. 75030F. [Google Scholar] [CrossRef]
- Xu, D.S. A new measurement approach for small deformations of soil specimens using fiber bragg grating sensors. Sensors 2017, 17, 1016. [Google Scholar] [CrossRef] [PubMed]
- Zhu, H.H.; Shi, B.; Zhang, J.; Yan, J.F.; Zhang, C.C. Distributed fiber optic monitoring and stability analysis of a model slope under surcharge loading. J. Mt. Sci. 2014, 11, 979–989. [Google Scholar] [CrossRef]
- Xu, D.S.; Dong, L.J.; Borana, L.; Liu, H.B. Early-warning system with quasi-distributed fiber optic sensor networks and cloud computing for soil slopes. IEEE Access 2017. [Google Scholar] [CrossRef]
- Wachman, G.S.; Labuz, J.F. Soil-structure interaction of an earth pressure cell. J. Geotech. Geoenviron. 2011, 137, 843–845. [Google Scholar] [CrossRef]
- Chen, F.Y.; Li, C.; Chen, E.K.; Xiong, X.; Li, Y.N. Dual-diaphragm fiber Bragg grating soil pressure sensor. Yantu Lixue/Rock Soil Mech. 2013, 34, 3340–3345. [Google Scholar]
- Hill, K.O.; Meltz, G. Fiber Bragg grating technology fundamentals and overview. J. Lightwave Tech. 1997, 15, 1263–1276. [Google Scholar] [CrossRef]
- Xu, D.S.; Yin, J.H.; Cao, Z.Z.; Wang, Y.L.; Zhu, H.H.; Pei, H.F. A new flexible FBG sensing beam for measuring dynamic lateral displacements of soil in a shaking table test. Measurement 2013, 46, 200–209. [Google Scholar] [CrossRef]













© 2018 by the authors. Licensee MDPI, Basel, Switzerland. This article is an open access article distributed under the terms and conditions of the Creative Commons Attribution (CC BY) license (http://creativecommons.org/licenses/by/4.0/).
Share and Cite
Wei, H.-Z.; Xu, D.-S.; Meng, Q.-S. A Newly Designed Fiber-Optic Based Earth Pressure Transducer with Adjustable Measurement Range. Sensors 2018, 18, 932. https://doi.org/10.3390/s18040932
Wei H-Z, Xu D-S, Meng Q-S. A Newly Designed Fiber-Optic Based Earth Pressure Transducer with Adjustable Measurement Range. Sensors. 2018; 18(4):932. https://doi.org/10.3390/s18040932
Chicago/Turabian StyleWei, Hou-Zhen, Dong-Sheng Xu, and Qing-Shan Meng. 2018. "A Newly Designed Fiber-Optic Based Earth Pressure Transducer with Adjustable Measurement Range" Sensors 18, no. 4: 932. https://doi.org/10.3390/s18040932
APA StyleWei, H.-Z., Xu, D.-S., & Meng, Q.-S. (2018). A Newly Designed Fiber-Optic Based Earth Pressure Transducer with Adjustable Measurement Range. Sensors, 18(4), 932. https://doi.org/10.3390/s18040932

